Ксантогенаты калия бутиловый и этиловый ГОСТ 7927-75
Ксантогенаты калия бутиловый и этиловый. Технические условия (с Изменениями N 1, 2, 3) ГОСТ 7927-75
ГОСТ 7927-75
Группа Л21
ГОСУДАРСТВЕННЫЙ СТАНДАРТ СОЮЗА ССР
КСАНТОГЕНАТЫ КАЛИЯ БУТИЛОВЫЙ И ЭТИЛОВЫЙ
Технические условия
Butyl and ethyl potassium xanthates. Specifications
ОКП 24 5220
Дата введения 1977-01-01
ИНФОРМАЦИОННЫЕ ДАННЫЕ
1. РАЗРАБОТАН И ВНЕСЕН Министерством химической промышленности СССР
РАЗРАБОТЧИКИ
С.С.Пеньковский, Ж.Р.Жукова, Н.Н.Михайлова (руководитель темы); М.И.Гордеева, В.И.Стригина, Н.И.Перелехова
2. УТВЕРЖДЕН И ВВЕДЕН В ДЕЙСТВИЕ Постановлением Государственного комитета стандартов Совета Министров СССР от 16.05.75 N 1328
3. ВЗАМЕН ГОСТ 7927-56
4. ССЫЛОЧНЫЕ НОРМАТИВНО-ТЕХНИЧЕСКИЕ ДОКУМЕНТЫ
|
Обозначение НТД, на который дана ссылка |
Номер пункта, подпункта |
|
ГОСТ 12.1.007-76 |
6.2 |
|
ГОСТ 1770-74 |
3.4.1 |
|
3.4.1 |
|
|
3.4.1 |
|
|
3.4.1 |
|
|
3.4.1 |
|
|
ГОСТ 5044-79 |
4.1 |
|
3.4.1 |
|
|
ГОСТ 9078-84 |
4.3 |
|
ГОСТ 9557-87 |
4.3 |
|
3.4.1 |
|
|
ГОСТ 12026-76 |
3.4.1 |
|
ГОСТ 14192-96 |
4.2 |
|
ГОСТ 19433-88 |
4.2 |
|
ГОСТ 21119.1-75 |
3.6 |
|
ГОСТ 21650-76 |
4.3 |
|
ГОСТ 24104-88 |
3.4.1 |
|
ГОСТ 24597-81 |
4.3 |
|
ГОСТ 25336-82 |
3.4.1 |
|
ГОСТ 26663-85 |
4.3 |
|
3.4.1 |
5. ПЕРЕИЗДАНИЕ (август 1998 г.) с Изменениями N 1, 2, 3, утвержденными в июне 1980 г., июне 1985 г., сентябре 1989 г. (ИУС 9-80, 9-85, 12-89)
Настоящий стандарт распространяется на бутиловый и этиловый ксантогенаты калия, предназначенные для применения в качестве реагентов - собирателей при обогащении руд методом флотации и в гидрометаллургической промышленности.
Формулы:
бутилового ксантогената калия
эмпирическая C5H9OS2K
структурная ![]()
этилового ксантогената калия
эмпирическая C3H5OS2K
структурная 
Молекулярные массы (по международным атомным массам 1971 года):
бутилового ксантогената калия - 188,36;
этилового ксантогената калия - 160,30.
Бутиловый ксантогенат калия представляет собой кристаллы от светло-серого до желтого цвета со специфическим запахом, хорошо растворим в воде.
Этиловый ксантогенат калия - порошок от светло-желтого до сероватого цвета. Хорошо растворим в воде.
1. ТЕХНИЧЕСКИЕ ТРЕБОВАНИЯ
1.1a. Этиловый и бутиловый ксантогенаты калия должны быть изготовлены в соответствии с требованиями настоящего стандарта по технологическому регламенту, утвержденному в установленном порядке.
(Введен дополнительно, Изм. N 3).
1.1. По физико-химическим показателям бутиловый и этиловый ксантогенаты калия должны соответствовать требованиям и нормам, указанным в табл.1.
Таблица 1*
_________________
* Табл.2. (Исключена, Изм. N 2).
Примечания:
1. Допускается снижение массовой доли основного вещества в бутиловом ксантогенате калия высшего сорта в течение гарантийного срока хранения до 90,5%.
