Каучуки синтетические бутадиен-метилстирольный СКМС-30АРКМ-27 и бутадиен-стирольный ГОСТ 15628-79
Каучуки синтетические бутадиен-метилстирольный СКМС-30АРКМ-27 и бутадиен-стирольный СКС-30АРКМ-27. Технические условия (с Изменениями N 1, 2, 3, 4) ГОСТ 15628-79
ГОСТ 15628-79
Группа Л61
ГОСУДАРСТВЕННЫЙ СТАНДАРТ СОЮЗА ССР
КАУЧУКИ СИНТЕТИЧЕСКИЕ БУТАДИЕН-МЕТИЛСТИРОЛЬНЫЙ
СКМС-30АРКМ-27 И БУТАДИЕН-СТИРОЛЬНЫЙ СКС-30АРКМ-27
Технические условия
Synthetic rubbers. Butadiene methyl styrene СКМС-30АРКМ-27
and butadiene styrene СКС-30АРКМ-27. Specifications
ОКП 22 9435
Дата введения 1980-07-01
ИНФОРМАЦИОННЫЕ ДАННЫЕ
1. РАЗРАБОТАН И ВНЕСЕН Министерством нефтехимической и нефтеперерабатывающей промышленности СССР
РАЗРАБОТЧИКИ
Г.С.Тихомиров, д-р техн. наук (руководитель темы); О.В.Сигов, канд. хим. наук (руководитель темы); В.В.Моисеев, канд. хим. наук; Ю.В.Перина (руководитель темы); Г.П.Филинов, канд. техн. наук; А.Т.Титов, канд. хим. наук; З.Н.Корбанова, канд. техн. наук; В.Н.Папков, канд. техн. наук; А.П.Гаршин, канд. хим. наук
2. УТВЕРЖДЕН И ВВЕДЕН В ДЕЙСТВИЕ Постановлением Государственного комитета СССР по стандартам от 02.08.79 N 2931
3. ВЗАМЕН ГОСТ 15628-70 и ГОСТ 10.56-71 в части каучука СКМС-30 АРКМ-27 и СКС-30 АРКМ-27
4. ССЫЛОЧНЫЕ НОРМАТИВНО-ТЕХНИЧЕСКИЕ ДОКУМЕНТЫ
|
Обозначение НТД, на которые дана ссылка |
Номер пункта, подпункта |
|
ГОСТ 12.1.005-88 |
2.3 |
|
4.3.1a, 4.8.1 |
|
|
ГОСТ 127-76 |
4.3.1a, 4.3.1.1 |
|
4.3.1a, 4.3.1.1 |
|
|
ГОСТ 270-75 |
4.3.2 |
|
ГОСТ 427-75 |
4.2.1 |
|
ГОСТ 1770-74 |
4.8.1, 4.9.1 |
|
ГОСТ 2226-88 |
5.1 |
|
4.8.1 |
|
|
ГОСТ 3145-84 |
4.2.1, 4.3.1a |
|
4.9.1 |
|
|
4.9.1 |
|
|
4.9.1 |
|
|
4.8.1 |
|
|
4.9.1 |
|
|
ГОСТ 4919.1-77 |
4.8.1 |
|
ГОСТ 5072-79 |
4.2.1, 4.8.1 |
|
4.8.1, 4.9.1 |
|
|
4.8.1, 4.9.1 |
|
|
4.3.1a, 4.3.1.1 |
|
|
4.3.1а, 4.3.1.1 |
|
|
4.9.1 |
|
|
ГОСТ 10354-82 |
5.1 |
|
ГОСТ 10722-76 |
4.2.2.2, 4.2.3 |
|
ГОСТ 11358-89 |
4.2.1, 4.3.1а |
|
ГОСТ 11997-89 |
4.3.1а |
|
ГОСТ 14192-77 |
5.3 |
|
ГОСТ 14333-79 |
4.2.1, 4.3.1a |
|
4.8.1, 4.9.1 |
|
|
4.8.1, 4.9.1 |
|
|
ГОСТ 19338-90 |
4.7 |
|
ГОСТ 19816.1-91 |
4.8.3.1, 4.8.9 |
|
ГОСТ 19816.2-74 |
4.6 |
|
ГОСТ 19816.4-91 |
4.5 |
|
ГОСТ 29227-91 |
4.8.1, 4.9.1 |
|
ГОСТ 22019-85 |
2.3 |
|
ГОСТ 24104-88* |
4.2.1, 4.3.1а, 4.8.1, 4.9.1 |
|
ГОСТ 24654-81 |
4.11 |
|
ГОСТ 24919-91 |
4.10 |
|
ГОСТ 25336-82 |
4.8.1, 4.9.1 |
|
ГОСТ 27109-86 |
3.2, 4.1 |
|
ГОСТ 27110-86 |
4.4.1 |
|
ГОСТ 28498-90 |
4.2.1, 4.3.1а |
_________________
* Действует ГОСТ 24104-2001, здесь и далее по тексту.
5. Ограничение срока действия снято Постановлением Госстандарта СССР от 26.12.91, N 2159
6. ПЕРЕИЗДАНИЕ (июнь 1996 г.) с Изменениями N 1, 2, 3, 4, утвержденными в январе 1983 г., августе 1984 г., феврале 1988 г., декабре 1991 г., (ИУС 5-83, 11-84, 5-88, 4-92)
Настоящий стандарт распространяется на синтетические каучуки бутадиен-метилстирольный СКМС-30АРКМ-27 и бутадиен-стирольный СКС-30АРКМ-27, получаемые совместной полимеризацией бутадиена с
-метилстиролом или со стиролом в эмульсии при низкой температуре с применением в качестве эмульгатора смеси мыл канифоли и синтетических жирных кислот.
Настоящий стандарт устанавливает требования к каучукам СКМС-30АРКМ-27 и СКС-30АРКМ-27, изготовляемым для народного хозяйства и поставки на экспорт.
(Измененная редакция, Изм. N 3).
1. ТЕХНИЧЕСКИЕ ТРЕБОВАНИЯ
1.1. Каучуки СКМС-30АРКМ-27 и СКС-30АРКМ-27 должны быть изготовлены в соответствии с требованиями настоящего стандарта по технологическим регламентам, утвержденным в установленном порядке.
1.2. Синтетические каучуки СКМС-30АРКМ-27 и СКС-30АРКМ-27 должны соответствовать нормам, указанным в табл.1.
Таблица 1
Примечания:
1. Показатели 1, 2, 9, 10 являются обязательными, все остальные показатели - рекомендуемыми.
2. Для шинной промышленности предназначен каучук с нормой вязкости по Муни 45-55.
(Измененная редакция, Изм. N 1, 2, 3, 4).
1.3. Каучуки не должны содержать посторонних включений, а также включений структурированного и влажного полимера.
(Измененная редакция, Изм. N 2).
1.4. Для каучука, поставляемого на экспорт, разброс по вязкости между партиями не должен превышать 10 единиц в пределах, установленных настоящим стандартом, а внутри партии - 6 единиц.
1.5. Каучуки СКМС-30АРКМ-27 и СКС-30АРКМ-27 выпускают в виде брикетов. Допускается изготовление вальцованного каучука.
