Новости Нефтегазовая пром.
Выставки Наука и технология


Каучуки синтетические бутадиен-метилстирольный СКМС-30АРКМ-15 и бутадиен-стирольный ГОСТ 11138-78

Каучуки синтетические бутадиен-метилстирольный СКМС-30АРКМ-15       и бутадиен-стирольный СКС-30АРКМ-15. Технические условия            (с Изменениями N 1-6, с Поправкой) ГОСТ 11138-78 


ГОСТ 11138-78

Группа Л61


ГОСУДАРСТВЕННЫЙ СТАНДАРТ СОЮЗА ССР

     
     
КАУЧУКИ СИНТЕТИЧЕСКИЕ
БУТАДИЕН-МЕТИЛСТИРОЛЬНЫЙ СКМС-30АРКМ-15 
И БУТАДИЕН-СТИРОЛЬНЫЙ СКС-30АРКМ-15

     
Технические условия

     
Butadiene-methylstyrene synthetic rubber СКМС-30АРКМ-15 
and butadiene-styrene rubber СКС-30АРКМ-15. Specifications



ОКП 22 9435

Дата введения 1980-01-01

     
     
ИНФОРМАЦИОННЫЕ ДАННЫЕ

1. РАЗРАБОТАН И ВНЕСЕН Министерством химической и нефтеперерабатывающей промышленности СССР

РАЗРАБОТЧИКИ

О.В.Сигов, канд. хим. наук; Ю.В.Перина (руководитель темы); В.Н.Папков, канд. техн. наук; Г.П.Филипов, канд. техн. наук; О.А.Болотова

2. УТВЕРЖДЕН И ВВЕДЕН В ДЕЙСТВИЕ Постановлением Государственного комитета СССР по стандартам от 26.12.78 N 3477

3. ВЗАМЕН ГОСТ 11138-72

4. ССЫЛОЧНЫЕ НОРМАТИВНО-ТЕХНИЧЕСКИЕ ДОКУМЕНТЫ

Обозначение НТД, на который дана ссылка

Номер пункта, подпункта

ГОСТ 12.1.007-76

2.3

ГОСТ 39-79

4.8.1

ГОСТ 40-80

4.3.1.1.

ГОСТ 127-76

4.3.1.1.

ГОСТ 202-84

4.3.1.1.

ГОСТ 269-66

4.4

ГОСТ 270-75

4.3.2

ГОСТ 1770-74

4.8.1; 4.9.1

ГОСТ 2226-88

5.1

ГОСТ 3118-77

4.8.1

ГОСТ 3760-79

4.9.1

ГОСТ 4147-74

4.9.1

ГОСТ 4165-78

4.9.1

ГОСТ 4197-74

4.8.1

ГОСТ 4328-77

4.8.1

ГОСТ 4461-77

4.9.1

ГОСТ 4919.1-77

4.8.1; 4.9.1

ГОСТ 5789-78

4.6; 4.8.1; 4.9.1

ГОСТ 6484-64

4.3.1.1.

ГОСТ 6709-72-->ГОСТ 6709-72

4.8.1

ГОСТ 7087-75

4.3.1.1.

ГОСТ 7885-86

4.3.1.1.

ГОСТ 8864-71

4.9.1

ГОСТ 10201-75

4.2а.2; 4.2а.3

ГОСТ 10354-82

5.1; 5.4

ГОСТ 10722-76

4.2.2.2; 4.2.3

ГОСТ 14192-77

5.5

ГОСТ 14333-79

4.2.1

ГОСТ 17299-78

4.8.1; 4.9.1

ГОСТ 18300-87

4.8.1; 4.9.1

ГОСТ 19338-90

4.7

ГОСТ 19816.2-74

4.6

ГОСТ 19816.4-91

4.5

ГОСТ 22019-85

2.3

ГОСТ 24654-81

4.11

ГОСТ 24919-91

4.8.3; 4.10

ГОСТ 25336-82

4.8.1; 4.9.1

ГОСТ 27109-86

4.1; 4.2.2.1

ГОСТ 27110-86

4.4

5. Ограничение срока действия снято Постановлением Госстандарта СССР от 26.12.91 N 2165

