Новости Нефтегазовая пром.
Выставки Наука и технология


Нафтам-2 ГОСТ 39-79

Нафтам-2. Технические условия (с Изменениями N 1, 2) ГОСТ 39-79


ГОСТ 39-79


Группа Л28

     
     
МЕЖГОСУДАРСТВЕННЫЙ СТАНДАРТ

НАФТАМ-2

Технические условия

Naphthame-2. Specifications



ОКП 24 9223 0100 04

Дата введения 1980-01-01

     
     
ИНФОРМАЦИОННЫЕ ДАННЫЕ


1. РАЗРАБОТАН И ВНЕСЕН Министерством химической промышленности СССР

2. УТВЕРЖДЕН И ВВЕДЕН В ДЕЙСТВИЕ Постановлением Государственного комитета СССР по стандартам от 19.02.79 N 622

3. ВЗАМЕН ГОСТ 39-66

4. ССЫЛОЧНЫЕ НОРМАТИВНО-ТЕХНИЧЕСКИЕ ДОКУМЕНТЫ

Обозначение НТД, на который дана ссылка

Номер пункта, подпункта

ГОСТ 12.1.007-76

2.2

ГОСТ 892-89

4.10.1

ГОСТ 1770-74

4.4.1.1, 4.4.2.1

ГОСТ 2226-88

5.1

ГОСТ 2603-79

4.10.1

ГОСТ 3118-77

4.4.2.1

ГОСТ 4197-74

4.4.2.1

ГОСТ 4328-77

4.4.1.1, 4.4.2.1

ГОСТ 4461-77

4.4.1.1

ГОСТ 5955-75

4.4.1.1, 4.4.2.1

ГОСТ 6507-90

4.2.2

ГОСТ 6613-86

4.2.2, 4.8.1, 4.9.1

ГОСТ 6709-72-->ГОСТ 6709-72

4.4.1.1, 4.4.2.1, 4.10.1

ГОСТ 6732.1-89

3.1

ГОСТ 6732.2-89

4.1

ГОСТ 6732.3-89

5.1

ГОСТ 6732.4-89

5.1

ГОСТ 6732.5-89

5.1

ГОСТ 6867-77

4.8.1

ГОСТ 9147-80

4.10.1

ГОСТ 9338-80

5.1

ГОСТ 10521-78

4.3

ГОСТ 12026-76

4.10.1

ГОСТ 14192-96

5.3

ГОСТ 17811-78

5.1

ГОСТ 18300-87

4.4.1.1, 4.4.2.1

ГОСТ 18995.4-73

4.3

ГОСТ 19433-88

5.3

ГОСТ 21119.1-75

4.6

ГОСТ 21119.10-75

4.5

ГОСТ 24104-88

4.4.1.1, 4.4.2.1, 4.8.1, 4.9.1, 4.10.1

ГОСТ 25336-82

4.4.1.1, 4.4.2.1, 4.8.1, 4.9.1

ГОСТ 26319-84

5.1

ГОСТ 28498-90

4.3

ГОСТ 29227-91

4.4.1.1, 4.4.2.1


5. Ограничение срока действия снято по протоколу N 4-93 Межгосударственного Совета по стандартизации, метрологии и сертификации (ИУС 4-94)

6. ИЗДАНИЕ (июнь 2001 г.) с Изменениями N 1, 2, утвержденными в декабре 1984 г., июне 1989 г. (ИУС 4-85, 11-89)

Настоящий стандарт распространяется на нафтам-2 (фенил-2-нафталамин), предназначенный для применения при производстве каучуков и резиновых изделий в качестве стабилизатора и изготовляемый для нужд народного хозяйства и для экспорта. Нафтам-2 изготовляют в виде порошка или рассыпающихся чешуек от светло-серого до светло-коричневого цвета.

Формулы: эмпирическая  C16H13N

                    структурная 

Молекулярная масса (по международным атомным массам 1971 г.) - 219,29.

(Измененная редакция, Изм. N 2).

1. ТЕХНИЧЕСКИЕ ТРЕБОВАНИЯ

1.1. Нафтам-2 должен изготовляться в соответствии с требованиями настоящего стандарта по технологическому регламенту, утвержденному в установленном порядке.

1.2. По физико-химическим показателям нафтам-2 должен соответствовать требованиям и нормам, указанным в таблице.

