Новости Нефтегазовая пром.
Выставки Наука и технология


Натрий уксуснокислый технический ГОСТ 2080-76

Натрий уксуснокислый технический. Технические условия (с Изменениями N 1, 2) ГОСТ 2080-76

ГОСТ 2080-76

Группа Л21

     
     
МЕЖГОСУДАРСТВЕННЫЙ СТАНДАРТ



Натрий уксуснокислый ТЕХНИЧЕСКИЙ



Технические условия



Sodium acetate for industrial use. Specifications



МКС 71.080.99
ОКП 24 3211 0000

Дата введения 1977-01-01

     
     
ИНФОРМАЦИОННЫЕ ДАННЫЕ

1. РАЗРАБОТАН И ВНЕСЕН Министерством химической промышленности СССР

2. УТВЕРЖДЕН И ВВЕДЕН В ДЕЙСТВИЕ Постановлением Государственного комитета стандартов Совета Министров СССР от 04.05.76 N 1037

3. ВЗАМЕН ГОСТ 2080-63 и ГОСТ 5.998-71

4. ССЫЛОЧНЫЕ НОРМАТИВНО-ТЕХНИЧЕСКИЕ ДОКУМЕНТЫ

Обозначение НТД, на который дана ссылка

Номер пункта

ГОСТ 61-75

3.4.1, 3.6.1

ГОСТ 199-78

3.6.1

ГОСТ 1277-75

3.7.1

ГОСТ 1770-74

3.6.1, 3.7.1, 3.8.1

ГОСТ 2226-88

4.1

ГОСТ 3118-77

3.4.1, 3.8.1, 3.10.1

ГОСТ 4204-77

3.5.1, 3.10.1

ГОСТ 4212-76

3.6.1, 3.7.1, 3.8.1

ГОСТ 4233-77

3.4.1

ГОСТ 4328-77

3.10.1

ГОСТ 4461-77

3.7.1

ГОСТ 4517-87

3.8.1, 3.10.1

ГОСТ 4919.1-77

3.4.1

ГОСТ 5456-79

3.6.1

ГОСТ 6709-72-->ГОСТ 6709-72

3.4.1, 3.5.1, 3.6.1, 3.7.1, 3.8.1, 3.9.1

ГОСТ 9078-84

4.6

ГОСТ 9338-80

4.3

ГОСТ 9557-87

4.6

ГОСТ 14192-96

4.4

ГОСТ 18300-87

3.10.1

ГОСТ 19433-88

2.1, 4.4

ГОСТ 20490-75

3.5.1

ГОСТ 21650-76

4.6

ГОСТ 24104-88

3.4.1, 3.5.1, 3.6.1, 3.7.1, 3.8.1, 3.10.1

ГОСТ 24597-81

4.6

ГОСТ 25336-82

3.4.1, 3.5.1, 3.6.1, 3.7.1, 3.8.1, 3.9.1, 3.10.1

ГОСТ 25794.1-83

3.4.1

ГОСТ 25794.2-83

3.5.1

ГОСТ 25794.3-83

3.7.1

ГОСТ 27025-86

3.3а

5. Ограничение срока действия снято Постановлением Госстандарта от 03.04.91 N 413

6. ИЗДАНИЕ (июль 2003 г.) с Изменениями N 1, 2, утвержденными в марте 1986 г., апреле 1991 г. (ИУС 7-86, 6-91)

Настоящий стандарт распространяется на технический уксуснокислый натрий, получаемый омылением метилацетата каустической содой, представляющий собой кристаллогидрат натриевой соли уксусной кислоты.

Формула: CH3COONa*3H2O

Молекулярная масса (по международным атомным массам 1985 г.) - 136,08.

Технический уксуснокислый натрий применяют в легкой, химической, фармацевтической и анилинокрасочной промышленности.

Требования настоящего стандарта являются обязательными.

(Измененная редакция, Изм.N 2).

1. ТЕХНИЧЕСКИЕ ТРЕБОВАНИЯ

1.1а. Уксуснокислый натрий должен изготовляться в соответствии с требованиями настоящего стандарта по технологическому регламенту, утвержденному в установленном порядке.

(Введен дополнительно, Изм.N 1).

1.1. Уксуснокислый натрий по физико-химическим показателям должен соответствовать требованиям и нормам, указанным в таблице.

