Новости Нефтегазовая пром.
Выставки Наука и технология


Натрия бихромат технический ГОСТ 2651-78

Натрия бихромат технический. Технические условия (с Изменениями N 1, 2, 3) ГОСТ 2651-78


ГОСТ 2651-78

Группа Л17

ГОСУДАРСТВЕННЫЙ СТАНДАРТ СОЮЗА ССР

НАТРИЯ БИХРОМАТ ТЕХНИЧЕСКИЙ

Технические условия

Sodium bichromate for industrial use. Specifications

ОКП 21 4613 0100

Срок действия с 01.01.80
до 01.01.95*
_______________________________
* Ограничение срока действия снято по протоколу N 4-93
Межгосударственного Совета по стандартизации,
метрологии и сертификации (ИУС N 4, 1994 год). - 
Примечание изготовителя базы данных.

ИНФОРМАЦИОННЫЕ ДАННЫЕ

1. РАЗРАБОТАН И ВНЕСЕН Министерством химической промышленности СССР

РАЗРАБОТЧИКИ

Н.И.Баянова, Е.М.Башкирова, Б.С.Решетников, Т.X.Пирская

2. УТВЕРЖДЕН И ВВЕДЕН В ДЕЙСТВИЕ Постановлением Государственного комитета стандартов Совета Министров СССР от 20.09.78 N 2538

3. Периодичность проверки - 5 лет

4. ВЗАМЕН ГОСТ 2651-70

5. ССЫЛОЧНЫЕ НОРМАТИВНО-ТЕХНИЧЕСКИЕ ДОКУМЕНТЫ

Обозначение НТД, на который дана ссылка

Номер пункта, подпункта, приложения

ГОСТ 12.1.005-88

2.7

ГОСТ 12.1.007-76

2.1

ГОСТ 12.3.009-76

2.8

ГОСТ 12.4.013-85

2.7

ГОСТ 12.4.021-75

2.7

ГОСТ 12.4.034-85

2.7

ГОСТ 12.4.103-83

2.7

ГОСТ 83-79

4.3.1

ГОСТ 1770-74

4.3.1, 4.4.1, 4.5.1, 4.6.1, 4.7.1, 4.8.1

ГОСТ 2226-88

5.1

ГОСТ 3118-77

4.4.1

ГОСТ 4108-72

4.4.1

ГОСТ 4204-77

4.3.1, 4.4.1, 4.7.1, приложение

ГОСТ 4208-72

4.3.1

ГОСТ 4212-76

4.7.1

ГОСТ 4220-75

4.3.1, 4.5.1

ГОСТ 4232-74

Приложение

ГОСТ 4461-77

4.5.1, 4.7.1

ГОСТ 4517-87

4.8.1

ГОСТ 4520-78

4.5.1

ГОСТ 4919.1-77

Приложение

ГОСТ 5044-79

5.1

ГОСТ 5830-79

4.7.1

ГОСТ 6552-80

4.3.1

ГОСТ 6709-72-->ГОСТ 6709-72

4.3.1, 4.4.1, 4.5.1, 4.6.1, 4.7.1, 4.8.1, приложение

ГОСТ 7328-82

4.3.1, 4.6.1, 4.7.1, 4.8.1, приложение

ГОСТ 9078-84

5.5

ГОСТ 9557-87

5.5

ГОСТ 10163-76

Приложение

ГОСТ 14192-77

5.2, 5.3

ГОСТ 15846-79

5.4

ГОСТ 18225-72

5.1

ГОСТ 18300-87

4.7.1

ГОСТ 19433-88

3.1, 5.2

ГОСТ 20292-74

4.3.1, 4.4.1, 4.5.1, 4.7.1

ГОСТ 21650-76

5.5

ГОСТ 24104-88

4.3.1, 4.4.1, 4.5.1, 4.6.1, 4.7.1, 4.8.1, приложение

ГОСТ 24597-81

5.5

ГОСТ 25336-82

4.6.1, 4.8.1

ГОСТ 25794.2-83

4.3.1

ГОСТ 27067-86

4.7.1

ГОСТ 27068-86

Приложение

6. Срок действия продлен до 01.01.95 Постановлением Госстандарта СССР от 23.03.89 N 634

7. ПЕРЕИЗДАНИЕ (май 1992 г.) с Изменениями N 1, 2, 3, утвержденными в июне 1984 г., Пост. N 2310 от 29.06.84, сентябре 1987 г., марте 1989 г. [ИУС 10-84, 12-87, 6-89]

Настоящий стандарт распространяется на технический бихромат натрия, предназначаемый для кожевенной, текстильной, химической промышленности, производства неорганических пигментов, катализаторов и других отраслей промышленности.

Настоящий стандарт устанавливает требования к техническому бихромату натрия, изготовляемому для нужд народного хозяйства и экспорта.

Формула: Na2Cr2O7

Молекулярная масса (по международным атомным массам 1971 г.) - 261,967.