Наименование показателя

Норма

1. Толщина чешуек, мм, не более

0,6

2. Температура плавления, °С, не ниже

104,5

3. Массовая доля 2-нафтола, %, не более

0,45

4. Массовая доля золы, %, не более

0,3

5. Массовая доля летучих веществ, %, не более

0,2

6. (Исключен, Изм. N 2).

7. Массовая доля остатка после просева порошкообразного нафтама-2, %, не более

0,15

8. Массовая доля пылевидного продукта в чешуированном нафтаме-2, %, не более

3

9. Массовая доля железа и его соединений, извлекаемых магнитом, %, не более

0,008


Примечания:

1. Для предприятий шинной промышленности предназначается нафтам-2 в чешуированном виде.

2. Показатели 3, 4, 5, 9 гарантируются изготовителем и определяются только по требованию потребителя.


(Измененная редакция, Изм. N 2).

2. ТРЕБОВАНИЯ БЕЗОПАСНОСТИ

2.1. Нафтам-2 - горючий порошок.

Температура самовоспламенения 648°С.

Температура вспышки 205°С.

Температура воспламенения 238°С.

Взвешенная пыль в воздухе взрывоопасна. Нижний предел воспламенения 25 г/м3, минимальное взрывоопасное содержание кислорода 14% (по объему). Тушить следует водой, пеной, водой со смачивателями.

2.2. Нафтам-2 относится к веществам 2-го класса опасности (ГОСТ 12.1.007). Предельно допустимая концентрация его в воздухе рабочей зоны производственных помещений (ПДК) составляет 1 мг/м3. При увеличении концентрации нафтам-2 может вызывать изменения в печени и почках.

2.3. Помещения, в которых проводятся работы с нафтамом-2, должны быть оборудованы приточно-вытяжной вентиляцией, места наибольшего пыления - укрытиями с местной вытяжной вентиляцией.

2.4. При работе с нафтамом-2 следует применять индивидуальные средства защиты, а также соблюдать правила личной гигиены.

3. ПРАВИЛА ПРИЕМКИ

3.1. Приемка нафтама-2 - по ГОСТ 6732.1.

3.2. Показатель 9 таблицы определяют по требованию потребителя. При хранении порошкообразного нафтама-2 свыше трех месяцев допускается наличие комков, рассыпающихся при надавливании.

4. МЕТОДЫ АНАЛИЗА

4.1. Пробы отбирают по ГОСТ 6732.2.

Масса средней пробы должна быть не менее 300 г. Для определения толщины чешуек и пылевидного продукта в чешуированном нафтаме-2 оставляют около 30 г, остальную часть пробы тщательно растирают.

4.2. Определение внешнего вида

4.2.1. (Исключен, Изм. N 2).

4.2.2. Для определения толщины чешуек в чешуированном продукте берут около 10 г нафтама-2, помещают на сито с сеткой N 0355К по ГОСТ 6613 и отсеивают пылевидный продукт по п.4.9. Из остатка после просева отбирают 20 чешуек и измеряют их толщину микрометром настольного типа с ценой деления 0,01 мм или микрометром МК 0-15 по ГОСТ 6507.

4.3. Определение температуры плавления

Температуру плавления определяют по ГОСТ 18995.4 в безжидкостном приборе ПТП, откалиброванном по химически чистой бензойной кислоте по ГОСТ 10521 или в стеклянном приборе с жидким теплоносителем. Пробирку, в которую помещают термометр с капилляром, теплоносителем не заполняют.

Допускается определять температуру плавления в безжидкостном приборе ПТП, откалиброванном по бензойной кислоте, х.ч., по ГОСТ 10521.

При определении температуры плавления допускается применять термометры типа ТЛ-22 по ГОСТ 28498 с ценой деления 0,1 и 0,2°С.

Около 0,5 г нафтама-2 предварительно высушивают в течение 30 мин в термостате или под инфракрасной лампой при (100±2)°С.

Капилляр, заполненный нафтамом-2, вносят в прибор, нагретый до 95°С, и продолжают нагревание в пределах последних 5°С со скоростью (1±0,2)°С в минуту.

За температуру плавления принимают температуру, при которой появляется первая прозрачная капля расплавленного нафтама-2.