Коды ОКП для марок каучука по Общесоюзному классификатору промышленной и сельскохозяйственной продукции должны соответствовать указанным в табл.1а.
Таблица 1а
(Измененная редакция, Изм. N 1).
2. ТРЕБОВАНИЯ БЕЗОПАСНОСТИ
2.1. Каучуки СКМС-30АРКМ-27 и СКС-30АРКМ-27 не взрывоопасны. При внесении в источник огня каучуки горят с выделением густого черного дыма.
Температура воспламенения 295 °С, температура самовоспламенения 335 °С.
2.2. При возникновении пожара необходимо применять средства пожаротушения: воду со смачивателем или воздушно-механическую пену средней кратности.
2.3. При повышенной температуре и иногда при переработке каучук обладает слабым запахом остаточного мономера-стирола или
-метилстирола. Массовая доля незаполимеризованного мономера в каучуке не превышает 0,1%, метод определения - по ГОСТ 22019,
-метилстирол и стирол обладают общетоксическим действием, по степени воздействия на организм относятся к 3-му классу опасности по ГОСТ 12.1.005. Предельно допустимая концентрация (ПДК) паров
-метилстирола в воздухе рабочей зоны, производственных помещений 5 мг/м3, стирола - 10 мг/м3. Контроль за ПДК должен проводиться ежесуточно.
(Измененная редакция, Изм. N 4).
3. ПРАВИЛА ПРИЕМКИ
3.1. Каучук принимают партиями. Партией считают каучук одной марки массой не менее 20 т (вальцованного каучука не менее 10 т), сопровождаемый одним документом о качестве, содержащим:
- наименование завода-изготовителя и его товарный знак;
- наименование и марку каучука;
- дату изготовления;
- номер партии;
- номер места;
- массу нетто;
- обозначение настоящего стандарта;
- массу партии;
- количество мест;
- результаты проведенных испытаний.
Показатель вязкости по Муни должен быть указан в минимальном, среднем и максимальном значениях.
В документе о качестве должно быть указано наименование антиоксиданта.
В документе о качестве, сопровождающем партию вальцованного каучука, должно быть указано "вальцованный".
Форма товаросопроводительной документации каучука для экспорта должна соответствовать требованиям заказа-наряда внешнеторгового объединения.
(Измененная редакция, Изм. N 1, 2, 3).
3.2. Для проверки изготовителем физико-механических и химических показателей выборку проводят по ГОСТ 27109.
Для проверки потребителем вязкости по Муни, разбросу по вязкости внутри партии и потери массы при сушке отбирают не менее трех брикетов или мешков.
(Измененная редакция, Изм. N 1, 3).
3.3. Для проверки соответствия качества каучука требованиям настоящего стандарта проводят приемосдаточные испытания по обязательным (показатели 1, 2, 9, 10) и периодические испытания по рекомендуемым показателям.
Периодические испытания за исключением массовой доли золы, металлов изготовитель проводит на каждой 10-й партии, массовую долю золы, металлов определяют на каждой 500-й партии, но не реже двух раз в год.
(Измененная редакция, Изм. N 4).
3.4. При получении неудовлетворительных результатов приемосдаточных испытаний хотя бы по одному из показателей по нему проводят повторные испытания на удвоенном объеме выборки, взятой от той же партии. Результаты повторных испытаний распространяются на всю партию.
При получении неудовлетворительных результатов периодических испытаний изготовитель переводит испытания по данному показателю в категорию приемосдаточных до получения положительных результатов не менее чем на трех партиях подряд.
(Измененная редакция, Изм. N 3).
4. МЕТОДЫ ИСПЫТАНИЙ
4.1. Отбор и подготовка проб - по ГОСТ 27109.
(Измененная редакция, Изм. N 3).
4.1.1. (Исключен, Изм. N 4).
4.1.2. Пробы каучука хранят до окончания испытаний при температуре не выше 30 °С в месте, защищенном от действия атмосферных осадков и прямого солнечного света.
4.1.3. Пробы, отобранные от каучука, хранящегося при температуре ниже 0 °С, перед подготовкой к испытаниям выдерживают не менее 24 ч (23±2) °С.
4.2. Определение вязкости по Муни
4.2.1. Аппаратура, приборы и материалы
Вальцы размером ЛБ
или Пд
по ГОСТ 14333 с фракцией от 1:1,24 до 1:1,27 и частотой вращения переднего валка 23-27,5 мин-1.
Вискозиметр ротационный.
Нож штанцевый для вырубки образцов.
Секундомер по ГОСТ 5072.
Весы лабораторные общего назначения 4-го класса по ГОСТ 24104 с наибольшим пределом взвешивания 1000 г.
Термометр термоэлектрический контактный типа ТПК-1 с лучковой насадкой по нормативно-технической документации.
Термометр жидкостной стеклянный по ГОСТ 28498 с ценой деления 0,1 °С.
Толщиномер по ГОСТ 11358 типа ТН.
Линейка измерительная металлическая по ГОСТ 427.
Часы сигнальные по ГОСТ 3145.
(Измененная редакция, Изм. N 3, 4).
4.2.2. Подготовка к испытанию
4.2.2.1. Установка величины зазора между валками (по свинцу)
Две свинцовые полоски размером приблизительно 4х10х50 мм каждая пропускают два раза между валками в продольном направлении на расстоянии около 50 мм от направляющего устройства вальцев. Второй раз пластины пропускают нижними концами через зазор.
За величину зазора между валками вальцев принимают толщину развальцованных пластин, измеренную толщиномером в трех точках средней части с погрешностью ±0,01 мм.
Допускаемые расхождения в результатах измерений толщин двух пластин не должны превышать 0,05 мм.
4.2.2.2. Подготовка пробы
Образец для испытания изготовляют из каучука, отобранного по п.4.1 с предварительным вальцеванием. Для этого 250 г каучука десятикратно пропускают через лабораторные вальцы, температура поверхности валков (50±5) °С и зазор между ними (1,20±0,15) мм (по свинцу). Шкурку каучука, полученную после первого пропускания и каждого последующего до девятого включительно, складывают вдвое и подают боковой стороной в зазор между валками. В десятый раз шкурку пропускают через вальцы в развернутом виде.
Из шкурки каучука после ее охлаждения на воздухе не менее 30 мин изготовляют образцы по ГОСТ 10722.
Толщину образцов определяют как среднюю величину не менее пяти измерений по всей площади образца.
Допускается подрезка образца каучука до нужной толщины, требуемой ГОСТ 10722.
4.2.2.1, 4.2.2.2. (Измененная редакция, Изм. N 4).
4.2.3. Проведение испытания
Вязкость каучука определяют по ГОСТ 10722 на большом роторе при 100 °С через 4 мин от начала вращения ротора. Время предварительного прогрева образца в приборе составляет 1 мин.
За результат испытания принимают среднее арифметическое показателей всех отобранных проб.
4.3. Определение условной прочности при растяжении, относительного удлинения при разрыве и относительной остаточной деформации после разрыва
4.3.1а. Аппаратура, реактивы и материалы
Вальцы лабораторные ЛБ
или ПД
по ГОСТ 14333 с фрикцией от 1:1,24 до 1:1,27 и частотой вращения переднего валка 23-27,5 мин-1.