6. ПЕРЕИЗДАНИЕ (июль 1996 г.) с Изменениями N 1, 2, 3, 4, 5, 6, утвержденными в июне 1983 г., июне 1984 г., марте 1985 г., июне 1986 г., марте 1989 г., декабре 1991 г. (ИУС 9-83, 9-84, 6-85, 9-86, 6-89, 4-92)

ВНЕСЕНА поправка, опубликованная в ИУС N 11, 2001 год

Поправка внесена изготовителем базы данных

Настоящий стандарт распространяется на синтетические каучуки бутадиен-метилстирольный СКМС-30АРКМ-15 и бутадиен-стирольный СКС-30АРКМ-15, получаемые совместной полимеризацией бутадиена с -метилстиролом или со стиролом в эмульсии при температуре 4-8 °С с применением в качестве эмульгатора смеси мыл диспропорционированной канифоли и синтетических жирных кислот и содержащие высокоароматическое масло ПН-6К.

Для стабилизации каучука применяется антиоксидант ВС-1.

Настоящий стандарт устанавливает требования к каучукам СКМС-30АРКМ-15 и СКС-30АРКМ-15, изготовляемым для народного хозяйства и экспорта.

Требования пп.1, 8, 9 табл.1 настоящего стандарта являются обязательными.

(Измененная редакция, Изм. N 5, 6).

1. ТЕХНИЧЕСКИЕ ТРЕБОВАНИЯ

1.1. Каучуки должны быть изготовлены в соответствии с требованиями настоящего стандарта по технологическим регламентам, утвержденным в установленном порядке.

1.2. Каучуки должны выпускаться двух групп: 1 и 2.

1.3. Каучуки должны соответствовать требованиям и нормам, указанным в табл.1.

Таблица 1

Наименование показателя

Норма для каучука

СКМС-30 АРКМ-15

СКС-30 АРКМ-15

СКМС-30 АРКМ-15 
и СКС-30 АРКМ-15

Высший сорт

Первый сорт

1. Вязкость по Муни МБ 1+4 (100 °С):

группа 1

37-44

36-44

группа 2

45-54

45-54

2. Условная прочность при растяжении, МПа (кгс/см2), не менее:

группа 1

24,0 (245)

23,5 (240)

группа 2

25,0 (255)

24,5 (250)

3. Относительное удлинение при разрыве, %

550-750

550-750

4. (Исключен, Изм. N 5).

5. Эластичность по отскоку, %, не менее

28

30

27

6. Массовая доля металлов, %, не более:

меди

0,00015

0,00015

железа

0,003

0,005

7. Массовая доля золы, %, не более

0,6

0,6

8. Потеря массы при сушке, %, не более

0,35

0,40

9. Массовая доля антиоксиданта ВС-1, % 

0,15-0,35

0,15-0,35

10. Массовая доля органических кислот, %

5,4-6,7

5,0-6,4

5,0-6,7

11. Массовая доля мыл органических кислот, %, не более

0,25

0,30

12. Массовая доля масла, %

14,5-17,0

14-17

13. Массовая доля связанного второго мономера, %

-метилстирола

21-24

-

21-24

стирола

-

22-25

22-25


Примечание. По требованию потребителя каучук изготовляют с содержанием 1,0-1,5% нафтама-2 вместо антиоксиданта ВС-1.

(Измененная редакция, Изм. N 2, 3, 4, 5).

1.4. Каучуки не должны содержать посторонних включений, включений структурированного и влажного полимера.