Наименование показателя

Норма

1. Внешний вид и цвет

Однородные кристаллы белого цвета

2. Массовая доля 3-водного уксуснокислого натрия CH3COONa*3H2O, %, не менее

98,0

3. Массовая доля веществ, восстанавливающих марганцовокислый калий (KMnO4)

Выдерживает испытание по п.3.5

4. Массовая доля железа, %, не более

0,002

5. Массовая доля хлоридов, %, не более

0,01

6. Массовая доля сульфатов, %, не более

0,001

7. Массовая доля нерастворимого в воде остатка, %, не более

0,01

8. Щелочность (NaOH) или кислотность (CH3COOH), %, не более

0,03


Примечание. Для уксуснокислого натрия, получаемого из диафрагменного едкого натра, допускается массовая доля хлоридов не более 0,1%.



(Измененная редакция, Изм.N 1, 2).

2а. ТРЕБОВАНИЯ БЕЗОПАСНОСТИ

2а.1. Уксуснокислый натрий - трудногорючий кристаллический продукт.

При попадании на кожу и слизистые оболочки глаз и дыхательных путей вызывает раздражение.

2а.2. Производственные помещения должны быть оборудованы приточно-вытяжной вентиляцией.

2а.3. При работе с уксуснокислым натрием следует применять индивидуальные средства защиты, а также соблюдать меры личной гигиены.

2а.4. При попадании уксуснокислого натрия или его растворов на кожу и слизистые оболочки необходимо смыть его обильной струей воды.

Разд.2а. (Введен дополнительно, Изм.N 1).

2. ПРАВИЛА ПРИЕМКИ

2.1. Уксуснокислый натрий принимают партиями. В партию включают продукт, однородный по своим качественным показателям, в любом количестве, одновременно отправляемый в один адрес и сопровождаемый одним документом о качестве.

Документ должен содержать:

наименование предприятия-изготовителя и его товарный знак;

наименование продукта;

номер партии и дату изготовления;

количество тарных мест в партии;

массу брутто и нетто;

результаты проведенного анализа или подтверждение о соответствии качества продукта требованиям настоящего стандарта;

шифр группы по ГОСТ 19433;

обозначение настоящего стандарта.

2.2. Для проверки соответствия качества продукта требованиям настоящего стандарта объем выборки - 10% единиц продукции, но не менее трех.

2.3. При получении неудовлетворительных результатов анализа хотя бы по одному из показателей проводят повторный анализ на удвоенной выборке той же партии. Результаты повторного анализа распространяются на всю партию.

Разд.2. (Измененная редакция, Изм.N 1).

3. МЕТОДЫ АНАЛИЗА

3.1. Точечные пробы из мешков отбирают щупом примерно в равных количествах, соединяют, тщательно перемешивают и отбирают среднюю пробу.

3.2. Среднюю пробу массой не менее 500 г помещают в чистую сухую стеклянную банку и герметично закрывают.

На банку наклеивают этикетку с указанием: наименования продукта, номера партии и места, даты отбора проб и фамилии лица, отобравшего пробу.

3.1; 3.2. (Измененная редакция, Изм.N 1).

3.3а. Общие указания по проведению анализа - по ГОСТ 27025.

Допускается использование аппаратуры с техническими и метрологическими характеристиками не хуже, а также реактивов по качеству не ниже указанных в настоящем стандарте.

(Введен дополнительно, Изм.N 2).

3.3. Определение внешнего вида и цвета

Внешний вид и цвет определяют визуально.

3.4. Определение массовой доли 3-водного уксуснокислого натрия

3.4.1. Аппаратура, реактивы и растворы

Весы лабораторные 2-го класса точности по ГОСТ 24104* с наибольшим пределом взвешивания 200 г.
________________
* С 1 июля 2002 г. введен в действие ГОСТ 24104-2001 (здесь и далее).


Колба коническая типа Кн по ГОСТ 25336 вместимостью 250 см3.

Бюретка исполнения 3 вместимостью 25 см3.

кислота соляная по ГОСТ 3118, раствор концентрации c(HCl)=1 моль/дм (1 н.); готовят по ГОСТ 25794.1.

Кислота уксусная по ГОСТ 61, раствор концентрации c(CH3COOH)=0,5 моль/дм3 (0,5 н.).