Весы лабораторные общего назначения 4-го класса по ГОСТ 24104 с наибольшим пределом взвешивания 1000 г.
Пресс вулканизационный по ГОСТ 11997.
Разрывная машина.
Термометр термоэлектрический контактный типа ТПК-1 с лучковой насадкой по нормативно-технической документации.
Термометр жидкостной стеклянный по ГОСТ 28498 с ценой деления 0,1 °С.
Толщиномер по ГОСТ 11358, типа ТН.
Секундомер по ГОСТ 5072.
Часы сигнальные по ГОСТ 3145.
Белила цинковые по ГОСТ 202, марки БЦО-М.
2,2'-Дибензтиазолдисульфид (тиазол 2МБС) по ГОСТ 7087, высший или первый сорт.
Сера техническая по ГОСТ 127, сорта 9995 или 9990, 1 и 2-го классов.
Углерод технический по ГОСТ 7885, марки К-354.
(Введен дополнительно, Изм. N 4).
4.3.1. Подготовка к испытанию
4.3.1.1. Приготовление резиновой смеси и ее вулканизация
От пробы каучука, отобранной по п.4.1, берут навеску массой 400 г и готовят резиновую смесь, состав которой приведен в табл.2.
Таблица 2
Примечание. Технический углерод рекомендуется предварительно просушить в сушильном шкафу при температуре (105±5) °С не менее 2 ч на противне слоем не более 10 мм. Высушенный технический углерод хранят в закрытой влагонепроницаемой посуде.
Каучук смешивают с ингредиентами на вальцах, при температуре поверхности валков (50±5) °С по режиму, указанному в табл.3.
Ингредиенты вводят в смесь равномерно по всей длине валка.
Смесь не подрезают, если в запасе имеются ингредиенты, не вошедшие в каучук.
Таблица 3
(Измененная редакция, Изм. N 3).
4.3.1.2. Заготовка пластин
Полученные листы резиновой смеси выдерживают перед вулканизацией не менее 4 ч, после чего листы разрезают на пластины и помещают в вулканизационные формы, подогретые до (143±1) °С.
На пластинах должно быть указано направление вальцевания.
Затем формы закрывают, помещают в нагретый до (143±1) °С пресс и вулканизуют резиновую смесь при (143±1) °С и давлении на площадь ячейки формы не ниже 3,5 МПа (35 кгс/см) в течение 60 и 80 мин.
После вулканизации пластины вынимают из формы, тщательно осматривают, охлаждают на воздухе не менее 30 мин и передают на испытание.
4.3.1.1, 4.3.1.2. (Измененная редакция, Изм. N 4).
4.3.2. Проведение испытания
Условную прочность при растяжении, относительное удлинение при разрыве и относительную остаточную деформацию после разрыва определяют на образцах типа I толщиной (2,0±0,2) мм по ГОСТ 270.
Значения показателей должны соответствовать табл.1 при вулканизации в течение 60 или 80 мин.
4.4. Определение эластичности по отскоку
4.4.1. Из листа резиновой смеси, приготовленной по п.4.3.1, цилиндрическим ножом вырубают шайбы и вулканизуют образцы в формах в оптимальное (из указанных в п.4.3.2) время для данной партии каучука.
Форма и размеры образцов должны соответствовать требованиям ГОСТ 27110.
Эластичность по отскоку определяют по ГОСТ 27110.
(Измененная редакция, Изм. N 3).
4.5. Определение массовой доли золы - по ГОСТ 19816.4.
Допускаемые расхождения между параллельными определениями не должны превышать 0,1%.
4.6. Определение массовой доли меди и железа - по ГОСТ 19816.2.
4.7. Определение потери массы каучука при сушке - по ГОСТ 19338.
За результат испытания принимают среднее арифметическое двух параллельных определений, допускаемые расхождения между которыми не должны превышать 0,05%.
4.8. Определение массовой доли стабилизатора ВТС-150 (ВТС-150Б), органических кислот и мыл органических кислот
4.7, 4.8. (Измененная редакция, Изм. N 4).
4.8.1. Аппаратура, реактивы и растворы
Холодильники воздушные с пришлифованной колбой, вместимостью 100 см3.
Колбы мерные 2-25-2, 2-50-2, 2-250-2, 2-1000-2, 2-100-2 по ГОСТ 1770.
Цилиндры мерные по ГОСТ 1770, вместимостью 25 и 50 см3.
Воронки по ГОСТ 25336.
Пипетки по ГОСТ 29227, вместимостью 1, 2, 5 и 10 см3.
Микробюретки по НТД, вместимостью 2 и 5 см3.
Колба по ГОСТ 25336, вместимостью 250 см3.
Стекла часовые или тарелочки из алюминиевой фольги диаметром 40-60 мм.
Плитка электрическая закрытая.
Фотоэлектроколориметр типов ФЭК-56 и ФЭК-56М.
Баня песчаная.
Электротермостат.
Лампа инфракрасного излучения.
n-Нитроанилин солянокислый (реактив), раствор с массовой долей 0,2%.
Смесь спиртотолуольная, готовят смешением 70 объемов этилового спирта и 30 объемов толуола.
Спирт этиловый технический (гидролизный) по ГОСТ 17299 или спирт этиловый ректификованный технический по ГОСТ 18300.
Толуол по ГОСТ 5789.
Вода дистиллированная по ГОСТ 6709.
кислота соляная по ГОСТ 3118, концентрированная и раствор концентрации c(НСl)=0,05 моль/дм3.
Калия гидроокись, х.ч. или ч.д.а. раствор концентрации c(KОН)=0,1 моль/дм3.
Натрий азотистокислый по ГОСТ 4197, х.ч. раствор с массовой долей 0,1%.
n-Нитрофенилдиазоний хлористый, водный раствор с массовой долей 0,1%.
ВС-1 и ВТС-150 по нормативно-технической документации.
Фенолфталеин (индикатор), приготовленный по ГОСТ 4919.1.
Весы лабораторные общего назначения по ГОСТ 24104, 2 и 4-го классов точности или аналогичного типа.
Термостат жидкостный ТС-16А по нормативно-технической документации или аналогичного типа.
Стаканы В-1-25, В-1-250 ТС по ГОСТ 25336.
Секундомер по ГОСТ 5072.
Стабилизатор ВТС-150 по нормативно-технической документации.
Масло ПН-6К по нормативно-технической документации.
Стабилизатор ВТС-150Б по нормативно-технической документации, предварительно разогретый до температуры 60-70 °С и тщательно перемешанный.
(Измененная редакция, Изм. N 2, 3, 4).
4.8.2. Подготовка к анализу
4.8.2.1. Приготовление раствора с массовой долей 0,2% солянокислого -нитроанилина
2 г n-нитроанилина, взвешенного с погрешностью не более 0,02 г, помещают в стакан, наливают 20 см3 концентрированной соляной кислоты и тщательно растирают желтые кристаллы стеклянной палочкой. Затем добавляют при перемешивании дистиллированную воду до полного растворения кристаллов. Полученный раствор разбавляют водой в мерной колбе вместимостью 1000 см3.