1.5. Каучуки должны быть однородными - показатель вязкости по Муни каждого брикета поставляемой партии каучука, в том числе и предназначенного для экспорта, должен соответствовать нормам, установленным для 1 и 2-й групп каучука, и не должен отличаться в пределах одной партии более чем на 7 единиц, а с 1 января 1986 г. - на 6 единиц для каучука высшего сорта и более чем на 8 единиц для каучука первого сорта.

(Измененная редакция, Изм. N 2, 5).

1.6. Каучуки выпускают в виде брикетов.

1.7. Количество вальцованного каучука должно составлять не более 2% от общего объема выпускаемой продукции.

Коды ОКП для марок каучука по Общесоюзному классификатору промышленной и сельскохозяйственной продукции должны соответствовать указанным в табл.1а.

Таблица 1а

Марка каучука

Код ОКП для каучука

брикетированного

вальцованного

Высший сорт

Первый сорт

Каучук СКМС-30 АРКМ-15:

группа 1

22 9435 0202

22 9435 0201

22 9435 0205

группа 2

22 9435 0204

22 9435 0203

22 9435 0206

Каучук СКС-30 АРКМ-15:

группа 1

22 9435 0102

22 9435 0101

22 9435 0105

группа 2

22 9435 0104

22 9435 0103

22 9435 0106


(Измененная редакция, Изм. N 1, 5).

1.8. Каучуки с вязкостью по Муни группы 1 (табл.1) высшего сорта должны иметь нормы жесткости по Дефо 5,30-6,50 Н и эластического восстановления - не более 2,8 мм, каучуки первого сорта - жесткости по Дефо 5,00-6,50 Н и эластического восстановления - не более 2,8 мм.

Каучуки с вязкостью по Муни группы 2 высшего и первого сортов должны иметь нормы жесткости по Дефо 6,51-8,00 Н и эластического восстановления - не более 3,2 мм.

(Измененная редакция, Изм. N 3, 4).

2. ТРЕБОВАНИЯ БЕЗОПАСНОСТИ

2.1. Каучуки воспламеняются и горят интенсивно с выделением густого черного дыма. Показатели пожарной опасности каучуков приведены в табл.2.

Таблица 2

Марка каучука

Температура, °С

воспламенения

самовоспламенения

СКМС-30АРКМ-15

285

336

СКС-30АРКМ-15

290

337


(Измененная редакция, Изм. N 1).

2.2. Средства пожаротушения - Вода со смачивателем или воздушно-механическая пена средней кратности.

2.3. При повышенной температуре, а также при переработке каучук обладает слабым запахом остаточного мономера - стирола или -метилстирола. Содержание незаполимеризованного мономера в товарном каучуке не превышает 0,05%, метод определения по ГОСТ 22019.

-метилстирол и стирол обладают общетоксичным действием, по степени воздействия на организм относятся к 3-му классу опасности по ГОСТ 12.1.007. Предельно допустимая концентрация (ПДК) паров -метилстирола в воздухе рабочей зоны производственных помещений - 5 мг/м3, стирола - 10 мг/м3.

(Измененная редакция, Изм. N 5, 6).

3. ПРАВИЛА ПРИЕМКИ

3.1. Каучук принимают партиями. Партией считают каучук одной марки в количестве не менее 20 т, сопровождаемый одним документом о качестве.

Из вальцованного каучука составляют отдельные партии.

Документ о качестве должен содержать:

товарный знак предприятия-изготовителя;

наименование и марку каучука;

дату изготовления;

номер партии;

массу (нетто);

группу каучука;

число мест;

результаты проведенных испытаний;

обозначение настоящего стандарта.

Кроме того, должны быть указаны минимальное, среднее и максимальное значения показателя вязкости по Муни и наименование антиоксиданта.

В документе о качестве, сопровождающем партию вальцованного каучука, должно быть указано "вальцованный".

Товаросопроводительная документация на каучук, изготовляемый на экспорт, должна соответствовать требованиям заказа-наряда внешнеторгового объединения.