При разногласиях температуру плавления определяют капиллярным методом в приборе с жидким теплоносителем.

(Измененная редакция, Изм. N 2).

4.4. Определение массовой доли 2-нафтола

4.4.1 Определение массовой доли 2-нафтола по реакции с 1-нитрозо-2-нафтолом

4.4.1.1. Реактивы, растворы и приборы

Бензол по ГОСТ 5955.

Вода дистиллированная по ГОСТ 6709.

Кислота азотная по ГОСТ 4461, ч.д.а., раствор с массовой долей 25%.

Натрия гидроокись по ГОСТ 4328, х.ч., раствор концентрации c(NaOH)=0,5 моль/дм3 (0,5 н.).

2-Нафтол.

1-Нитрозо-2-нафтол по НД, спиртовой раствор с массовой долей 0,4%.

Спирт этиловый ректификованный технический по ГОСТ 18300, высший сорт.

Кюветы с толщиной поглощающего свет слоя 20 мм.

Фотоэлектроколориметр.

Весы лабораторные общего назначения по ГОСТ 24104 2-го класса точности с наибольшим пределом взвешивания 200 г.

Воронка делительная ВД-2-250 ХС по ГОСТ 25336.

Колбы мерные 2-50-2 и 2-100-2 по ГОСТ 1770 вместимостью 50 и 100 см3.

Колбы 1(2)-100, 500-2 по ГОСТ 1770.

Пипетки 2-2-25, 100; 6(7)-2-25; 4-2-2; 6-2-5, 10 по ГОСТ 29227.

Цилиндры 1(3)-25, 50 по ГОСТ 1770.

Стакан В-250 ТХС по ГОСТ 25336.

Стаканчик для взвешивания по ГОСТ 25336.

(Измененная редакция, Изм. N 1, 2).

4.4.1.2. Подготовка к анализу

4.4.1.3. Приготовление раствора сравнения 2-нафтола

0,0400 г 2-нафтола растворяют при нагревании в воде, охлаждают и количественно переносят раствор в мерную колбу вместимостью 100 см3.

Объем раствора в колбе доводят водой до метки и тщательно перемешивают (раствор 1).

25 см3 раствора 1 пипеткой переносят в мерную колбу вместимостью 100 см3, приливают 50 см3 раствора гидроокиси натрия, доводят объем раствора водой до метки и тщательно перемешивают (раствор 2).

(Измененная редакция, Изм. N 1).

4.4.1.4. Построение градуировочного графика

В мерные колбы вместимостью 50 см3 помещают 0,5; 1,0; 1,5; 2,0; 2,5 см3 раствора сравнения 2-нафтола (раствор 2); соответственно 2,5; 2,0; 1,5; 1,0; 0,5 см3 раствора гидроокиси натрия, 1 см3 раствора 1-нитрозо-2-нафтола, 10 см3 раствора азотной кислоты, перемешивают в течение 1 мин, прибавляют 5 см3 спирта, энергично перемешивают и доводят объем раствора водой до метки (для каждой точки градуировочного графика раствор готовят отдельно). Сразу же измеряют оптическую плотность растворов, пользуясь зеленым светофильтром (530-550 нм), по отношению к контрольному раствору, приготовленному следующим образом: в мерную колбу вместимостью 50 см3 помещают 1 см3 раствора 1-нитрозо-2-нафтола, 5 см3 спирта и водой доводят объем раствора до метки.

По полученным данным строят градуировочный график, откладывая на оси абсцисс массу 2-нафтола в миллиграммах, а по оси ординат - соответствующие величины оптической плотности.

Градуировочный график проверяют один раз в три месяца, а также в случае смены реактивов или фотоэлектроколориметра.

4.4.1.5. Проведение анализа

Около 1,00 г нафтама-2 помещают в делительную воронку вместимостью 250 см3 и растворяют в 50 см3 бензола.

К раствору приливают 50 см3 раствора гидроокиси натрия, перемешивают содержимое делительной воронки в течение 10 мин и после четкого разделения слоев нижний слой сливают в мерную колбу вместимостью 100 см3. Бензольный слой в два приема по 20 см3 промывают водой, которую собирают в ту же колбу. Объем раствора в мерной колбе доводят водой до метки и тщательно перемешивают.