4.8.2.2. Приготовление раствора с массовой долей 0,1% хлористого n-нитрофенилдиазония
Раствор с массовой долей 0,1% азотистокислого натрия смешивают перед анализом с раствором с массовой долей 0,2% солянокислого n-нитроанилина в соотношении 1:1 по объему в количестве, необходимом для анализа.
(Измененная редакция, Изм. N 3).
4.8.2.3. (Исключен, Изм. N 4).
4.8.2.4. (Исключен, Изм. N 3).
4.8.2.5. (Исключен, Изм. N 4).
4.8.2.6. Приготовление стандартного раствора стабилизатора ВТС-150 (ВТС-150Б)
0,020 г ВТС-150 (0,030 г ВТС-150Б) взвешивают в стеклянном стакане, растворяют в 10-20 см3 толуола и переносят в мерную колбу вместимостью 100 см3. Объем раствора в колбе доводят до метки толуолом.
Приготовленный раствор содержит 0,0002 г ВТС-150 (0,0003 г ВТС-150Б) в 1 см3 толуола (раствор А).
Отбирают пипеткой 10 см3 раствора А, переносят в мерную колбу вместимостью 100 см3, добавляют цилиндром 20 см3 толуола. Уровень жидкости в колбе доводят до метки спиртом. Приготовленный раствор содержит 0,00002 г ВТС-150 (0,00003 г ВТС-150Б) в 1 см3 спиртотолуольной смеси (раствор Б).
4.8.2.7. Приготовление спиртотолуольного раствора масла ПН-6К
0,0432 г масла ПК-6К, взвешенного в стеклянном стакане, растворяют в 15-20 см3 спиртотолуольной смеси, количественно переносят в мерную колбу вместимостью 100 см3. Объем раствора в колбе доводят до метки спиртотолуольной смесью.
4.8.2.6, 4.8.2.7. (Измененная редакция, Изм. N 3, 4).
4.8.3. Определение массовой доли спиртотолуольного экстракта
4.8.3.1. Спиртотолуольный экстракт готовят по ГОСТ 19816.1, при этом титрование не проводят.
В случае приемосдаточных испытаний каучука допускается приготовление спиртотолуольного экстракта с уменьшенной навеской каучука по п.4.8.3.1.1.
(Измененная редакция, Изм. N 3, 4).
4.8.3.1.1. 0,1 г мелконарезанного каучука взвешивают, помещают в колбу для экстрагирования, приливают 15 см3 спиртотолуольной смеси, присоединяют к обратному воздушному холодильнику и кипятят на песчаной бане в течение 15 мин, считая с момента закипания. Затем прибор для экстрагирования снимают, охлаждают, колбу отсоединяют от холодильника и экстракт сливают в мерную колбу вместимостью 50 см3.
Экстрагирование пробы каучука повторяют еще дважды, прибавляя каждый раз по 15 см3 спиртотолуольной смеси. Продолжительность каждого экстрагирования 15 мин. Экстракты сливают в ту же колбу. После третьего экстрагирования пробу каучука промывают 5 см3 спиртотолуольной смеси, которые также сливают в мерную колбу с экстрактом. Содержимое колбы охлаждают до температуры (23±5) °С, доводят до метки спиртотолуольной смесью и перемешивают.
4.8.3.1.1. (Введен дополнительно, Изм. N 4).
4.8.3.2. Сушка каучука после экстрагирования
Каучук удаляют из колбы, отжимают на фильтровальной бумаге и помещают на металлическую тарелочку диаметром 40-50 мм, высушенную до постоянной массы при температуре 105-110 °С.
Каучук выдерживают в термостате при температуре 105-110 °С в течение 1 ч, затем в эксикаторе над хлористым кальцием в течение 30 мин и взвешивают. Пробу доводят до постоянной массы, повторяя операции сушки в течение 30 мин и охлаждения в эксикаторе в течение 30 мин.
4.8.3.2. (Введен дополнительно, Изм. N 3).
4.8.4. Обработка результатов
Массовую долю спиртотолуольного экстракта (X1) в процентах вычисляют по формуле
где m - масса пробы каучука, взятая для экстрагирования, г;
m1 - масса тарелочки, г;
m2 - масса тарелочки с каучуком после сушки, г.
За результат испытаний принимают среднее арифметическое результатов не менее двух параллельных определений, допускаемые расхождения между которыми не должны превышать 1%.
(Измененная редакция, Изм. N 3, 4).
4.8.5. Построение градуировочных графиков
4.8.5.1. (Исключен, Изм. N 4).
4.8.5.2. Построение градуировочного графика для определения ВТС-150 (ВТС-150Б)
В мерные колбы вместимостью 25 см3 наливают из бюретки 1,0; 2,0; 3,0; 4,0; 5,0; 6,0 см3 стандартного раствора Б, что соответствует массе 0,00002; 0,00004; 0,00006; 0,00008; 0,00010; 0,00012 г ВТС-150 (0,00003; 0,00006; 0,00009; 0,00012 г ВТС-150Б) в объеме 25 см3 градуировочных растворов. В колбы добавляют цилиндром по 15 см3 спиртотолуольной смеси. Затем поочередно с интервалом времени 2 мин вносят в каждую колбу по 2 см 3свежеприготовленного раствора хлористого n-нитрофенилдиазония, перемешивают (если растворы мутные, добавляют спиртотолуольную смесь до исчезновения мути), помещают в термостат, в котором поддерживается температура (25±1) °С, и оставляют на 30 мин.
По истечении указанного времени и с тем же интервалом времени (2 мин) поочередно вынимают из термостата каждую колбу, объем раствора в колбе доводят до метки спиртотолуольной смесью, перемешивают и измеряют оптическую плотность D на фотоэлектроколориметре с синим светофильтром
=(440±10) нм в кюветах толщиной поглощающего свет слоя жидкости 30 мм. Рабочую кювету наполняют последовательно градуировочными растворами, кювету сравнения наполняют дистиллированной водой.
Проводят контрольный опыт со спиртотолуольной смесью, повторив операции, указанные выше, без стандартного раствора Б. Измеряют оптическую плотность D0.
Градуировочный график строят, откладывая на оси абсцисс массу ВТС-150 (ВТС-150Б) в граммах в объеме 25 см3 градуировочных растворов, на оси ординат - соответствующие им значения оптических плотностей (D-D0), полученные при проведении параллельных определений.
(Измененная редакция, Изм. N 3, 4).
4.8.6, 4.8.6.1. (Исключены, Изм. N 3).
4.8.7, 4.8.7.1. (Исключены, Изм. N 4).
4.8.8. Определение массовой доли ВТС-150 (ВТС-150Б)
5 см3 экстракта при определении ВТС-150 (10 см3 экстракта при определении ВТС-150Б), приготовленного по п.4.8.3.1, разбавляют спиртотолуольной смесью в мерной колбе вместимостью 25 см3 , раствор доводят до метки.
2 см3 разбавленного экстракта вносят пипеткой в мерную колбу вместимостью 25 см3 , добавляют 2 см3 свежеприготовленного раствора хлористого n-нитрофенилдиазония.
Термостатирование и определение оптической плотности растворов должно соответствовать требованиям п.4.8.5.2. Измеряют величину оптической плотности Dx приготовленного раствора.