2. Показатель 2 определяется только по требованию потребителя.
(Измененная редакция, Изм. N 3).
2. ПРАВИЛА ПРИЕМКИ
2.1. Бутиловый и этиловый ксантогенаты калия должны принимать партиями. Партией считают любое количество однородного по своим качественным показателям продукта, сопровождаемого одним документом о качестве.
Документ должен содержать:
а) наименование предприятия-изготовителя или его товарный знак;
б) наименование продукта и его сорт;
в) номер партии и количество мест в партии;
г) дату изготовления продукта;
д) массу брутто и нетто;
е) результаты проведенных анализов;
ж) обозначение настоящего стандарта.
(Измененная редакция, Изм. N 1).
2.2. Пробу отбирают из 10% упаковочных единиц, но не менее чем из трех от партии, состоящей менее чем из 30 упаковочных единиц.
2.3. При получении неудовлетворительных результатов анализа хотя бы по одному из показателей по нему должны проводить повторный анализ проб, отобранных от удвоенного количества упаковочных единиц. Результаты повторного анализа распространяются на всю партию.
3. МЕТОДЫ АНАЛИЗА
3.1. Пробы отбирают при помощи пробоотборника (щупа) изготовленного из некорродирующего материала.
3.2. От одной упаковочной единицы отбирают щупом вблизи центра барабана одну точечную пробу, в соответствии с расположением отверстия в крышке барабана.
Щуп погружают на всю высоту слоя продукта в таре и используют все содержимое щупа.
Отобранные пробы тщательно перемешивают и сокращают до средней пробы массой не менее 300 г.
Среднюю пробу помещают в стеклянную или полиэтиленовую банку с плотно закрывающейся крышкой.
3.3. На банку с пробой наклеивают этикетку с указанием наименования предприятия-изготовителя или его товарного знака, наименования продукта, номера партии, даты отбора пробы, фамилии пробоотборщика.
3.4. Определение массовой доли основного вещества методом йодометрического титрования и определение свободной гидроокиси калия
3.4.1. Реактивы, растворы и оборудование
барий хлористый по ГОСТ 4108, ч.д.а., с массовой долей 10%;
бумага фильтровальная лабораторная по ГОСТ 12026 марки ФН;
Вода дистиллированная по ГОСТ 6709;
йод по ГОСТ 4159, ч.д.а., раствор концентрации c(1/2J2)=0,05 моль/дм3 (0,05 н.);
кислота соляная по ГОСТ 3118, ч.д.а., растворы концентрации c(НСl)=0,1 моль/дм3 (0,1 н.) и c(НСl)=0,05 моль/дм3 (0,05 н.);
крахмал растворимый по ГОСТ 10163, раствор с массовой долей 0,5%;
кальций углекислый по ГОСТ 4530, ч.д.а.;
натрий серноватистокислый (натрия тиосульфат), 5-водный по ГОСТ 27068, ч.д.а., раствор концентрации c(Na2S2O3·5H2O)=0,05 моль/дм3 (0,05 н.);
фенолфталеин, спиртовой раствор с массовой долей 0,1%;
весы лабораторные общего назначения по ГОСТ 24104* 2-го класса точности с наибольшим пределом взвешивания 200 г;
_______________
* На территории Российской Федерации действует ГОСТ 24104-2001. - Примечание изготовителя базы данных.
колба 1(2)-250-2 по ГОСТ 1770;
колба Кн-1(2)-250 ТС по ГОСТ 25336;
пипетки 2-2-10(25) по НТД;
бюретки 1(3)-2-50 и 6-2-2 по НТД;
цилиндр 1(3)-25(50) по ГОСТ 1770.
(Измененная редакция, Изм. N 1, 3).
3.4.2. Подготовка к анализу
Приготовление раствора ксантогената
Около 2,500 г анализируемого продукта помещают в мерную колбу и растворяют в воде. Затем добавляют 25 см3 раствора хлористого бария. Объем раствора доводят водой до метки, тщательно перемешивают и дают осадку отстояться. Раствор, не взмучивая осадка, отфильтровывают через складчатый фильтр в сухую коническую колбу (первую порцию фильтрата около 20 см3 отбрасывают) и немедленно используют для анализа.