(Измененная редакция, Изм. N 1, 3).

1. ТЕХНИЧЕСКИЕ ТРЕБОВАНИЯ

1.1. бихромат натрия должен быть изготовлен в соответствии с требованиями настоящего стандарта по технологическому регламенту, утвержденному в установленном порядке.

1.2. По физико-химическим показателям бихромат натрия должен соответствовать нормам, указанным в таблице.

Наименование показателя

Норма

Высший сорт

Первый сорт

ОКП 21 4613 0120

ОКП 21 4613 0130

1. Внешний вид

Неслеживающиеся кристаллы 
от светло-оранжевого 
до темно-красного цвета

2. Массовая доля бихромата натрия (Na2Cr2O7), %, не менее

98,9

98,2

в пересчете на хромовый ангидрид (CrO3), %, не менее

75,5

75,0

3. Массовая доля сульфатов в пересчете на SO4, %, не более

0,1

0,2

4. Массовая доля хлоридов в пересчете на Cl, %, не более

0,2

0,4

5. Массовая доля нерастворимого в воде остатка, %, не более

0,01

0,02

6. Массовая доля железа (Fe), %, не более

0,001

0,003

7. pH водного раствора

Не ниже 3,5


(Измененная редакция, Изм. N 1, 3).

2. ТРЕБОВАНИЯ БЕЗОПАСНОСТИ

2.1. Технический бихромат натрия пожаро- и взрывобезопасен, токсичен. По степени воздействия на организм человека бихромат натрия относится к вредным веществам 1-го класса опасности в соответствии с ГОСТ 12.1.007-76.

2.2. Аэрозоль и пыль соединений шестивалентного хрома, поступающие в организм, могут вызвать тяжелые отравления.

При длительном воздействии на организм человека соединения шестивалентного хрома оказывают общетоксическое действие, вызывая заболевание органов дыхания, желудочно-кишечного тракта и кожи.

Соединения шестивалентного хрома действуют раздражающе на кожу и слизистые оболочки глаз и носа, вызывая их изъязвление, а при вдыхании - прободение хрящевой части носовой перегородки. Попадание соединений шестивалентного хрома на поврежденную кожу ведет к образованию трудно заживающих язв.

2.3. Предельно допустимая концентрация бихромата натрия в пересчете на CrO3:

в воздухе рабочей зоны - 0,01 мг/м3;
в атмосферном воздухе населенных мест - 0,0015 мг/м3;

в воде водоемов санитарно-бытового пользования в пересчете на Cr (VI) - 0,1 мг/дм3.

2.4. Определение шестивалентного хрома в воде осуществляют фотоколориметрическим методом, основанным на взаимодействии шестивалентного хрома с дифенилкарбазидом в кислой среде с образованием комплекса красно-фиолетового цвета.

Определение содержания бихроматов в воздухе рабочей зоны проводят в соответствии с методиками, утвержденными Минздравом СССР.

2.5. В воздушной среде и сточных водах в присутствии других веществ или факторов бихромат натрия токсичных веществ не образует.

2.6. Воздух, содержащий пыль и аэрозоль бихромата натрия, перед выбросом в атмосферу подвергается сухой или мокрой очистке до установленных норм предельно допустимых концентраций.

Сточные воды, образующиеся в результате сливов, влажной уборки и очистки воздуха, подлежат обезвреживанию и далее направляются в промышленную канализацию. Сброс сточных вод в общую систему очистки сточных вод должен осуществляться в соответствии с инструкцией по приему стоков в городскую канализацию.

2.7. В целях коллективной защиты должна быть предусмотрена герметизация оборудования и коммуникаций.

Производственные и лабораторные помещения, в которых проводится работа с бихроматом натрия, должны быть оснащены приточно-вытяжной вентиляцией по ГОСТ 12.4.021-75, обеспечивающей состояние воздуха рабочей зоны в соответствии с требованиями ГОСТ 12.1.005-88.

В производственных помещениях обязательно должна проводиться вакуумная или мокрая уборка пыли. Места возможного пыления бихромата натрия должны быть снабжены местной вытяжной вентиляцией.

Для защиты органов дыхания должны применяться респираторы типов ШБ-1 "Лепесток-200" и У-2К по ГОСТ 12.4.034-85*; для защиты лица и глаз - защитные очки по ГОСТ 12.4.003-85. Работающие с бихроматом натрия должны обеспечиваться специальной одеждой, специальной обувью и средствами защиты рук по ГОСТ 12.4.013-85**.
_______________
* На территории Российской Федерации действует ГОСТ 12.4.034-2001; 
** На территории Российской Федерации действует ГОСТ Р 12.4.013-97. - Примечание изготовителя базы данных.

Кожный покров и слизистые оболочки носа для предотвращения поражения перед работой должны быть защищены.