Натрий хлористый по ГОСТ 4233, раствор концентрации c(NaCl)=0,5 моль/дм3 (0,5 н.).

Тропеолин 00 (индикатор), водный раствор с массовой долей 0,1%; готовят по ГОСТ 4919.1.

Вода дистиллированная по ГОСТ 6709.

3.4.2. Проведение анализа

Около 2 г уксуснокислого натрия взвешивают (результат взвешивания записывают с точностью до четвертого десятичного знака), помещают в коническую колбу и растворяют в 100 см3 воды. К раствору прибавляют шесть-семь капель раствора тропеолина 00 и титруют раствором соляной кислоты до такой окраски, как у контрольного раствора, состоящего из 30 см3 уксусной кислоты, 30 см3 раствора хлористого натрия, 55 см3 воды и такого же количества индикатора, как в анализируемом растворе. Затем к анализируемому раствору прибавляют еще несколько капель соляной кислоты и дотитровывают контрольный раствор соляной кислотой до совпадения его окраски с окраской анализируемого раствора.

3.4.1; 3.4.2. (Измененная редакция, Изм.N 1).

3.4.3. Обработка результатов

Массовую долю 3-водного уксуснокислого натрия (X) в процентах вычисляют по формуле где 0,1361 - количество 3-водного уксуснокислого натрия, соответствующее 1 см3 раствора соляной кислоты концентрации точно 1 моль/дм3 (1 н.), г;

V - общий объем раствора соляной кислоты концентрации точно 1 моль/дм3 (1 н.), израсходованный на титрование анализируемого раствора, см3;

V1 - объем раствора соляной кислоты концентрации точно 1 моль/дм3 (1 н.), израсходованный на титрование контрольного раствора, см3;

m - масса навески уксуснокислого натрия, г.

За результат анализа принимают среднеарифметическое результатов двух параллельных определений, допускаемые расхождения между которыми не должны превышать 0,2% при доверительной вероятности P=0,95.

(Измененная редакция, Изм.N 1, 2).

3.5. Определение массовой доли веществ, восстанавливающих марганцовокислый калий (KMnO4)

3.5.1. Аппаратура, реактивы и растворы

Весы лабораторные по ГОСТ 24104 2-го класса точности с наибольшим пределом взвешивания 200 г.

Колба коническая типа Кн по ГОСТ 25336 вместимостью 250 см3.

Калий марганцовокислый по ГОСТ 20490, раствор концентрации c(1/5KMnO4)=0,1 моль/дм3 (0,1 н.); готовят по ГОСТ 25794.2.

Кислота серная по ГОСТ 4204.

Вода дистиллированная по ГОСТ 6709.

3.5.2. Проведение анализа

Взвешивают 1,5 г уксуснокислого натрия (результат взвешивания в граммах записывают с точностью до второго десятичного знака), помещают в колбу, растворяют в 20 см3 воды, прибавляют 1 см3 серной кислоты и 0,3 см3 раствора марганцовокислого калия. Содержимое колбы перемешивают.

Продукт считают соответствующим требованиям настоящего стандарта, если розовая окраска раствора не исчезнет в течение 5 мин.

3.5-3.5.2. (Измененная редакция, Изм.N 2).

3.5.3. (Исключен, Изм.N 2).

3.6. Определение массовой доли железа

3.6.1. Аппаратура, реактивы и растворы

Весы лабораторные 2-го класса точности по ГОСТ 24104 с наибольшим пределом взвешивания 200 г.

Колба коническая типа Кн по ГОСТ 25336 вместимостью 100 см3.

Колба мерная исполнения 2 по ГОСТ 1770 вместимостью 50 см3.

Вода дистиллированная по ГОСТ 6709.

Гидроксиламин солянокислый по ГОСТ 5456.

Кислота уксусная по ГОСТ 61, раствор с массовой долей 12%.

Натрий уксуснокислый по ГОСТ 199.

о-Фенантролин.

Буферный раствор с pH 5; готовят следующим образом: 38 г уксуснокислого натрия растворяют в воде, затем добавляют 58 см3 раствора уксусной кислоты, доводят объем раствора водой до 1000 м и перемешивают.

Раствор, содержащий железо; готовят по ГОСТ 4212.