5 см3 полученного раствора пипеткой переносят в мерную колбу вместимостью 50 см3, приливают реактивы в том же порядке и измеряют оптическую плотность, как и при построении градуировочного графика.

(Измененная редакция, Изм. N 1).

4.4.1.6. Обработка результатов

Массовую долю 2-нафтола в нафтаме-2 (X) в процентах вычисляют по формуле где m - масса 2-нафтола в анализируемом растворе, найденная по градуировочному графику, мг;
m1 - масса навески нафтама-2, г;

5 - объем раствора, взятый для анализа, см3.

За результат анализа принимают среднее арифметическое результатов двух параллельных определений, абсолютное расхождение между которыми не превышает допускаемое расхождение, равное 0,05%.

Допускаемая абсолютная суммарная погрешность результата анализа ±0,06% при доверительной вероятности P=0,95.

(Измененная редакция, Изм. N 2).

4.4.2. Определение массовой доли 2-нафтола по реакции сочетания с диазотированным n-нитроанилином

4.4.2.1. Реактивы, растворы и приборы

Бензол по ГОСТ 5955.

Вода дистиллированная по ГОСТ 6709.

кислота соляная по ГОСТ 3118, х.ч., раствор концентрации c(HCl)=1 моль/дм3 (1 н.).

Натрия гидроокись по ГОСТ 4328, ч.д.а., раствор концентрации c(NaOH)=2 моль/дм3 (2 н.).

Натрий азотистокислый по ГОСТ 4197, ч.д.а., раствор с массовой долей 5%.

2-Нафтол.

4-Нитроанилин с температурой плавления не ниже 147°С, дважды перекристаллизованный из этилового спирта.

Спирт этиловый ректификованный технический по ГОСТ 18300, высший сорт.

Кюветы с толщиной поглощающего свет слоя 20 мм.

Фотоэлектроколориметр.

Весы лабораторные общего назначения по ГОСТ 24104 2-го класса точности с наибольшим пределом взвешивания 200 г.

Колбы мерные 2-100-2; 2-500-2 по ГОСТ 1770.

Пипетки 2-1-25, 4-1-2, 6-1-5 и 6-1-10 по ГОСТ 29227.

Стакан В-250 ТХС по ГОСТ 25336.

Цилиндр исполнения 1 по ГОСТ 1770 вместимостью 25 и 50 см3.

4.4.2.2. Подготовка к анализу

Приготовление раствора сравнения 2-нафтола проводят по п.4.4.1.3 (раствор 1).

Приготовление раствора солянокислого 4-нитроанилина

1,0000 г 4-нитроанилина помещают в стакан вместимостью 250 см3 со 100 см3 соляной кислоты и растворяют при нагревании до 80°С. Содержимое стакана охлаждают до температуры (18±2)°С, количественно переносят в мерную колбу вместимостью 500 см3, доводят объем раствора водой до метки и тщательно перемешивают.

Приготовление раствора 4-нитродиазобензола

К 100 см3 раствора солянокислого 4-нитроанилина, охлажденного до 15-20°С, пипеткой быстро приливают при интенсивном размешивании 2 см3 раствора азотистокислого натрия и помещают в баню с температурой около 20°С.

Раствор годен к применению в течение 1-2 ч. Перед применением его визуально проверяют на отсутствие мути.

Построение градуировочного графика

В мерные колбы вместимостью 100 см3 помещают 1,5; 1,2; 0,9; 0,6; 0,3 см3 раствора сравнения 2-нафтола, по 2,5 см раствора гидроокиси натрия и приливают соответственно 16,0; 16,3; 16,6; 16,9; 17,2 см3 воды, перемешивают и охлаждают до 15-20°С.

Одновременно готовят контрольный раствор, не содержащий 2-нафтола. В мерную колбу вместимостью 100 см3 вносят 2,5 см3 раствора гидроокиси натрия и 17,5 см3 воды.

Перед колориметрированием в каждую колбу добавляют по 20 см3 раствора 4-нитродиазобензола, доводят объем раствора этиловым спиртом до метки, тщательно перемешивают и замечают время.

Через 5 мин измеряют оптическую плотность растворов на фотоэлектроколориметре, пользуясь зеленым светофильтром (530-550 нм), в кюветах с толщиной поглощающего свет слоя 20 мм.