2.8. Анализ бихромата натрия должен выполняться с соблюдением основных правил безопасной работы в химических лабораториях*, утвержденных в установленном порядке.
________________
* На территории Российской Федерации документ не действует. Действует ПНД Ф 12.13.1-03. - Примечание изготовителя базы данных.

При погрузке и разгрузке бихромата натрия должны соблюдаться требования безопасности по ГОСТ 12.3.009-76.

2.9. При работе с бихроматом натрия необходимо соблюдать правила безопасности при производстве хромовых соединений, утвержденные в установленном порядке.

Разд.2. (Измененная редакция, Изм. N 1).

3. ПРАВИЛА ПРИЕМКИ

3.1. бихромат натрия технический принимают партиями. За партию принимают продукт одного сорта, однородный по своим показателям качества, изготовленный за ограниченный период времени, но не более чем за одну смену, и сопровождаемый одним документом о качестве.

Документ о качестве должен содержать:

наименование предприятия-изготовителя и его товарный знак;

наименование, сорт продукта и группу упаковки;

номер партии;

массу нетто;

количество упаковочных единиц, входящих в партию;

результаты проведенных анализов или подтверждение соответствия качества продукта требованиям настоящего стандарта;

подтверждение о нанесении на упаковку знака опасности по ГОСТ 19433-88;

обозначение настоящего стандарта.

3.2. Для контроля качества бихромата натрия, упакованного в барабаны и мешки, отбирают 3% упаковочных единиц, но не менее двух при партии менее 60 единиц.

Для контроля качества бихромата натрия, упакованного в контейнеры, количество упаковочных единиц отбирается в зависимости от числа контейнеров в партии:

от 2 до 10 контейнеров - 2 единицы

св. 10 " 30 " - 3 "

св. 30 " 50 " - 4 "

св. 50 " " - 5 "

Для проверки качества бихромата натрия, находящегося в движении, пробы отбирают через равные интервалы времени механическим пробоотборником для отбора точечных проб массой 0,5 кг от каждых 3-5 т продукта при погрузке (выгрузке), установленным на потоке в местах перепада продукта.

3.1; 3.2. (Измененная редакция, Изм. N 1, 3).

3.3. При получении неудовлетворительных результатов анализа хотя бы одному из показателей по нему проводят повторный анализ на удвоенной выборке от той же партии.

Результаты повторного анализа распространяются на всю партию.

(Измененная редакция, Изм. N 1).

3.4. Массовую долю нерастворимого в воде остатка, железа и рН водного раствора бихромата натрия изготовитель определяет периодически в каждой двадцатой партии.

(Измененная редакция, Изм. N 3).

4. МЕТОДЫ АНАЛИЗА

4.1. Отбор проб

4.1.1. При отборе проб упаковочные единицы, отобранные для контроля, должны быть перед вскрытием тщательно очищены снаружи во избежание засорения продукта (попадание пыли и т.п.).

(Измененная редакция, Изм. N 1)

4.1.2. Точечные пробы бихромата натрия отбирают из любых точек массы пробоотборником любой конструкции, погружая его по вертикали на глубину не менее 20 см от поверхности.

Масса точечной пробы должна быть не менее 0,2 кг.

(Измененная редакция, Изм. N 1, 3).

4.1.3. Отобранные точечные пробы соединяют, тщательно перемешивают и получают объединенную пробу, из которой методом квартования получают среднюю пробу продукта массой не менее 0,5 кг.

(Измененная редакция, Изм N 1).

4.1.4. Среднюю пробу помещают в чистую сухую плотно закрываемую банку или полиэтиленовый мешочек, который завязывают.

На банку или мешочек наносят следующие обозначения: наименование предприятия-изготовителя, наименование продукта, номер партии, дату отбора пробы и надпись "Токсичен".

(Измененная редакция, Изм. N 3).

4.2. Внешний вид продукта определяют визуально.

4.3. Определение массовой доли бихромата натрия

4.3.1. Аппаратура, реактивы и растворы

Бюретка 3-2-50-0,1 по ГОСТ 20292-74*.
________________
* На территории Российской Федерации действуют ГОСТ 29169-91, ГОСТ 29227-91-ГОСТ 29229-91, ГОСТ 29251-91-ГОСТ 29253-91, здесь и далее по тексту. - Примечание изготовителя базы данных.

Весы лабораторные 2-го класса точности по ГОСТ 24104-88* с наибольшим пределом взвешивания 200 г.
_______________
* На территории Российской Федерации действует ГОСТ 24104-2001, здесь и далее по тексту. - Примечание изготовителя базы данных.


Гири 2-го класса точности по ГОСТ 7328-82*.
_______________
* На территории Российской Федерации действует ГОСТ 7328-2001, здесь и далее по тексту. - Примечание изготовителя базы данных.

Колба мерная 1,2-500-2 по ГОСТ 1770-74.

Мензурка 250 по ГОСТ 1770-74.

Пипетки 2-2-25; 2-2-50; 4,5-2-1,2 по ГОСТ 20292-74.

Цилиндр 1,3-25 по ГОСТ 1770-74.