В другую мерную колбу вместимостью 25 см3 вносят пипеткой 2 см3 спиртотолуольного раствора масла ПН-6К, приготовленного по п.4.8.2.7, при определении стабилизатора ВТС-150 или 4 см3 - при определении стабилизатора ВТС-150Б, добавляют 2 см3 свежеприготовленного раствора хлористого n-нитрофенилдиазония. Измеряют оптическую плотность Dx приготовленного раствора.
При приемосдаточных испытаниях каучука стабилизаторы определяют с экстрактом каучука, полученным по п.4.8.3.1.1.
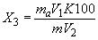
4.8.8.1. Обработка результатов
Массовую долю ВТС-150 (ВТС-150Б) (X3) в процентах вычисляют по формуле
где ma - масса стабилизатора ВТС-150, найденная по градуировочному графику и соответствующая разности оптических плотностей (Dx-Dk), г;
V1 - объем спиртотолуольного экстракта каучука (п.4.8.3.1 или 4.8.3.1.1), см3;
m - масса пробы каучука, взятая для анализа, г;
V2 - объем разбавленного экстракта каучука, взятый для проведения определения, см3.
K - коэффициент разбавления спиртотолуольного экстракта спиртотолуольной смесью (5 - при определении ВТС-150, 2,5 - при определении ВТС-150Б, 1 - при определении стабилизаторов ВТС-150 или ВТС-150Б по п.4.8.8.2).
Результат вычисления округляют до второго десятичного знака.
Расхождение между двумя результатами определения, полученными последовательно одним исполнителем на одной и той же пробе каучука в условиях повторяемости, не должно превышать 0,20% при доверительной вероятности P=0,95.
Продолжительность выполнения определения 2 ч.
4.8.8, 4.8.8.1. (Измененная редакция, Изм. N 3, 4).
4.8.8.2. 2 см3 экстракта вносят пипеткой в мерную колбу вместимостью 25 см3, добавляют 15 см3 спиртотолуольной смеси и 2 см3 свежеприготовленного раствора хлористого n-нитрофенилдиазония, перемешивают, закрывают пробкой и оставляют на 30 мин в затемненном термостате при температуре (25±1) °С.
Термостатирование и определение оптической плотности растворов - по п.4.8.5.2.
Одновременно проводят контрольный опыт со спиртотолуольным раствором масла ПН-6К. В мерную колбу вместимостью 25 см3 вносят пипеткой 2,5 см3 раствора масла ПН-6К, приготовленного по п.4.8.2.7, добавляют 2 см3 свежеприготовленного раствора хлористого -нитрофенилдиазония. Термостатирование и определение оптической плотности растворов - по п.4.8.5.2.7.
4.8.8.2. (Введен дополнительно, Изм. N 4).
4.8.9. Определение массовой доли органических кислот и мыл органических кислот проводят по ГОСТ 19816.1 с использованием спиртотолуольного экстракта, полученного по п.4.8.3.1. Условно расчет ведут на СЖК и Канифоль в соотношении 1:1.
(Измененная редакция, Изм. N 3).
4.9. Определение массовой доли антиоксиданта ВС-1
4.9.1. Аппаратура, реактивы и растворы
Спектрофотометр или фотоэлектроколориметр.
Кюветы стеклянные толщиной поглощающего слоя 20 мм.
Прибор для экстрагирования - колба круглодонная по ГОСТ 25336, вместимостью 100-150 см3 с пришлифованным воздушным холодильником длиной 1 м, диаметром 10 мм.
Колбы мерные по ГОСТ 1770, вместимостью 25, 100 и 1000 см3.
Цилиндры мерные по ГОСТ 1770, вместимостью 50 и 250 см3.
Пипетки по ГОСТ 29227, вместимостью 1 и 10 см3.
Спирт этиловый технический по ГОСТ 17299 или спирт этиловый технический ректификованный по ГОСТ 18300.
Толуол по ГОСТ 5789.
Железо хлорное по ГОСТ 4147.
Раствор спиртовой хлорного железа готовят следующим образом: 0,5 г хлорного железа FeCl3·6H2O с погрешностью взвешивания ±0,001 г растворяют в 200 см3 этилового спирта и перемешивают.
Кислота азотная по ГОСТ 4461, концентрированная.
аммиак водный по ГОСТ 3760, водный раствор с массовой долей 25%.
Конго красный (индикатор).
Диэтилдитиокарбамат натрия по ГОСТ 8864, водный раствор с массовой долей 0,1%.
Медь сернокислая по ГОСТ 4165.
Стандартный раствор сернокислой меди готовят: 0,3928 г сернокислой меди взвешивают с погрешностью не более 0,0002 г и растворяют в мерной колбе вместимостью 1000 см3 в дистиллированной воде (раствор А). Полученный раствор А разбавляют водой (1:10), при этом содержание меди должно составлять 0,00001 г/см3 (раствор Б).
Контрольный раствор хлорного железа в спиртотолуольной смеси готовят следующим образом: 1 см3 спиртового раствора хлорного железа вливают в мерную колбу вместимостью 50 см3, содержимое доводят смесью до метки и перемешивают.
Весы лабораторные общего назначения 2-го класса по ГОСТ 24104 с наибольшим пределом взвешивания 200 г.
Воронка по ГОСТ 25336.
Секундомер по ГОСТ 5072.
Вода дистиллированная по ГОСТ 6709.
(Измененная редакция, Изм. N 3, 4).
4.9.2. Построение градуировочного графика
В делительную воронку вливают 50 см3 воды, вводят пипеткой 10 см3 стандартного раствора сернокислой меди (раствор Б), добавляют 20 капель концентрированной азотной кислоты, бросают кусочек бумаги конго красный и прибавляют по каплям раствор аммиака до перехода синей окраски бумаги конго в красную. После этого вливают еще 1 см3 раствора аммиака и 15 см3 раствора диэтилдитиокарбамата натрия.
Воронку закрывают стеклянной или корковой пробкой и встряхивают в течение 2 мин. После этого вливают 40 см3 толуола и воронку встряхивают в течение 4-5 мин.
После разделения слоев нижний слой сливают в стакан, а верхний через горло воронки переводят в колбу вместимостью 100 см3, следя за тем, чтобы в нее не попали капли воды. Затем нижний слой из стакана переводят снова в ту же делительную воронку и повторяют экстрагирование с 40 см3 толуола, встряхивая воронку в течение 2-3 мин.
Верхний слой так же, как описано выше, сливают в мерную колбу и недостающий до метки объем дополняют толуолом.
Полученный таким образом окрашенный раствор содержит 0,000001 г меди в 1 см3 раствора.
Для построения градуировочного графика берут пипетками 5, 10, 15, 20 и 25 см3 окрашенного толуольного раствора, наливают в мерные колбы вместимостью 25 см3, доливают до метки толуолом и фотометрируют при длине волны 420 нм в кюветах с толщиной поглощающего свет слоя 20 мм.
В качестве стандартного раствора применяют Толуол. Для построения градуировочного графика каждую точку находят дважды, а если между этими определениями наблюдается большое расхождение, то определение проводят третий раз и для кривой берут среднее значение из двух близких показаний. Строят градуировочный график, откладывая по оси ординат показания прибора, а по оси абсцисс - количество ВС-1 в граммах, полученное умножением концентрации меди в граммах на коэффициент пересчета, равный 61,8.