3.4.3. Проведение анализа
Определение массовой доли свободной гидроокиси калия
Отбирают пипеткой 25 см3 раствора ксантогената, помещают в коническую колбу, прибавляют 2-3 капли раствора фенолфталеина и титруют раствором соляной кислоты концентрации 0,05 моль/дм3 до исчезновения розового окрашивания.
Определение массовой доли основного вещества
Раствор, нейтрализованный соляной кислотой, быстро титруют раствором йода в присутствии крахмала. Затем отбирают пипеткой 25 см3 раствора ксантогената, помещают в коническую колбу, добавляют к бутиловому ксантогенату калия 50 см3, а к этиловому - 25 см3 раствора соляной кислоты концентрации 0,1 моль/дм3, закрывают пробкой и выдерживают бутиловый ксантогенат калия 30 мин, этиловый - 15 мин. После этого быстро добавляют около 0,3 г углекислого кальция (на дне колбы должно оставаться его небольшое количество), затем приливают 10 см3 раствора йода и титруют раствором серноватистокислого натрия до тех пор, пока раствор не примет светло-желтого окрашивания, прибавляют раствор крахмала и дотитровывают до исчезновения синего окрашивания.
3.4.4. Обработка результатов
Массовую долю свободной гидроокиси калия (X) в процентах вычисляют по формуле
где V - объем раствора соляной кислоты концентрации точно 0,05 моль/дм3, израсходованный на титрование анализируемого раствора, см3;
m - масса навески продукта, г;
0,0028 - масса гидроокиси калия, соответствующая 1 см3 раствора соляной кислоты концентрации точно 0,05 моль/дм3, г.
За результат анализа принимают среднее арифметическое результатов двух параллельных определений, абсолютное расхождение между которыми не превышает допускаемое расхождение, равное 0,05%.
Допускаемая абсолютная суммарная погрешность результата анализа ±0,03% при доверительной вероятности P=0,95.
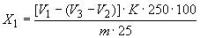
Массовую долю основного вещества (X1) в процентах вычисляют по формуле
где V1 - объем раствора йода концентрации точно 0,05 моль/дм3, израсходованный на титрование, см3;
V2 - объем раствора серноватистокислого натрия концентрации точно 0,05 моль/дм3, израсходованный на обратное титрование йода, см3;
V3 - объем раствора йода концентрации точно 0,05 моль/дм3, взятый для анализа, равный 10 см3;
m - масса навески продукта, г;
K - масса ксантогената калия, соответствующая 1 см3 раствора йода концентрации точно 0,05 моль/дм3. Для бутилового ксантогената калия K=0,00942, для этилового - K=0,008015 г.
За результат анализа принимают среднее арифметическое результатов двух параллельных определений, абсолютное расхождение между которыми не превышает допускаемое расхождение, равное 0,7%.
Допускаемая абсолютная суммарная погрешность результата анализа ±0,7% при доверительной вероятности P=0,95.
(Измененная редакция, Изм. N1, 2, 3).
3.5-3.5.3. (Исключен, Изм. N 1).
3.6. Определение массовой доли летучих веществ
Определение проводят по ГОСТ 21119.1 высушиванием навески продукта массой около 2 г при 80 °С при помощи инфракрасной лампы или в термостате.
(Измененная редакция, Изм. N 1, 3).
4. УПАКОВКА, МАРКИРОВКА, ТРАНСПОРТИРОВАНИЕ И ХРАНЕНИЕ
4.1. Бутиловый и этиловый ксантогенаты калия упаковывают в барабаны БТ I, II, III Б-50 и БТ I, II, III Б-100 по ГОСТ 5044.
Масса нетто продукта должна быть 25-90 кг.
Допускаемые отклонения от массы ±1 кг.
Для районов Крайнего Севера применяют эту же упаковку.
(Измененная редакция, Изм. N 1, 2).
4.2. Транспортная маркировка по ГОСТ 14192 с изображением манипуляционных знаков "Беречь от нагрева" и "Беречь от влаги" и знака опасности по ГОСТ 19433 (класс 6, подкласс 6.1, черт.6б, классификационный шифр 6163).