Вода дистиллированная по ГОСТ 6709-72-->ГОСТ 6709-72.

калий двухромовокислый по ГОСТ 4220-75 (перекристаллизованный и высушенный при 150 °С), раствор концентрации c(1/6K2Cr2O7)=0,15 моль/дм3 (0,15 н.); готовят по ГОСТ 25794.2-83.

Кислота ортофосфорная по ГОСТ 6552-80.

Кислота серная по ГОСТ 4204-77, раствор, разбавленный 1:4.

Кислота фенилантраниловая (индикатор), готовят растворением 0,2 г препарата в 100 см3 раствора углекислого натрия.

Натрий углекислый по ГОСТ 83-79, раствор с массовой долей 0,2%.

Соль закиси железа и аммония двойная сернокислая (Соль Мора) по ГОСТ 4208-72, раствор c(NH4)2Fe(SO4)2·6H2O))=0,2 моль/дм3.

Коэффициент поправки раствора соли Мора устанавливают ежедневно, для этого 50 смраствора двухромовокислого калия помещают в коническую колбу вместимостью 500 см3, добавляют 150 см3 воды, 15 см3 серной кислоты, 5 см3 ортофосфорной кислоты, 1 сминдикатора и титруют раствором соли Мора до перехода фиолетово-вишневой окраски в зеленую.

(Измененная редакция, Изм. N 1, 2, 3).

4.3.2. Проведение анализа

(5,00±0,25) г бихромата натрия взвешивают (результат взвешивания в граммах записывают до четвертого десятичного знака) и переносят в мерную колбу вместимостью 500 см3, доводят объем раствора водой до метки и перемешивают. 25 см3 полученного раствора помещают в коническую колбу вместимостью 500 см3, разбавляют водой до 200 см3, прибавляют 15 смсерной кислоты, 5 см3 ортофосфорной кислоты, 1 см3 индикатора и титруют раствором соли Мора до перехода фиолетово-вишневой окраски в зеленую

4.3.3. Обработка результатов

Массовую долю бихромата натрия (X) в процентах вычисляют по формуле где V - объем раствора соли Мора концентрации точно 0,2 моль/дм3, израсходованный на титрование, см3;
0,00873 - масса бихромата натрия, соответствующая 1 см3 раствора соли Мора концентрации точно 0,2 моль/дм3, г;

m - масса навески, г.

Результат округляют до первого десятичного знака.

За результат анализа принимают среднее арифметическое результатов двух параллельных определений, допускаемые расхождения между которыми не должны превышать 0,4% при доверительной вероятности P=0,95.

Допускаемая абсолютная погрешность результата измерения не превышает 0,5%.

Для пересчета на CrO3 массовую долю бихромата натрия (X) умножают на коэффициент 0,763.

Определение массовой доли бихромата натрия может быть проведено также йодометрическим методом (см. рекомендуемое приложение).

При разногласии в оценке массовой доли бихромата натрия применяют метод, приведенный в настоящем стандарте.

4.3.2; 4.3.3. (Измененная редакция, Изм. N 1, 3).

4.4. Определение массовой доли сульфатов в пересчете на SO4

4.4.1. Аппаратура, реактивы и растворы

Бюретка 3-2-50-0,1 по ГОСТ 20292-74.

Весы лабораторные аналитические с диапазоном взвешивания от 200 мг до 500 г по ГОСТ 24104-88, класс 4.

Колбы мерные 1,2-500 (1000) - 2 по ГОСТ 1770-74.

Пипетки 2-2-5 (50) по ГОСТ 20292-74.

Секундомер.

Фильтр "беззольный" синяя лента.

Колориметр фотоэлектрический типа КФК-2, готовят к работе в соответствии с инструкцией по эксплуатации, устанавливают светофильтр с 590 нм и чувствительностью 3 по красной шкале или типа ФЭК - 56М, устанавливают желтый светофильтр с 582 нм, используют кюветы с толщиной поглощающего свет слоя 30 мм.
барий хлористый по ГОСТ 4108-72, раствор с массовой долей 30% на растворе соляной кислоты концентрации 0,1 моль/дм3 готовят следующим образом: 300 г хлористого бария помещают в мерную колбу вместимостью 1 дм3, растворяют в растворе соляной кислоты концентрации 0,1 моль/дм3, доводят этой же кислотой до метки и перемешивают. Полученный раствор переносят в сухую коническую колбу, нагревают до кипения и выдерживают 24 ч. Затем два раза фильтруют через двойной фильтр "синяя лента". Раствор перед применением тщательно перемешивают.

Вода дистиллированная по ГОСТ 6709-72-->ГОСТ 6709-72.