о-Фенантролиновый раствор, готовят следующим образом: к 200 см3 воды добавляют 100 см3 буферного раствора, 10 г солянокислого гидроксиламина и 0,1 г о-фенантролина.

Раствор сохраняют в темном месте в склянке с притертой пробкой.

Фотоэлектроколориметр типа ФЭК-56М или другого типа.

3.6.2. Построение градуировочного графика

Для построения градуировочного графика готовят растворы сравнения. Для этого в пять конических колб помещают растворы, содержащие в 25 см3 соответственно 0,010; 0,020; 0,030; 0,040; 0,050 мг Fe.

Одновременно готовят контрольный раствор, не содержащий железа.

В каждый раствор прибавляют по 0,1 см3 раствора уксусной кислоты и 5 см3о-фенантролинового раствора. Растворы погружают на 10 мин в кипящую водяную баню, после чего охлаждают. Затем растворы переносят в мерные колбы, доводят объемы растворов водой до метки и перемешивают.

Оптическую плотность растворов сравнения измеряют по отношению к контрольному раствору в кюветах толщиной поглощающего свет слоя 50 мм, пользуясь светофильтром N 5 при длине волны (490±10) нм.

По полученным данным строят градуировочный график, откладывая на оси абсцисс введенное в растворы сравнения количество железа в миллиграммах, а на оси ординат - соответствующее им значение оптической плотности.

3.6.3. Проведение анализа

1,00 г уксуснокислого натрия помещают в коническую колбу вместимостью 100 см3 и растворяют в 25 см3 воды. К содержимому колбы прибавляют 0,1 см3 уксусной кислоты, 5 смо-фенантролинового раствора и погружают на 10 мин в кипящую баню. После охлаждения раствор переносят в мерную колбу вместимостью 50 см3, доводят объем водой до метки и перемешивают.

Оптическую плотность анализируемого раствора измеряют по отношению к контрольному раствору, приготовленному так же, как при построении градуировочного графика.

3.6.4. Обработка результатов

Массовую долю железа (X2) в процентах вычисляют по формуле где m1 - массовая доля железа, найденная по градуировочному графику, мг;

m - масса навески уксуснокислого натрия, г.

За результат анализа принимают среднеарифметическое результатов двух параллельных определений, допускаемые расхождения между которыми не должны превышать 0,0005% при доверительной вероятности P=0,95.

3.6.1-3.6.4. (Измененная редакция, Изм.N 1).

3.7. Определение массовой доли хлоридов

3.7.1. Аппаратура, реактивы и растворы

Весы лабораторные 2-го класса точности по ГОСТ 24104 с наибольшим пределом взвешивания 200 г.

Колба коническая типа Кн по ГОСТ 25336 вместимостью 100 см3.

Цилиндр мерный исполнения 1 или 3 по ГОСТ 1770 вместимостью 50 см3.

Кислота азотная по ГОСТ 4461, х.ч., раствор с массовой долей 25%.

Серебро азотнокислое по ГОСТ 1277, раствор концентрации c(AgNO3)=0,1 моль/дм3 (0,1 н.); готовят по ГОСТ 25794.3.

Раствор, содержащий Cl; готовят по ГОСТ 4212.

Вода дистиллированная по ГОСТ 6709.

(Измененная редакция, Изм.N 1).

3.7.2. Проведение анализа

0,10 г уксуснокислого натрия (или 1,00 г для массовой доли хлоридов не более 0,01%) помещают в коническую колбу и растворяют в 30 см3 воды.

Затем приливают 2 см3 азотной кислоты, погружают на 15 мин в кипящую водяную баню и охлаждают. Если раствор мутный, его фильтруют через беззольный фильтр, предварительно промытый горячим раствором азотной кислоты с массовой долей 1%. Раствор переносят в цилиндр из бесцветного стекла, доводят водой до 40 см3, прибавляют 1 см3 раствора азотнокислого серебра и тщательно перемешивают.

Продукт соответствует требованиям настоящего стандарта, если наблюдаемая через 20 мин на темном фоне опалесценция анализируемого раствора не будет интенсивнее опалесценции раствора, приготовленного одновременно с анализируемым и содержащего в таком же объеме 0,1 мг Cl, 2 см3 раствора азотной кислоты и 1 см3 раствора азотнокислого серебра.

(Измененная редакция, Изм.N 1, 2).