Кроме того, на транспортную тару наносят следующие дополнительные обозначения:
наименование предприятия-изготовителя и его товарный знак;
наименование продукта;
номер партии;
массу нетто;
дату изготовления;
обозначение настоящего стандарта.
4.3. Бутиловый и этиловый ксантогенаты калия транспортируют транспортом всех видов в крытых транспортных средствах в соответствии с правилами перевозки грузов, действующими на транспорте данного вида.
Железнодорожным транспортом продукция перевозится повагонно или мелкими отправками в крытых вагонах на условиях твердых ксантогенатов.
При транспортировании ксантогенатов калия массой 1 т и больше барабаны формируют в транспортные пакеты по ГОСТ 26663, ГОСТ 24597, на поддонах по ГОСТ 9557 и ГОСТ 9078.
Средства скрепления - по ГОСТ 21650.
Воздушным транспортом ксантогенаты калия перевозят только на грузовых самолетах при массе нетто одной упаковки не более 100 кг.
Допускается транспортировать продукт в непакетированном виде по согласованию с потребителем при перевозке повагонными отправками с погрузкой и выгрузкой на подъездных путях грузоотправителя (грузополучателя).
4.2, 4.3. (Измененная редакция, Изм. N 1, 2, 3).
4.4. Бутиловый и этиловый ксантогенаты хранят в закрытых барабанах в сухих складских помещениях на расстоянии 0,5 м от стен и отопительных приборов со среднесуточной температурой не выше 20 °С.
В условиях жаркого климата складские помещения должны быть заглубленными или охлаждаемыми.
4.5. (Исключен, Изм. N 2).
5. ГАРАНТИИ ИЗГОТОВИТЕЛЯ
5.1. Изготовитель гарантирует соответствие продукции требованиям настоящего стандарта при соблюдении условий транспортирования и хранения.
5.2. Гарантийный срок хранения бутилового ксантогената калия высшего сорта - 4 мес, первого и второго - 2 мес, этилового - 6 мес со дня изготовления.
(Измененная редакция, Изм. N 3).
6. ТРЕБОВАНИЯ БЕЗОПАСНОСТИ
6.1. Бутиловый и этиловый ксантогенаты калия - горючие вещества. Пылевоздушные смеси их взрывоопасны, относятся к 3-му классу опасности.
Нижний предел взрываемости пылевоздушных смесей бутилового и этилового ксантогенатов калия - 10,4 г/м3.
Температура воспламенения пыли, находящейся во взвешенном состоянии, для бутилового ксантогената 565 °С, для этилового - 840 °С.
Тушить следует тонкораспыленной водой и воздушно-механическими пенами.
(Измененная редакция, Изм. N 2).
6.2. Бутиловый и этиловый ксантогенаты калия токсичны, относятся к 3-му классу опасности по ГОСТ 12.1.007.
При попадании на кожу и слизистые оболочки оказывают раздражающее действие.
При длительном соприкосновении с ними отмечается токсидермия и появление экземы, дерматита.
При попадании во внутрь ксантогенаты калия преимущественно поражают центральную нервную систему, что связано с освобождением сероуглерода и его токсическим действием.
Ксантогенаты в присутствии влаги разлагаются, особенно при температуре выше 30 °С.
(Измененная редакция, Изм. N 3).
6.3. Предельно допускаемая концентрация пыли бутилового ксантогената калия в воздухе производственных помещений 10 мг/м3.
Определение пыли в воздухе производственных помещений производят весовым методом с помощью фильтра АФА-В-18.
6.4. При работе с бутиловым и этиловым ксантогенатами калия необходимо применять индивидуальные средства защиты (спецодежду, респиратор, защитные очки, противокислотные рукавицы КР, резиновые перчатки), а также соблюдать меры личной гигиены, не допускать попадания продуктов внутрь организма, на слизистые оболочки и кожу.
Необходимо строгое соблюдение общих требований пожарной безопасности.
6.5. Помещения, в которых производятся работы с бутиловым и этиловым ксантогенатами калия, должны быть оборудованы общей приточно-вытяжной вентиляцией.
В местах наибольшего пыления должны иметься укрытия с местной вытяжной вентиляцией.
Рассыпанный продукт следует собрать в мусоросборник.
(Измененная редакция, Изм. N 3).
официальное издание
М.: ИПК Издательство стандартов, 1998