(Измененная редакция, Изм. N 1, 3).

3.2. Для проверки качества каучука на соответствие требованиям настоящего стандарта проводят приемо-сдаточные испытания по обязательным и периодические испытания по рекомендуемым показателям.

(Измененная редакция, Изм. N 6).

3.3. Приемо-сдаточные испытания проводят по следующим показателям: вязкость по Муни, потеря массы при сушке и массовая доля антиоксиданта.

Периодические испытания проводят по показателям: условная прочность при растяжении, относительное удлинение при разрыве, эластичность по отскоку, массовая доля органических кислот и их мыл, массовая доля масла, массовая доля связанного второго мономера, жесткость и эластическое восстановление - на каждой 10-й партии. Массовую долю золы и металлов определяют не реже двух раз в год.

(Измененная редакция, Изм. N 5).

3.4. При получении неудовлетворительных результатов испытаний хотя бы по одному из показателей, по нему проводят повторные испытания на удвоенной выборке от партии.

Результаты повторных испытаний распространяются на всю партию.

3.5. При получении неудовлетворительных результатов периодических испытаний изготовитель переводит испытание по данному показателю в приемо-сдаточные до получения положительных результатов не менее чем на десяти партиях подряд.

(Введен дополнительно, Изм. N 5).

4. МЕТОДЫ ИСПЫТАНИЙ

4.1. Отбор и подготовка проб - по ГОСТ 27109. 

(Измененная редакция, Изм. N 2, 5).

4.1.1. Для проведения химических и физико-механических испытаний на соответствие требованиям табл.1 от любой части брикета или мешка отбирают 3 кг каучука.

4.1.2. (Исключен, Изм. N 6).

4.1.3. Пробы, отобранные от каучука, хранящегося при температуре ниже 0 °С, перед подготовкой к испытаниям выдерживают не менее 24 ч при температуре (23±2) °С.

4.1.4. Отобранные пробы каучука хранят до окончания испытаний при температуре не выше 30 °С в месте, защищенном от воздействия атмосферных осадков и прямого солнечного света.

4.2а. Определение жесткости по Дефо и эластического восстановления.

4.2а.1. Образец для испытания заготовляют из каучука, отобранного по п.4.1, путем его прессования с предварительным вальцеванием. Для этого 150 г каучука вальцуют в течение 1 мин на лабораторных вальцах с тремя подрезами, после чего каучук снимают и пропускают один раз между валками вальцев, не меняя зазора. Характеристика вальцев приведена в п.4.2.1. Температура поверхности валков 70-80 °С и зазор между ними должен быть таким, чтобы толщина листа каучука, измеренная непосредственно после обработки его на вальцах, была 0,50-0,75 мм.

(Измененная редакция, Изм. N 4).

4.2а.2. Из шкурки каучука после ее охлаждения штанцевым ножом вырезают пластинки диаметром на 2-3 мм меньше, чем диаметр формовочного кольца. Вырезанные пластинки каучука, собранные в стопу, помещают в формовочные толстостенные металлические кольца высотой около 14 мм и диаметром не более 70 мм. При этом не допускается наличие складок, в которых может остаться воздух.

Масса заготовки должна быть на 15-20% выше теоретической массы каучука в объеме формовочного кольца.

Формовочные кольца с пластинками каучука помещают между металлическими листами.

Предварительно металлические листы и формовочные кольца с каучуком прогревают, прокладывают целлофаном или смазывают мыльным раствором, силиконовой или другой смазкой.

Формовочные кольца, накрытые листами, помещают на плиты вулканизационного пресса, нагретые до температуры (105±1) °С, и прессуют.

При прессовании плиты вулканизационного пресса следует поднимать медленно, чтобы удалить воздух, находящийся между пластинками каучука. Допускается трехкратная подпрессовка. Прессование проводят в течение 15 мин при удельном давлении на формовочное кольцо (150±10) кгс/см2.