Кислота серная по ГОСТ 4204-77, "стандарт-титр", раствор концентрации c(1/2H2SO4)=0,01 моль/дм3 (0,01 н.) в растворе соляной кислоты концентрации 1 моль/дм3; готовят следующим образом: "стандарт-титр" серной кислоты переносят в мерную колбу вместимостью 1 дм3, доводят до метки раствором соляной кислоты концентрации 1 моль/дм3 и перемешивают. 50 см3 раствора помещают в мерную колбу вместимостью 500 см3, доводят объем раствора в колбе до метки раствором соляной кислоты концентрации 1 моль/дм3 и перемешивают - раствор А. 1 см3 раствора А содержит 0,48 мг SO4.

кислота соляная по ГОСТ 3118-77, раствор c(HCl)=0,1 и 1 моль/дм3.

(Измененная редакция, Изм. N 1, 2, 3).

4.4.2. Подготовка к анализу

4.4.2.1. Построение градуировочного графика

Для построения градуировочного графика готовят стандартные растворы. Для этого в мерные колбы вместимостью 500 см3 отмеривают из бюретки 10,0; 15,0; 20,0; 30,0; 40,0; 50,0 см3 раствора А, что соответствует 4,8; 7,2; 9,6; 14,4; 19,2; 24,0 мг SO4, доводят до метки раствором соляной кислоты концентрации 1 моль/дм3 и перемешивают.

При работе на КФК-2 в световой пучок прибора помещают кювету со стандартным раствором, налитым точно до риски, закрывают крышку кюветного отделения и ручками "чувствительность" и "установка 100" ("грубо" и "точно") устанавливают отсчет 100 по шкале колориметра. Открывают крышку кюветного отделения и в центр кюветы приливают из пипетки, положение которой строго фиксировано, 5 см3 раствора хлористого бария. С момента начала приливания хлористого бария включают секундомер. Затем, периодически закрывая крышку кюветного отделения, наблюдают за положением стрелки микроамперметра. При достижении плотности D=0,1, секундомер выключают и отмечают время в секундах.

При работе на ФЭК-56 М в правый световой пучок прибора помещают кювету в 10 смстандартного раствора, в левый - кювету с водой, включают фотоэлемент и устанавливают оптическое равновесие при оптической плотности на правом барабане D=0,1. Выключают фотоэлемент, на правом барабане устанавливают оптическую плотность D=0.

После этого в центр правой кюветы приливают 5 см3 раствора хлористого бария из пипетки, положение которой строго фиксировано. С момента начала приливания хлористого бария включают секундомер, далее, периодически включая фотоэлемент, наблюдают за положением стрелки гальванометра. При достижении нулевого положения стрелки секундомер выключают и отмечают время в секундах.

По полученным значениям времени строят градуировочный график, откладывая на оси абсцисс - lg C (мг SO4 в 500 см3 раствора), на оси ординат - lgt (время в секундах).

(Измененная редакция, Изм. N 1).

4.4.3. Проведение анализа

(10,00±0,25) г бихромата натрия взвешивают (результат взвешивания в граммах записывают до второго десятичного знака), переносят в мерную колбу вместимостью 500 см3, растворяют в растворе соляной кислоты концентрации 1 моль/дм, объем раствора доводят этой же кислотой до метки и перемешивают.

При проведении анализа на КФК-2 полученный раствор наливают в кювету точно до риски, помещают кювету в световой пучок, закрывают крышку кюветного отделения. При работе на ФЭК-56М в правый световой пучок прибора помещают кювету с полученным раствором, налитым точно до риски, в левый помещают кювету с дистиллированной водой.

Затем измеряют время (t) достижения заданной оптической плотности с момента начала приливания раствора хлористого бария так, как и при построении градуировочного графика по п.4.4.2.1.

По полученным данным, пользуясь градуировочным графиком, определяют массу сульфата в анализируемой пробе.

(Измененная редакция, Изм. N 1, 3).

4.4.4. Обработка результатов

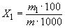
Массовую долю сульфатов (X1) в процентах вычисляют по формуле где m1 - масса SO4 в 500 см3 раствора, найденная по градуировочному графику, мг;

m - масса навески, г.

За результат анализа принимают среднее арифметическое двух параллельных определений, допускаемые расхождения между которыми не должны превышать 0,03%, при доверительной вероятности P=0,95.

(Измененная редакция, Изм. N 1).

4.5. Определение массовой доли хлоридов в пересчете на Cl

4.5.1. Аппаратура, реактивы и растворы

Бюретка 6-2-5-0,02 по ГОСТ 20292-74.

Весы аналитические с диапазоном взвешивания от 200 мг до 500 г по ГОСТ 24104-88, класс 4.

Колба мерная 1,2-500-2 по ГОСТ 1770-74.

Мензурка 100 по ГОСТ 1770-74.

Пипетки 2-2-100, 4,5-2-1,2 по ГОСТ 20292-74.

Цилиндр 1,3-10 по ГОСТ 1770-74.

Вода дистиллированная по ГОСТ 6709-72-->ГОСТ 6709-72.

калий двухромовокислый по ГОСТ 4220-75, х.ч.

Кислота азотная по ГОСТ 4461-77.