Проводят две серии измерений и по средним значениям результатов измерений строят градуировочный график в координатах: оптическая плотность - массовая доля 2-нафтола в процентах.

Указанные объемы стандартного раствора 2-нафтола в кубических сантиметрах соответствуют массовой доле 2-нафтола в нафтаме-2 (при массе навески нафтама-2 - 2,40 г) 0,50; 0,40; 0,30; 0,20; 0,10%.

4.4.2.3. Проведение анализа

2,40 г нафтама-2 помещают в делительную воронку вместимостью 250 см3 и растворяют в 25 см3 бензола.

К раствору приливают 50 см3 гидроокиси натрия, перемешивают содержимое делительной воронки в течение 20 мин и дают отстояться. Через 20 мин сливают щелочной раствор, переносят 25 см3 полученного раствора в мерную колбу вместимостью 100 см3, доводят объем водой до метки и тщательно перемешивают.

10 см3 приготовленного раствора переносят в мерную колбу вместимостью 100 см3, добавляют 10 см3 воды, перемешивают, охлаждают содержимое колбы до 15-20°С, приливают 20 см3 раствора 4-нитродиазобензола, доводят объем этиловым спиртом до метки и тщательно перемешивают.

Через 5 мин полученный раствор колориметрируют, пользуясь зеленым светофильтром (530-550 нм) и кюветами с толщиной поглощающего свет слоя 20 мм. По градуировочному графику находят массовую долю 2-нафтола в анализируемом продукте в процентах.

При получении результатов анализа выше 0,50% (верхняя точка градуировочного графика) определение повторяют с навеской 1,20 г и результаты анализа удваивают.

За результат анализа принимают среднее арифметическое результатов двух параллельных определений, абсолютное расхождение между которыми не превышает допускаемое расхождение, равное 0,05%.

Допускаемая абсолютная суммарная погрешность результата анализа ±0,06% при доверительной вероятности P=0,95.

4.4.2.1-4.4.2.3. (Измененная редакция, Изм. N 1, 2).

4.4.2.4. При разногласиях в оценке массовой доли 2-нафтола определение проводят по реакции сочетания с диазотированным n-нитроанилином.

(Введен дополнительно, Изм. N 2).

4.5. Определение массовой доли золы

Массовую долю золы определяют по ГОСТ 21119.10 прокаливанием. Допускается сжигание и обугливание проводить на электроплитке.

(Измененная редакция, Изм. N 2).

4.6. Определение массовой доли летучих веществ

Допускается применение импортной аппаратуры и лабораторной посуды по классу точности и реактивов по качеству не ниже отечественных.

Массовую долю летучих веществ определяют по ГОСТ 21119.1 методом высушивания нафтама-2 при (100±2)°С в термостате или под инфракрасной лампой.

(Измененная редакция, Изм. N 1, 2).

4.7-4.7.2. (Исключены, Изм. N 2).

4.8. Определение массовой доли остатка после просева порошкообразного нафтама-2.

Допускается применение импортной аппаратуры и лабораторной посуды по классу точности и реактивов по качеству не ниже отечественных.

4.8.1. Реактивы и оборудование

Вещества вспомогательные ОП-7 и ОП-10, растворы с массовой долей 5%, отфильтрованные от механических примесей.

Смачиватель НБ по ГОСТ 6867, раствор с массовой долей 5%, отфильтрованный от механических примесей.

Кисточка мягкая N 20.

Сито металлическое с сеткой 014К по ГОСТ 6613.

Весы лабораторные общего назначения по ГОСТ 24104 2-го класса точности с наибольшим пределом взвешивания 200 г.

Стаканчик для взвешивания по ГОСТ 25336.

4.8.2. Проведение анализа

Около 10,00 г нафтама-2 помещают в фарфоровый или стеклянный стакан вместимостью 150 см3, приливают 50 см3 раствора смачивателя НБ или вспомогательного вещества ОП-7 или ОП-10 и размешивают стеклянной палочкой в течение 5 мин. После чего суспензию количественно переносят на сито. Сито помещают под струю воды из водопроводного крана, на который надета предохранительная сетка 014К. Скорость пропускания воды 800-1000 см3 в 1 мин, расстояние крана или шланга от сита 10-15 см. При постоянном перемешивании кисточкой со скоростью 1-2 движения в секунду продукт просеивают под струей воды. Затем погружают дно сита в воду, налитую в кристаллизационную чашку, под которую подложена черная бумага. При этом уровень жидкости должен быть выше поверхности сетки на 15-20 мм.