3.8. Определение массовой доли сульфатов

3.8.1. Аппаратура, реактивы и растворы

Весы лабораторные 2-го класса точности по ГОСТ 24104 с наибольшим пределом взвешивания 200 г.

Колба коническая типа Кн по ГОСТ 25336 вместимостью 100 см3.

Цилиндр мерный исполнения 1 или 3 по ГОСТ 1770 вместимостью 50 см3.

барий хлористый, раствор с массовой долей 20%; готовят по ГОСТ 4517.

кислота соляная по ГОСТ 3118, концентрированная и раствор с массовой долей 10%.

Раствор, содержащий SO4; готовят по ГОСТ 4212.

Вода дистиллированная по ГОСТ 6709.

Универсальная лакмусовая бумажка.

3.8.2. Проведение анализа

5,00 г уксуснокислого натрия помещают в коническую колбу вместимостью 100 см3 и растворяют в 25 см3 воды.

К содержимому колбы прибавляют концентрированную соляную кислоту для достижения pH раствора приблизительно 1,2, тщательно перемешивают. Приготовленный раствор переносят в цилиндр из бесцветного стекла вместимостью 50 см3, доводят объем водой до 40 см3, прибавляют 3 см3 раствора хлористого бария, предварительно подогретого в течение 10 мин на водяной бане, имеющей температуру 30°С-35°С, и тщательно перемешивают.

Продукт считают соответствующим стандарту, если наблюдаемая через 30 мин на темном фоне опалесценция анализируемого раствора не будет интенсивнее опалесценции раствора, приготовленного одновременно с анализируемым и содержащего в таком же объеме: 0,05 мг SO4, 1 см3 10 %-ного раствора соляной кислоты и 3 см3 раствора хлористого бария.

3.8.1, 3.8.2. (Измененная редакция, Изм.N 1).

3.9. Определение массовой доли нерастворимого в воде остатка

3.9.1. Проведение анализа

10 г уксуснокислого натрия взвешивают (результат взвешивания записывают с точностью до четвертого десятичного знака), помещают в коническую колбу вместимостью 250 см3 и растворяют в 100 см3 воды (ГОСТ 6709). Раствор нагревают в течение 1 ч на кипящей водяной бане и фильтруют через фильтрующий тигель типа ТФ ПОР10 или ТФ ПОР16 (ГОСТ 25336), предварительно промытый и высушенный при 100°С-105°С до постоянной массы. Остаток на фильтре промывают 100 см3 горячей воды и сушат в сушильном шкафу при 100°С-105°С до постоянной массы.

(Измененная редакция, Изм.N 1, 2).

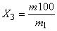
3.9.2. Обработка результатов

Массовую долю нерастворимых в воде веществ (X3) в процентах вычисляют по формуле где m - масса высушенного остатка, г;

m1 - масса навески уксуснокислого натрия, г.

За результат анализа принимают среднеарифметическое результатов двух параллельных определений, допускаемые расхождения между которыми не должны превышать 0,005% при доверительной вероятности P=0,95.

3.10. Определение щелочности или кислотности

3.10.1. Аппаратура, реактивы и растворы

Весы лабораторные 2-го класса точности по ГОСТ 24104 с наибольшим пределом взвешивания 200 г.

Колба коническая типа Кн по ГОСТ 25336 вместимостью 100 см3.

кислота соляная по ГОСТ 3118, раствор концентрации c(HCl)=0,01 моль/дм3 (0,01 н.) или кислота серная по ГОСТ 4204, раствор концентрации c(1/2H2SO4)=0,01 моль/дм (0,01 н.).

Натрия гидроокись по ГОСТ 4328, раствор концентрации c(NaOH)=0,01 моль/дм3 (0,01 н.).

Фенолфталеин (индикатор), спиртовой раствор с массовой долей 1%.

Спирт этиловый ректификованный технический по ГОСТ 18300.

Вода дистиллированная, не содержащая углекислоты; готовят по ГОСТ 4517.

(Измененная редакция, Изм.N 1, 2).

3.10.2. Проведение анализа

5,00 г уксуснокислого натрия взвешивают, помещают в колбу, растворяют в 50 см3 воды и прибавляют три капли раствора фенолфталеина. Если при этом раствор окрашен в розовый цвет, то титруют раствором соляной или серной кислоты до исчезновения розовой окраски. Если же раствор остается бесцветным, то титруют раствором гидроокиси натрия до появления розовой окраски.