4.9.3. Проведение испытания
В мерную колбу вместимостью 25 см3 наливают около 15 см3 экстракта, приготовленного по п.4.8.3.1, вносят 0,5 см3 спиртового раствора хлорного железа, перемешивают и объем доводят экстрактом до метки.
После встряхивания полученный раствор фотометрируют при длине волны 420 нм в кюветах с толщиной поглощающего свет слоя жидкости 20 мм.
В кювету сравнения наливают экстракт каучука без хлорного железа. Из полученного значения оптической плотности окрашенного экстракта вычитают оптическую плотность контрольного раствора хлорного железа, определяемую для каждой вновь приготовленной спиртотолуольной смеси в кюветах с толщиной поглощающего свет слоя жидкости 20 мм относительно спиртотолуольной смеси.
По разности оптических плотностей по градуировочному графику, построенному по п.4.9.2, находят количество ВС-1 в граммах.
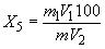
4.9.4. Обработка результатов
Массовую долю антиоксиданта ВС-1 в каучуке (X5) в процентах вычисляют по формуле
где m1 - количество ВС-1, найденное по градуировочному графику, г;
m - масса пробы каучука (пп.4.8.3.1 или 4.8.3.1.1), г;
V1 - объем спиртотолуольного экстракта каучука (пп.4.8.3.1 или 4.8.3.1.1), см3;
V2 - объем экстракта, взятый для фотоэлектроколориметрирования, см3.
(Измененная редакция, Изм. N 4).
4.10. Определение массовой доли масла проводят по ГОСТ 24919, при этом экстрагирование и сушку каучука - по пп.4.8.3.1, 4.8.3.2.
(Измененная редакция, Изм. N 2, 3).
4.11. Определение массовой доли связанного стирола и -метилстирола проводят по ГОСТ 24654, при этом экстрагирование и сушка каучука должны соответствовать пп.4.8.3.1 и 4.8.3.2. Пленку в рефрактометре выдерживают не менее 5 мин.
При определении допускается:
- изготовление прессованной шкурки без подпрессовки в холодном прессе при комнатной температуре, если при этом получается шкурка с гладкой поверхностью;
- изготовление шкурки на микровальцах, при этом каучук, высушенный в соответствии с требованиями ГОСТ 24654, разд.3, вальцуют в течение 20 мин при (50±5) °С и снимают с валков в виде шкурки толщиной 0,5-0,7 мм.
(Измененная редакция, Изм. N 1, 3).
4.11.1-4.11.2.5. (Исключены, Изм. N 1).
4.12. Наличие посторонних включений структурированного и влажного полимера определяют визуально.
(Измененная редакция, Изм. N 2).
5. УПАКОВКА, МАРКИРОВКА, ТРАНСПОРТИРОВАНИЕ И ХРАНЕНИЕ
5.1. Брикеты каучука упаковывают в маркированную полиэтиленовую пленку марок М, Т, Н толщиной 0,050-0,100 мм по ГОСТ 10354. Наружный слой пленки должен иметь маркировку цветными отличительными полосами для каучука СКС-30АРКМ-27 и СКМС-30АРКМ-27 в соответствии с технической документацией и товарный знак предприятия-изготовителя. Сварной шов упаковки должен быть по всему периметру качественным и без разрывов, за исключением мест для удаления воздуха, предусмотренных конструкцией сварочного аппарата. Каучук в полиэтиленовой пленке упаковывают в четырехслойный бумажный мешок по ГОСТ 2226 или ящичные поддоны (контейнеры) массой не более 500 кг.
Масса брикетов каучука должна быть (30,0±0,7) кг.
Вальцованный каучук массой (30,0±0,7) кг упаковывают в маркированную полиэтиленовую пленку марок М, Т, Н толщиной 0,050 мм по ГОСТ 10354, а затем в четырехслойный бумажный мешок по ГОСТ 2226 или ящичный поддон, или контейнер.
Каучук, предназначенный для длительного хранения, упаковывают в полиэтиленовую пленку марок М, Т, Н толщиной 0,050-0,100 мм по ГОСТ 10354, а затем в четырехслойный бумажный мешок по ГОСТ 2226 или в металлические поддоны (контейнеры), или ящичные поддоны, при этом для предохранения каучука от прилипания к стенкам поддона (контейнера) и его загрязнения дно и стенки поддонов (контейнеров) выстилают полиэтиленовой пленкой.
(Измененная редакция, Изм. N 3).
5.2. При поставке каучука на экспорт брикеты каучука, упакованные в маркированную цветными отличительными полосами полиэтиленовую пленку, укладывают в деревянный ящичный поддон массой не более 500 кг.
Допускаемые отклонения по массе брикетов в одной партии не должны быть более ±0,5 кг.
5.3. Каждое грузовое место маркируют по ГОСТ 14192 с нанесением дополнительных обозначений:
- товарного знака предприятия-изготовителя;
- наименования и марки каучука;
- даты изготовления;
- номера партии;
- номера места;
- массы нетто;
- обозначения настоящего стандарта.
При поставке каучука на экспорт маркировка должна соответствовать требованиям заказа-наряда внешнеторгового объединения. При комплектации партии общая масса каучука должна соответствовать массе, указанной в заказе-наряде.
(Измененная редакция, Изм. N 4).
5.4. Каучук перевозят транспортом всех видов в крытых транспортных средствах в соответствии с правилами перевозки грузов, действующими на транспорте данного вида.
При перевозке каучука, упакованного в ящичные поддоны, в железнодорожных вагонах поддоны устанавливают в два-три ряда по высоте вагона и закрепляют.
При поставке на экспорт в один вагон загружается каучук только одной партии.
5.3-5.4. (Измененная редакция, Изм. N 1).
5.5. Каучук, упакованный в ящичный поддон или контейнер, хранят в штабелях. Высота штабеля не должна быть более трех поддонов.
Каучук, упакованный в мешки, хранят в штабелях высотой не более 1,2 м.
Каучук должен храниться в неогнеопасном сухом помещении при температуре не выше 30 °С.
(Измененная редакция, Изм. N 3).
6. ГАРАНТИИ ИЗГОТОВИТЕЛЯ
6.1. Изготовитель гарантирует соответствие каучука требованиям настоящего стандарта при соблюдении условий хранения и транспортирования.
6.2. Гарантийный срок хранения каучука - один год со дня изготовления.
(Измененная редакция, Изм. N 1).