Остаток продукта на сите слегка перемешивают в течение 10 с. После этого поднимают сито так, чтобы Вода стекала, и выливают ее из чашки; просеивают остаток на сите до тех пор, пока при смене воды в чашке не перестанут обнаруживаться частицы продукта. Затем сито с остатком сушат в течение 30 мин в сушильном шкафу при (100±2)°С. Остаток переносят с помощью кисточки в стаканчик для взвешивания или на часовое стекло и взвешивают (результат записывают с точностью до четвертого десятичного знака).

Допускается остаток количественно отфильтровывать (при разрежении) на взвешенный, предварительно высушенный до постоянной массы беззольный фильтр "белая лента", смывая его со дна сита на фильтр струей дистиллированной воды, сушить 1 ч при (100±2)°С и по охлаждении взвешивать (результат записывают с точностью до четвертого десятичного знака).

4.8-4.8.2. (Измененная редакция, Изм. N 1, 2).

4.8.3. Обработка результатов

Массовую долю остатка после просева (X1) в процентах вычисляют по формуле где m - масса навески нафтама-2, г;
m1 - масса стаканчика, г;

m2 - масса стаканчика с остатком, г.

За результат анализа принимают среднее арифметическое результатов двух параллельных определений, абсолютное расхождение между которыми не превышает допускаемое расхождение, равное 0,02%.

Допускаемая суммарная погрешность результата анализа ±0,01% при доверительной вероятности P=0,95.

4.9. Определение массовой доли пылевидного продукта в чешуированном нафтаме-2

Допускается применение импортной аппаратуры и лабораторной посуды по классу точности и реактивов по качеству не ниже отечественных.

4.9.1. Приборы

Сито с сеткой 014К по ГОСТ 6613.

Весы лабораторные общего назначения по ГОСТ 24104, 2-го класса точности с наибольшим пределом взвешивания 200 г.

Стаканчик для взвешивания по ГОСТ 25336.

4.8.3-4.9.1. (Измененная редакция, Изм.N 2).

4.9.2. Проведение анализа

Около 10,00 г нафтама-2 переносят на сито и просеивают в течение 3 мин покачиванием сита, делая одно колебание в секунду.

Пылевидный продукт, собранный на глянцевой поверхности, переносят в предварительно взвешенный стаканчик для взвешивания и взвешивают (результат записывают с точностью до четвертого десятичного знака).

(Измененная редакция, Изм.N 1, 2).

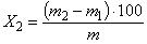
4.9.3. Обработка результатов

Массовую долю пылевидного продукта в чешуированном нафтаме-2 (X2) в процентах вычисляют по формуле где m - масса навески нафтама-2, г;
m1 - масса стаканчика для взвешивания, г;

m2 - масса стаканчика для взвешивания с пылевидным нафтамом-2, г.

За результат анализа принимают среднее арифметическое результатов трех параллельных определений, абсолютное расхождение между которыми не превышает допускаемое расхождение, равное 0,5%.

Суммарная погрешность результата анализа ±0,2% при доверительной вероятности P=0,95.

4.10. Определение массовой доли железа и его соединений, извлекаемых магнитом

Допускается применение импортной аппаратуры и лабораторной посуды по классу точности и реактивов по качеству не ниже отечественных.

4.9.3-4.10. (Измененная редакция, Изм. N 2).

4.10.1. Реактивы и оборудование

Ацетон по ГОСТ 2603.

Бумага фильтровальная лабораторная по ГОСТ 12026.

Вода дистиллированная по ГОСТ 6709.

Кисточка волосяная жесткая.

Магнит с остаточной индукцией 0,3-0,6 Тл.

Воронка Бюхнера 2 по ГОСТ 9147.

Весы лабораторные общего назначения по ГОСТ 24104 3-го класса точности с наибольшим пределом взвешивания 500 г.

Весы лабораторные общего назначения по ГОСТ 24104 2-го класса точности с наибольшим пределом взвешивания 200 г.

Калька (под тушь) по ГОСТ 892.