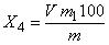
3.10.3. Обработка результатов

Щелочность (NaOH) или кислотность (CH3COOH) (X4) в процентах вычисляют по формуле где V - объем раствора соляной или серной кислоты или раствора гидроокиси натрия концентрации точно 0,01 моль/дм3 (0,01 н.), израсходованный на титрование, см3;

m1 - масса NaOH (0,0004) или CH3COOH (0,0006), соответствующая 1 см3 раствора соляной или серной кислоты или раствора гидроокиси натрия концентрации точно 0,01 моль/дм3 (0,01 н.), г;

m - масса навески уксуснокислого натрия, г.

За результат анализа принимают среднеарифметическое результатов двух параллельных определений, допускаемые расхождения между которыми не должны превышать 0,003% при доверительной вероятности P=0,95.

3.10.2; 3.10.3. (Измененная редакция, Изм.N 1).

4. УПАКОВКА, МАРКИРОВКА, ТРАНСПОРТИРОВАНИЕ И ХРАНЕНИЕ

4.1. Уксуснокислый натрий упаковывают: в четырехслойные мешки марки НМ по ГОСТ 2226 с полиэтиленовым вкладышем или пятислойные ламинированные мешки марки ПМ по ГОСТ 2226с внутренним слоем, покрытым полиэтиленом.

Допускается по согласованию с потребителем упаковывание продукта в мягкие специализированные контейнеры для сыпучих продуктов типа МК-0,5 Л и мягкие специализированные контейнеры разового использования для сыпучих продуктов типа МКР-1,00.

4.2. Масса нетто продукта в мешках - (25±1) кг.

После загрузки мешков верх полиэтиленовых вкладышей заваривают, верх бумажных мешков прошивают машинным способом, не прокалывая вкладышей.

4.3. При мелких отправках в крытых железнодорожных вагонах или при отправках смешанным транспортом уксуснокислый натрий должен быть упакован в фанерные барабаны по ГОСТ 9338 вместимостью 50 дм3 с полиэтиленовыми вкладышами.

Внутренняя поверхность фанерных барабанов должна быть выстлана в два слоя оберточной бумагой.

4.1-4.3. (Измененная редакция, Изм.N 1).

4.4. Транспортная маркировка - по ГОСТ 14192 с нанесением манипуляционного знака "Беречь от влаги" и знака опасности по ГОСТ 19433 (класс 9, подкласс 9.2, классификационный шифр 923).

Кроме того, наносят следующие дополнительные обозначения:

наименование предприятия-изготовителя и его товарный знак;

наименование продукта;

номер партии;

массу брутто или нетто;

дату изготовления;

обозначение настоящего стандарта.

(Измененная редакция, Изм.N 1, 2).

4.5. Уксуснокислый натрий транспортируют транспортом всех видов в крытых транспортных средствах в соответствии с правилами перевозки грузов, действующими на транспорте соответствующего вида.

Железнодорожным транспортом груз перевозят в крытых вагонах - повагонно и мелкими отправками.

Уксуснокислый натрий, упакованный в мягкие контейнеры, перевозят на открытом подвижном составе или в крытых вагонах согласно техническим условиям погрузки и крепления грузов, утвержденным в установленном порядке.

(Измененная редакция, Изм.N 1).

4.6. Уксуснокислый натрий, упакованный в мешки и барабаны, транспортируют в пакетированном виде по ГОСТ 21650, ГОСТ 24597. Груз укладывают на плоские поддоны по ГОСТ 9078 и ГОСТ 9557.

(Измененная редакция, Изм.N 1, 2).

4.7. Уксуснокислый натрий хранят в упаковке изготовителя в крытых складских помещениях.

(Измененная редакция, Изм.N 1).

5. ГАРАНТИИ ИЗГОТОВИТЕЛЯ

5.1. Изготовитель гарантирует соответствие уксуснокислого натрия требованиям настоящего стандарта при соблюдении условий транспортирования и хранения.

5.2. Гарантийный срок хранения - один год со дня изготовления продукта.

Разд.5. (Измененная редакция, Изм.N 1).

Разд.6. (Исключен, Изм.N 1).



официальное издание
М.: ИПК Издательство стандартов, 2003