ПРИЛОЖЕНИЕ (рекомендуемое)
ПРИЛОЖЕНИЕ
Рекомендуемое
Таблица 1
СОДЕРЖАНИЕ СВЯЗАННОГО СТИРОЛА В ЗАВИСИМОСТИ ОТ КОЭФФИЦИЕНТА ПРЕЛОМЛЕНИЯ 
|
|
Содержание связующего стирола, % |
|||||||||
|
1,515 |
- |
- |
- |
- |
- |
0,05 |
0,18 |
0,31 |
0,44 |
0,57 |
|
1,516 |
0,70 |
0,83 |
0,96 |
1,09 |
1,22 |
1,34 |
1,47 |
1,60 |
1,73 |
1,86 |
|
1,517 |
1,99 |
2,12 |
2,25 |
2,37 |
2,50 |
2,63 |
2,76 |
2,89 |
3,02 |
3,14 |
|
1,518 |
3,27 |
3,40 |
3,53 |
3,66 |
3,78 |
3,91 |
4,04 |
4,17 |
4,29 |
4,42 |
|
1,519 |
4,55 |
4,67 |
4,80 |
4,93 |
5,06 |
5,18 |
5,31 |
5,44 |
5,56 |
5,69 |
|
1,520 |
5,82 |
5,94 |
6,07 |
6,20 |
6,32 |
6,45 |
6,57 |
6,70 |
6,83 |
6,95 |
|
1,521 |
7,08 |
7,20 |
7,33 |
7,46 |
7,58 |
7,71 |
7,83 |
7,96 |
8,08 |
8,21 |
|
1,522 |
8,33 |
8,46 |
8,58 |
8,71 |
8,83 |
8,96 |
9,08 |
9,21 |
9,33 |
9,46 |
|
1,523 |
9,58 |
9,71 |
9,83 |
9,95 |
10,08 |
10,20 |
10,33 |
10,45 |
10,57 |
10,70 |
|
1,524 |
10,82 |
10,95 |
11,07 |
11,19 |
11,32 |
11,44 |
11,56 |
11,69 |
11,81 |
11,93 |
|
1,525 |
12,06 |
12,18 |
12,30 |
12,43 |
12,55 |
12,67 |
12,79 |
12,92 |
13,04 |
13,16 |
|
1,526 |
13,28 |
13,41 |
13,53 |
13,65 |
13,77 |
13,89 |
14,02 |
14,14 |
14,26 |
14,38 |
|
1,527 |
14,50 |
14,62 |
14,75 |
14,87 |
14,99 |
15,11 |
15,23 |
15,35 |
15,47 |
15,60 |
|
1,528 |
15,72 |
15,84 |
15,96 |
16,08 |
16,20 |
16,32 |
16,44 |
16,56 |
16,68 |
16,80 |
|
1,529 |
16,92 |
17,04 |
17,16 |
17,28 |
17,40 |
17,52 |
17,64 |
17,76 |
17,88 |
18,00 |
|
1,530 |
18,12 |
18,24 |
18,36 |
18,48 |
18,60 |
18,72 |
18,84 |
18,96 |
19,08 |
19,19 |
|
1,531 |
19,31 |
19,43 |
19,55 |
19,67 |
19,79 |
19,91 |
20,03 |
20,14 |
20,26 |
20,38 |
|
1,532 |
20,50 |
20,62 |
20,73 |
20,85 |
20,97 |
21,09 |
21,21 |
21,32 |
21,44 |
21,56 |
|
1,533 |
21,68 |
21,79 |
21,91 |
22,03 |
22,15 |
22,26 |
22,38 |
22,50 |
22,61 |
22,73 |
|
1,534 |
22,85 |
22,96 |
23,08 |
23,20 |
23,31 |
23,43 |
23,55 |
23,66 |
23,78 |
23,90 |
|
1,535 |
24,01 |
24,13 |
24,24 |
24,36 |
24,47 |
24,59 |
24,71 |
24,82 |
24,94 |
25,05 |
|
1,536 |
25,17 |
25,28 |
25,40 |
25,51 |
25,63 |
25,74 |
25,86 |
25,97 |
26,09 |
26,20 |
|
1,537 |
26,32 |
26,43 |
26,55 |
26,66 |
26,78 |
26,89 |
27,00 |
27,12 |
27,23 |
27,35 |
|
1,538 |
27,46 |
27,58 |
27,69 |
27,80 |
27,92 |
28,03 |
28,14 |
28,26 |
28,37 |
28,48 |
|
1,539 |
28,60 |
28,71 |
28,82 |
28,94 |
29,05 |
29,16 |
29,28 |
29,39 |
29,50 |
29,61 |
|
1,540 |
29,73 |
29,84 |
29,95 |
30,06 |
30,18 |
30,29 |
30,40 |
30,51 |
30,62 |
30,74 |
|
1,541 |
30,85 |
30,96 |
31,07 |
31,18 |
31,30 |
31,41 |
31,52 |
31,63 |
31,74 |
31,85 |
|
1,542 |
31,96 |
32,07 |
32,19 |
32,30 |
32,41 |
32,52 |
32,63 |
32,74 |
32,85 |
32,96 |
|
1,543 |
33,07 |
33,18 |
33,29 |
33,40 |
33,51 |
33,62 |
33,73 |
33,84 |
33,95 |
34,06 |
|
1,544 |
34,17 |
34,28 |
34,39 |
34,50 |
34,61 |
34,72 |
34,83 |
34,94 |
35,05 |
35,16 |
|
1,545 |
35,27 |
35,38 |
35,48 |
35,59 |
35,70 |
35,81 |
35,92 |
36,03 |
36,14 |
36,23 |
|
1,546 |
36,36 |
36,46 |
36,57 |
36,68 |
36,79 |
36,89 |
37,00 |
37,11 |
37,22 |
37,33 |
|
1,547 |
37,43 |
37,54 |
37,65 |
37,76 |
37,86 |
37,97 |
38,08 |
38,19 |
38,29 |
38,40 |
|
1,548 |
38,51 |
38,61 |
38,72 |
38,83 |
38,93 |
39,04 |
39,15 |
39,25 |
39,36 |
39,47 |
|
1,549 |
39,57 |
39,68 |
39,79 |
39,89 |
40,00 |
40,10 |
40,21 |
40,32 |
40,42 |
40,53 |
|
1,550 |
40,63 |
40,74 |
40,84 |
40,95 |
41,05 |
41,16 |
41,26 |
41,37 |
41,47 |
41,58 |
|
1,551 |
41,68 |
41,79 |
41,89 |
42,00 |
42,10 |
42,21 |
42,31 |
42,42 |
42,52 |
42,63 |
|
1,552 |
42,73 |
42,83 |
42,94 |
43,04 |
43,15 |
43,25 |
43,35 |
43,46 |
43,56 |
43,66 |
|
1,553 |
43,77 |
43,87 |
43,97 |
44,08 |
44,18 |
44,28 |
44,39 |
44,49 |
44,59 |
44,70 |
|
1,554 |
44,80 |
44,90 |
45,00 |
45,11 |
45,21 |
45,31 |
45,41 |
45,52 |
45,62 |
45,72 |
Таблица 2
СОДЕРЖАНИЕ СВЯЗАННОГО
-МЕТИЛСТИРОЛА
В ЗАВИСИМОСТИ ОТ КОЭФФИЦИЕНТА ПРЕЛОМЛЕНИЯ 
|
|
Содержание связующего |
|||||||||
|
1,515 |
0,04 |
0,18 |
0,32 |
0,46 |
||||||
|
1,516 |
0,60 |
0,75 |
0,87 |
1,01 |
1,15 |
1,28 |
1,42 |