Натрий нитропруссидный (индикатор), раствор с массовой долей 10%.

Ртуть (II) азотнокислая 1-водная по ГОСТ 4520-78, раствор концентрации c(1/2Hg(NO3)2·H2O)=0,1 моль/дм3 (0,1 н.).
(Измененная редакция, Изм. N 1, 2, 3).

4.5.2. Проведение анализа

(15,00±0,25) г бихромата натрия взвешивают (результат взвешивания в граммах записывают до второго десятичного знака), растворяют в горячей воде и фильтруют через фильтр "белая лента" в мерную колбу вместимостью 500 см3. Фильтр промывают горячей водой до бесцветных промывных вод. Раствор охлаждают, доводят водой до метки и перемешивают. 100 смполученного раствора помещают в коническую колбу вместимостью 250 см3, добавляют 5 смазотной кислоты, 1 см3 индикатора и медленно титруют раствором азотнокислой ртути, наблюдая раствор на черном фоне, до появления слабой неисчезающей мути.

Одновременно проводят контрольный опыт. Для этого 3 г двухромовокислого калия растворяют в 100 см3 воды и далее поступают так же, как при проведении анализа.

4.5.3. Обработка результатов

Массовую долю хлоридов (X2) в процентах вычисляют по формуле где V - объем раствора азотнокислой ртути концентрации точно 0,1 моль/дм3, израсходованный на титрование анализируемого раствора, см3;

V1 - объем раствора азотнокислой ртути концентрации точно 0,1 моль/дм3, израсходованный на титрование раствора контрольного опыта, см3;

0,003546 - масса хлора, соответствующая 1 см3 раствора азотнокислой ртути концентрации точно 0,1 моль/дм3, г;

m - масса навески, г.

За результат анализа принимают среднее арифметическое двух параллельных определений, допускаемые расхождения между которыми не должны превышать 0,03%, при доверительной вероятности P=0,95.

4.5.2; 4.5.3. (Измененная редакция, Изм, N 1, 3).

4.6. Определение массовой доли нерастворимого в воде остатка

4.6.1. Аппаратура и реактивы

Весы лабораторные 2-го класса точности по ГОСТ 24104-88 с наибольшим пределом взвешивания 200 г.

Гири 2-го класса точности по ГОСТ 7328-82.

Мензурка 250 по ГОСТ 1770-74.

Тигель фильтрующий типа ТФ ПОР 10 или ТФ ПОР 16 по ГОСТ 25336-82.

Печь муфельная или другая, обеспечивающая нужную точность регулирования температуры.

Вода дистиллированная по ГОСТ 6709-72-->ГОСТ 6709-72.

4.6.2. Проведение анализа

(10,0±0,5) г бихромата натрия взвешивают (результат взвешивания в граммах записывают до первого десятичного знака), помещают в стакан вместимостью 300 см3 и растворяют в 150 смводы. Раствор фильтруют через фильтрующий тигель, предварительно высушенный до постоянной массы и взвешенный (результат взвешивания в граммах записывают до четвертого десятичного знака).

Остаток на фильтре промывают горячей водой до получения бесцветных промывных вод и сушат в муфельной печи при температуре (105±5) °С до постоянной массы.

4.6.1; 4.6.2. (Измененная редакция, Изм. N 1, 3).

4.6.3. Обработка результатов

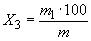
Массовую долю нерастворимого в воде остатка (X3) в процентах вычисляют по формуле где m1 - масса высушенного остатка, г;
m - масса навески, г.

За результат анализа принимают среднее арифметическое двух параллельных определений, допускаемые расхождения между которыми не должны превышать 0,003%, при доверительной вероятности P=0,95.

(Измененная редакция, Изм. N 1).

4.7. Определение массовой доли железа

4.7.1. Аппаратура, реактивы и растворы

Бюретка 6-2-5-0,02 по ГОСТ 20292-74.

Весы лабораторные по ГОСТ 24104-88 4-го класса точности с наибольшим пределом взвешивания 500 г или 2-го класса точности с наибольшим пределом взвешивания 200 г.

Гири 2-го класса точности по ГОСТ 7328-82.

Колба мерная 1,2-100-2 по ГОСТ 1770-74.

Пипетки 2-2-10; 4,5-1,2 по ГОСТ 20292-74.

Цилиндры 1,3-25; 2-50 по ГОСТ 1770-74.

аммоний роданистый по ГОСТ 27067-86, раствор с массовой долей 10%.

Вода дистиллированная по ГОСТ 6709-72-->ГОСТ 6709-72.

Кислота азотная по ГОСТ 4461-77, раствор, разбавленный 1:2.

Кислота серная по ГОСТ 4204-77, раствор, разбавленный 1:4.

Раствор, содержащий железо (III), готовят по ГОСТ 4212-76.

Стандартный раствор должен содержать в 1 см3 0,00005 г железа.

Спирт изоамиловый по ГОСТ 5830-79.