4.10.2. Проведение анализа

Около 50,0 г нафтама-2 помещают в стеклянный стакан вместимостью 500 см3, приливают 250 см3 ацетона и растворяют нафтам-2 при слабом нагревании на водяной бане. Раствор фильтруют при слабом разрежении через бумажный фильтр.

Стакан и осадок на фильтре тщательно промывают ацетоном в 2-3 приема по 10 см3; после чего частицы, оставшиеся на дне стакана, присоединяют к осадку, смывая их на фильтр струей дистиллированной воды из промывалки. Дополнительно промывают фильтр 10 см3 ацетона и сушат в течение 10 мин при (100±2)°С. Затем осторожно пинцетом переносят фильтр с осадком в фарфоровую чашку и извлекают из осадка частицы железа и его соединений магнитом, обернутым калькой, слегка касаясь поверхности фильтра.

Освобождая магнит от кальки, извлеченные частицы помещают на предварительно взвешенное часовое стекло и взвешивают (результат записывают с точностью до четвертого десятичного знака).

4.10.1, 4.10.2. (Измененная редакция, Изм. N 1, 2).

4.10.3. Обработка результатов

Массовую долю железа и его соединений, извлекаемые магнитом, (X3) в процентах вычисляют по формуле где m - масса навески нафтама-2, г;
m1 - масса часового стекла, г;

m2 - масса часового стекла с частицами, извлеченными магнитом, г.

За результат анализа принимают среднее арифметическое результатов двух параллельных определений, абсолютное расхождение между которыми не превышает допускаемое расхождение, равное 0,001%.

Суммарная погрешность результата анализа ±0,001% при доверительной вероятности P=0,95.

(Измененная редакция, Изм. N 2).

5. УПАКОВКА, МАРКИРОВКА, ТРАНСПОРТИРОВАНИЕ И ХРАНЕНИЕ

5.1. Упаковка - по ГОСТ 6732.3 - ГОСТ 6732.5.

Для упаковки нафтама-2 применяют трех-, четырех- и пятислойные бумажные мешки марки НМ по ГОСТ 2226, вставленные в мешки из прорезиненной ткани или в полиэтиленовые мешки по ГОСТ 17811.

Допускается упаковка в пяти-, шестислойные бумажные мешки марки ВМ по ГОСТ 2226, а также по согласованию с потребителем - в пяти-, шестислойные бумажные мешки марки НМ по ГОСТ 2226.

При перевозке мелкими отправками по железной дороге и для районов Крайнего Севера нафтам-2 упаковывают в трехслойные бумажные мешки по ГОСТ 2226, вставленные в фанерные барабаны вместимостью 50,66 и 93 дм3 по ГОСТ 9338.

Нафтам, предназначенный для экспорта, упаковывают по ГОСТ 26319.

5.2. Масса нетто нафтама-2 в мешках - 25-30 кг.

После загрузки бумажные мешки и мешки из прорезиненной ткани зашивают машинным способом, а полиэтиленовые мешки заваривают.

5.3. Маркировка - по ГОСТ 14192 с нанесением манипуляционных знаков "Беречь от нагрева" и "Беречь от влаги" и знака опасности по ГОСТ 19433 (класс 9, подкласс 9.1, шифр 9153).

5.4. Нафтам-2 транспортируют транспортом всех видов (кроме воздушного) в крытых транспортных средствах в соответствии с правилами перевозки грузов, действующими на транспорте каждого вида.

По железной дороге нафтам-2 отправляют повагонно и мелкими отправками. При повагонной отправке вагон загружают, максимально используя его вместимость (грузоподъемность).

5.5. Нафтам-2 хранят в упаковке изготовителя в крытых складских помещениях на подмостках на расстоянии не менее 0,5 м от сети и отопительных приборов.

Мешки укладывают в штабель высотой не более 10 мешков для размолотого и 5 мешков для чешуированного продукта.

Разд.5 (Измененная редакция, Изм. N 2).

6. ГАРАНТИИ ИЗГОТОВИТЕЛЯ

6.1. Изготовитель гарантирует соответствие нафтама-2 требованиям настоящего стандарта при соблюдении условий хранения и транспортирования.

6.2. Гарантийный срок хранения нафтама-2 - 4 мес со дня изготовления.

6.1, 6.2. (Измененная редакция, Изм. N 1).



официальное издание
М.: ИПК Издательство стандартов, 2001