1,56 |
1,69 |
1,83 |
|
1,517 |
1,97 |
2,10 |
2,24 |
2,58 |
2,61 |
2,65 |
2,79 |
2,92 |
5,06 |
3,20 |
|
1,518 |
3,33 |
3,47 |
3,50 |
3,74 |
3,88 |
4,10 |
4,15 |
4,28 |
4,42 |
4,55 |
|
1,519 |
4,76 |
4,82 |
4,96 |
5,09 |
5,23 |
5,36 |
5,50 |
5,63 |
5,77 |
5,90 |
|
1,520 |
6,04 |
6,17 |
6,31 |
6,44 |
6,55 |
6,71 |
6,84 |
6,98 |
7,11 |
7,24 |
|
1,521 |
7,38 |
7,51 |
7,64 |
7,77 |
7,91 |
8,04 |
8,18 |
8,31 |
8,44 |
8,57 |
|
1,522 |
8,71 |
8,84 |
8,98 |
9,11 |
9,24 |
9,37 |
9,51 |
9,64 |
9,77 |
9,90 |
|
1,523 |
10,03 |
10,16 |
10,43 |
10,56 |
10,69 |
10,83 |
10,96 |
10,96 |
11,09 |
11,22 |
|
1,524 |
11,35 |
11,48 |
11,61 |
11,74 |
11,88 |
12,01 |
12,14 |
12,27 |
12,40 |
12,53 |
|
1,525 |
12,66 |
12,79 |
12,92 |
13,05 |
13,18 |
13,31 |
13,44 |
13,57 |
13,70 |
13,85 |
|
1,526 |
13,96 |
14,09 |
14,22 |
14,35 |
14,48 |
14,61 |
14,74 |
14,87 |
15,00 |
15,12 |
|
1,527 |
15,25 |
15,38 |
15,51 |
15,64 |
15,77 |
15,90 |
16,03 |
16,15 |
16,28 |
16,41 |
|
1,528 |
16,54 |
16,67 |
16,80 |
16,92 |
17,05 |
17,38 |
17,51 |
17,53 |
17,56 |
17,69 |
|
1,529 |
17,82 |
17,94 |
18,07 |
18,20 |
18,33 |
18,45 |
18,58 |
18,70 |
18,89 |
18,96 |
|
1,530 |
19,09 |
19,21 |
19,34 |
19,46 |
19,59 |
19,71 |
19,84 |
19,96 |
20,08 |
20,21 |
|
1,531 |
20,35 |
20,47 |
20,60 |
20,72 |
20,85 |
20,97 |
21,10 |
21,22 |
21,35 |
21,47 |
|
1,532 |
21,60 |
21,72 |
21,85 |
21,97 |
22,10 |
22,22 |
22,35 |
22,47 |
22,60 |
22,72 |
|
1,533 |
22,85 |
22,97 |
23,09 |
23,21 |
23,34 |
23,46 |
23,59 |
23,71 |
23,84 |
23,96 |
|
1,534 |
24,08 |
24,20 |
24,33 |
24,45 |
24,58 |
24,70 |
24,82 |
24,94 |
25,07 |
25,10 |
|
1,535 |
25,31 |
25,43 |
25,56 |
25,68 |
25,80 |
25,92 |
26,05 |
26,17 |
26,29 |
26,41 |
|
1,536 |
26,53 |
26,65 |
26,78 |
26,90 |
27,02 |
27,14 |
27,26 |
27,38 |
27,51 |
27,63 |
|
1,537 |
27,75 |
27,87 |
27,99 |
28,11 |
28,23 |
28,35 |
28,47 |
28,59 |
28,71 |
28,83 |
|
1,538 |
28,95 |
29,07 |
29,19 |
29,31 |
29,43 |
29,55 |
29,67 |
29,79 |
29,91 |
30,03 |
|
1,539 |
30,15 |
30,27 |
30,39 |
30,51 |
30,63 |
30,75 |
30,87 |
30,98 |
31,10 |
31,22 |
|
1,540 |
31,34 |
31,46 |
31,58 |
31,70 |
31,82 |
31,93 |
32,05 |
32,17 |
32,29 |
32,42 |
|
1,541 |
32,53 |
32,64 |
32,76 |
32,87 |
32,99 |
33,11 |
33,23 |
33,34 |
33,46 |
33,58 |
|
1,542 |
33,70 |
33,81 |
33,93 |
34,04 |
34,16 |
34,28 |
34,40 |
34,51 |
34,63 |
34,74 |
|
1,543 |
34,86 |
34,98 |
35,10 |
35,21 |
35,33 |
35,44 |
35,56 |
35,67 |
35,79 |
35,90 |
|
1,544 |
36,02 |
36,13 |
36,25 |
36,35 |
36,48 |
36,59 |
36,71 |
36,82 |
36,99 |
37,05 |
|
1,545 |
37,17 |
37,28 |
37,40 |
37,50 |
37,61 |
37,73 |
37,86 |
37,97 |
38,09 |
38,20 |
|
1,546 |
38,31 |
38,42 |
38,54 |
38,65 |
38,77 |
38,88 |
38,99 |
39,10 |
39,22 |
39,34 |
|
1,547 |
39,45 |
39,56 |
39,67 |
39,78 |
39,90 |
40,01 |
40,13 |
40,24 |
40,35 |
40,46 |
|
1,548 |
40,58 |
40,69 |
40,30 |
40,91 |
41,02 |
41,13 |
41,25 |
41,36 |
41,47 |
41,58 |
|
1,549 |
41,69 |
41,80 |
41,92 |
42,03 |
42,14 |
42,25 |
42,36 |
42,47 |
42,58 |
42,69 |
|
1,550 |
42,80 |
42,91 |
43,03 |
43,14 |
43,25 |
43,36 |
43,47 |
43,58 |
43,69 |
43,80 |
|
1,551 |
43,91 |
44,02 |
44,13 |
44,24 |
44,35 |
44,45 |
44,56 |
44,67 |
44,78 |
44,89 |
|
1,552 |
45,00 |
45,11 |
45,22 |
45,33 |
45,44 |
45,54 |
45,65 |
45,76 |
45,87 |
45,98 |
|
1,553 |
46,09 |
46,19 |
46,30 |
46,41 |
46,52 |
46,63 |
46,74 |
46,84 |
46,95 |
47,06 |
|
1,554 |
47,17 |
47,27 |
47,38 |
47,49 |
47,60 |
47,70 |
47,81 |
47,91 |
48,02 |
48,13 |
|
1,555 |
48,24 |
48,34 |
48,45 |
48,55 |
48,66 |
48,77 |
48,88 |
48,98 |
49,09 |
49,19 |
|
1,556 |
49,30 |
49,41 |
49,52 |
49,62 |
49,72 |
49,82 |
49,93 |
50,02 |
50,12 |
50,24 |
|
1,557 |
50,36 |
50,46 |
50,57 |
50,67 |
50,78 |
50,88 |
50,98 |
51,08 |
51,19 |
51,29 |
|
1,558 |
51,40 |
51,50 |
51,61 |
51,71 |
51,82 |
51,92 |
52,03 |
52,13 |
52,23 |
52,33 |
|
1,559 |
52,44 |
52,54 |
52,65 |
52,75 |
52,86 |
52,96 |
53,06 |
53,16 |
53,57 |
53,37 |
Текст документа сверен по:
официальное издание
М.: ИПК Издательство стандартов, 1996