Спирт этиловый ректификованный технический по ГОСТ 18300-87, высший сорт.

4.7.2. Проведение анализа

(2,5±0,25) г бихромата натрия взвешивают (результат взвешивания в граммах записывают до второго десятичного знака), помещают в мерную колбу вместимостью 100 см3, растворяют в небольшом количестве воды, доводят объем раствора водой до метки и перемешивают. 10 смполученного раствора переносят в стакан вместимостью 100 см3, добавляют 5 см3 раствора серной кислоты и 5 см3 раствора азотной кислоты. Содержимое стакана перемешивают и добавляют 1 см3 этилового спирта. Раствор осторожно нагревают до полного восстановления хрома, доводят до кипения и 3 мин кипятят. После охлаждения раствор переносят в цилиндр для колориметрирования, добавляют 5 см3 роданистого аммония, 20 см3 изоамилового спирта и содержимое цилиндра перемешивают.

Одновременно через все стадии анализа проводят контрольный опыт, для этого приливают все те же реактивы и из бюретки стандартный раствор железа до получения одинакового окрашивания спиртового слоя с анализируемым раствором.

4.7.1; 4.7.2. (Измененная редакция, Изм. N 1, 3).

4.7.3. Обработка результатов

Массовую долю железа (X4) в процентах вычисляют по формуле где V - объем стандартного раствора железа, израсходованный на колориметрическое титрование, см3;
0,00005 - масса железа в 1 см3 стандартного раствора, г;

m - масса навески, г.

За результат анализа принимают среднее арифметическое двух параллельных определений, допускаемые расхождения между которыми не должны превышать 0,0004%, при доверительной вероятности P=0,95.

(Измененная редакция, Изм. N 1).

4.8. Определение величины рН водного раствора

4.8.1. Аппаратура и реактивы

Весы лабораторные по ГОСТ 24104-88 4-го класса точности с наибольшим пределом взвешивания 500 г или 2-го класса точности с наибольшим пределом взвешивания 200 г.

Гири 2-го класса точности по ГОСТ 7328-82.

Колба мерная 1,2-100-2 по ГОСТ 1770-74.

pH-метр со стеклянным электродом, с погрешностью измерения не более 0,1 pH.

Стакан стеклянный В 1,2-50 ТХС по ГОСТ 25336-82.

Вода дистиллированная по ГОСТ 6709-72-->ГОСТ 6709-72, не содержащая углекислоты, готовят по ГОСТ 4517-87. Воду следует предохранять от кислых и щелочных паров.

4.8.2. Проведение анализа

(10,0±0,1) г бихромата натрия взвешивают (результат взвешивания в граммах записывают до второго десятичного знака), помещают в мерную колбу вместимостью 100 см3, растворяют в небольшом количестве воды, доводят объем раствора водой до метки и перемешивают. Раствор помещают в стакан и измеряют значение pH при комнатной температуре.

4.8.1, 4.8.2. (Измененная редакция, Изм. N 1, 3).

5. УПАКОВКА, МАРКИРОВКА, ТРАНСПОРТИРОВАНИЕ И ХРАНЕНИЕ

5.1. бихромат натрия упаковывают в стальные барабаны для химической продукции типов БТIIБ1-50 (100) по ГОСТ 5044-79, полиэтиленовые мешки-вкладыши, вложенные в четырех-, пятислойные бумажные мешки марки НМ по ГОСТ 2226-88 или льно-джуто-кенафные мешки по ГОСТ 18225-72, или джутовые мешки.

Масса нетто мешка - не более 50 кг.

Допускаемое отклонение по массе ±1%.

Полиэтиленовые мешки-вкладыши заваривают или завязывают. Бумажные, льно-джуто-кенафные или джутовые мешки прошивают машинным способом.

Допускается по согласованию с потребителем упаковывать бихромат натрия в мягкие специализированные контейнеры.

Барабаны с продуктом, предназначенным для экспорта, с наружной стороны должны иметь защитное лакокрасочное покрытие.

Для продукта, предназначенного для экспорта и упакованного в мешки, в качестве вкладыша применяют полиэтиленовый мешок по ГОСТ 17811-78.

(Измененная редакция, Изм. N 3).

5.2. Транспортная маркировка - по ГОСТ 14192-77* с нанесением знака опасности по ГОСТ 19433-88 (класс 9, подкласс 9.1, классификационный шифр 9153).
_______________
* На территории Российской Федерации действует ГОСТ 14192-96, здесь и далее по тексту. - Примечание изготовителя базы данных. 

Кроме того, на транспортную тару наносят следующие данные, характеризующие продукцию:

наименование, сорт продукта;

номер партии;

обозначение настоящего стандарта.

При упаковке бихромата натрия в контейнеры ярлык с указанными обозначениями вкладывают в карман контейнера. Допускается наносить маркировку по трафарету несмываемой краской на боковую поверхность контейнера в соответствии с ГОСТ 14192-77.