По окончании прессования каучук в виде шайб вынимают из формовочных колец и выдерживают не менее 1 ч при температуре (20±5) °С.

Из шайб после их охлаждения изготовляют образцы в соответствии с требованиями ГОСТ 10201 и передают их на испытание.

4.2а.3. Жесткость по Дефо и эластическое восстановление каучука определяют по ГОСТ 10201.

За жесткость по Дефо и эластическое восстановление партии каучука принимают среднее арифметическое результатов испытания отдельных проб.

4.2а.-4.2а.3. (Введены дополнительно, Изм. N 2).

4.2. Определение вязкости по Муни 

4.2.1. Аппаратура и материалы:

вальцы ЛБ 320 по ГОСТ 14333 с фрикцией от 1:1,24 до 1:1,27 и скоростью вращения медленного валка 23-27,5 об/мин; 
вискозиметр ротационный; 

нож штанцевый для вырубки образцов; 

секундомер. 

4.2.2. Подготовка к испытанию

4.2.2.1. Установка зазора между валками (по свинцу) - по ГОСТ 27109.

(Измененная редакция, Изм. N 6).

4.2.2.2. Заготовка образцов

Образец для испытания заготовляют из каучука, отобранного по п.4.1, с предварительным вальцеванием. Для этого 250 г каучука десятикратно пропускают через лабораторные вальцы. При этом скорость вращения переднего валка должна быть 23-27,5 об/мин, температура поверхности валков (50±5) °С и зазор между ними (1,0±0,2) мм (по свинцу). Шкурку каучука, полученную после первого пропуска и каждого последующего до девятого включительно, складывают вдвое и подают боковой стороной в зазор между валками. В десятый раз шкурку пропускают через вальцы в развернутом виде.

Из шкурки каучука после ее охлаждения на воздухе не менее 30 мин заготовляют образцы по ГОСТ 10722 и передают их на испытание.

Толщину образцов определяют как среднюю величину.

Допускается подрезка образца каучука до нужной толщины.

(Измененная редакция, Изм. N 6).

4.2.3. Проведение испытания

Вязкость каучука определяют по ГОСТ 10722 на большом роторе при температуре 100 °С через 4 мин от начала вращения ротора. Время предварительного прогрева образца в приборе составляет 1 мин.

4.2.4. Обработка результатов

За вязкость по Муни партии каучука принимают среднее арифметическое результатов испытания отдельных проб при условии соответствия их требованиям табл.1.

4.3. Определение условной прочности при растяжении, относительного удлинения при разрыве

(Измененная редакция, Изм. N 5).

4.3.1. Подготовка к испытанию

4.3.1.1. Приготовление резиновой смеси и ее вулканизация

От пробы, отобранной по п.4.1, берут 300 г каучука и готовят резиновую смесь следующего состава:

Каучук 

100,0 г

Кислота стеариновая техническая (стеарин) по ГОСТ 6484*, твердая

2,0 г

Белила цинковые сухие по ГОСТ 202, марка БЦО-М 

5,0 г

2,2'-дибензтиазолдисульфид (альтакс) по ГОСТ 7087, высшего или первого сортов 

1,5 г

Гуанид Ф по ГОСТ 40 

0,3 г

Углерод технический по ГОСТ 7885, марка К 354 

50,0 г

Сера техническая по ГОСТ 127, сорт 9995 или 9990 

2,0 г

Итого: 160,8 г

______________
* На территории Российской Федерации действует ГОСТ 6484-96. - Примечание изготовителя базы данных.

Примечание. Технический углерод предварительно просушивают в сушильном шкафу при температуре (100±5) °С не менее 2 ч на противне слоем не более 10 мм. Высушенный технический углерод хранят в закрытой влагонепроницаемой посуде.


Каучук смешивают с ингредиентами на вальцах (п.4.2) при температуре поверхности валков (50±5) °С по режиму, указанному в табл.3.