5.3. Транспортную маркировку продукта, предназначенного для экспорта, проводят в соответствии с заказом-нарядом внешнеторгового объединения и ГОСТ 14192-77.

5.2, 5.3. (Измененная редакция, Изм. N 1, 3).

5.4. бихромат натрия, отгружаемый в районы Крайнего Севера, упаковывают в соответствии с ГОСТ 15846-79*.

_______________
* На территории Российской Федерации действует ГОСТ 15846-2002. - Примечание изготовителя базы данных.

(Измененная редакция, Изм. N 1).

5.5. бихромат натрия транспортируют всеми видами транспорта в крытых транспортных средствах в соответствии с правилами перевозки грузов, действующими на соответствующих видах транспорта.

По железной дороге упакованную продукцию транспортируют повагонными отправками.

Специализированные контейнеры транспортируют открытым подвижным составом без перегрузок в пути следования. Размещение и крепление контейнеров производят в соответствии с правилами погрузки и хранения грузов, утвержденными Министерством путей сообщения.

Упакованный в барабаны и мешки продукт транспортируют пакетами. Выбор средств скрепления пакетов по ГОСТ 21650-76. Масса и габаритные размеры пакета должны соответствовать требованиям ГОСТ 24597-81. Несущие средства пакетирования - плоские поддоны по ГОСТ 9078-84 или ГОСТ 9557-87 или специализированные поддоны.

Транспортирование бихромата натрия авиационным транспортом осуществляется в герметически закрытых стальных барабанах, масса нетто которых не должна превышать 50 кг.

(Измененная редакция, Изм. N 1, 3).

5.6. бихромат натрия хранят в закрытых складских помещениях в таре изготовителя. Контейнеры хранят на незагрязненных открытых площадках, имеющих твердое покрытие со стоком вод и обеспечивающих работу грузовых механизмов.

Срок хранения продукта не ограничен.

(Измененная редакция, Изм. N 3).

ПРИЛОЖЕНИЕ (рекомендуемое)

ПРИЛОЖЕНИЕ
Рекомендуемое

1. Иодометрический метод определения массовой доли бихромата натрия

1.1. Аппаратура, реактивы и растворы

Бюретка 3-2-50-0,1 по ГОСТ 20292-74.

Весы лабораторные 2-го класса точности по ГОСТ 24104-88 с наибольшим пределом взвешивания 200 г.

Гири 2-го класса точности по ГОСТ 7328-82.

Колба мерная 1,2-500-2 по ГОСТ 1770-74.

Мензурка 250 по ГОСТ 1770-74.

Пипетки 2-2-25; 2-2-50 по ГОСТ 20292-74.

Цилиндр 1.3-25 по ГОСТ 1770-74.

Вода дистиллированная по ГОСТ 6709-72-->ГОСТ 6709-72.

Калий йодистый по ГОСТ 4232-74, раствор с массовой долей 10%.

Кислота серная по ГОСТ 4204-77, раствор c(1/2H2SO4)=3,5 моль/дм3.

Крахмал растворимый по ГОСТ 10163-76, раствор с массовой долей 0,5%, готовят по ГОСТ 4919.1-77.

натрий серноватистокислый (Тиосульфат натрия) по ГОСТ 27068-86, раствор c(Na2S2O3·5H2O)=0,1 моль/дм3. Коэффициент поправки устанавливают бихромату калия.

(Измененная редакция, Изм.N 3).

1.2. Проведение анализа

20 см3 раствора, полученного, как указано в п.4.3.2 настоящего стандарта, помещают в коническую колбу вместимостью 250 см3, приливают 15 см3 раствора серной кислоты, 8 смйодистого калия и, накрыв колбу часовым стеклом, оставляют в темном месте на 10 мин. Затем приливают 100 см3 воды и выделившийся йод титруют раствором тиосульфата натрия в присутствии крахмала (крахмал добавляют в конце титрования, когда раствор окрашен в слабо-желтый цвет) до исчезновения синей окраски раствора.

1.3. Обработка результатов

Массовую долю бихромата натрия (X) в процентах вычисляют по формуле где V - объем раствора тиосульфата натрия концентрации точно 0,1 моль/дм3, израсходованный на титрование анализируемого раствора, см3;

V1 - объем раствора тиосульфата натрия концентрации точно 0,1 моль/дм3, израсходованный на титрование раствора контрольного опыта, см3;

0,004365 - масса бихромата натрия, соответствующая 1 см3 точно 0,1 моль/дм3 раствора тиосульфата натрия, г;

m - масса навески, г.

За результат анализа принимают среднее арифметическое двух параллельных определений, допускаемые расхождения между которыми не должны превышать 0,2% при доверительной вероятности P=0,95.

Для пересчета на CrO3 массовую долю бихромата натрия (X) умножают на коэффициент 0,763.

(Введено дополнительно, Изм. N 1).




официальное издание
М.: Издательство стандартов, 1992