Таблица 3

Операции смешения

Время начала операции смешения 
с момента подачи каучука на вальцы, мин

Время обработки, мин

1. Вальцевание каучука при зазоре 1,2-1,4 мм

0

5

2. Подрезка* смеси 3/4 на  валка с каждой стороны через 30 с

-

-

3. Введение  1/2 части сажи

5

5

4. Подрезка смеси на 3/4 валка по одному разу с каждой стороны

-

-

5. Введение 1/2 части сажи и сажи с противня

10

5

6. Подрезка смеси на 3/4 валка по одному разу с каждой стороны

-

-

7. Введение стеарина

15

2

8. Подрезка смеси на 3/4 валка по одному разу с каждой стороны

-

-

9. Введение цинковых белил, дибензтиазолдисульфида, дифенилгуанидина и серы

17

5

10. Подрезка смеси на 3/4 валка по три раза с каждой стороны

22

2

11. Срезка смеси и сдвиг валков до зазора 0,6-0,8 мм. Пропуск смеси при этом зазоре рулоном (вертикально) шесть раз

24

2

12. Листование смеси до толщины (2,1±0,2) мм

26

1

13. Снятие смеси с вальцов на 28 мин

-

-

_______________
* При последующем введении ингредиентов величину зазора регулируют так, чтобы между валками находился хорошо обрабатываемый запас смеси.


Ингредиенты вводят в смесь равномерно по всей длине валка. Если в запасе имеются ингредиенты, не вошедшие в каучук, смесь не подрезают.

(Измененная редакция, Изм. N 1, 5, 6).

4.3.1.2. Заготовка пластин

Полученные листы резиновой смеси выдерживают перед вулканизацией при комнатной температуре не менее 4 ч. Допускается перемешивание резиновой смеси перед вулканизацией в течение 3 мин при температуре поверхности валков (50±5) °С. Затем листы разрезают на пластины и помещают в вулканизационные формы, нагретые предварительно в прессе до (143±1) °С.

На пластинках должно быть указано направление вальцевания.

Формы закрывают, помещают в нагретый до температуры (143±1) °С пресс и вулканизуют резиновую смесь при температуре (143±1) °С и удельном давлении на форму не менее 7,0 МПа (70 кгс/см) в течение 60 и 80 мин.

После вулканизации пластины вынимают из формы, тщательно осматривают, при отсутствии видимых дефектов охлаждают на воздухе не менее 30 мин и передают на испытание.

4.3.2. Проведение испытания

Условная прочность при растяжении, относительное удлинение при разрыве определяют по ГОСТ 270 на образцах типа 1 толщиной (2,00±0,2) мм.

Показатели вулканизатов должны соответствовать требованиям табл.1 при вулканизации в течение 60 или 80 мин.

4.3.1.2, 4.3.2. (Измененная редакция, Изм. N 5).

4.4. Определение эластичности по отскоку

Из листа резиновой смеси (п.4.3.1) цилиндрическим ножом вырубают шайбу и вулканизируют образцы в формах в оптимальное (из указанных в п.4.3.2) время данной партии каучука. Форма и размеры заготовок должны соответствовать требованиям ГОСТ 27110.

Эластичность определяют по ГОСТ 27110 и ГОСТ 269.

4.5. Массовую долю золы определяют по ГОСТ 19816.4.

Расхождение между параллельными определениями не должны превышать 0,1%.

4.6. Массовую долю меди и железа определяют по ГОСТ 19816.2, при этом при определении массовой доли меди вместо хлороформа и четыреххлористого углерода при экстрагировании используется Толуол (ГОСТ 5789).

4.7. Определение потери массы при сушке

Потерю массы при сушке определяют по ГОСТ 19338.

За результат испытания принимают среднее значение двух параллельных определений, расхождения между которыми не должны превышать 0,05%.

(Измененная редакция, Изм. N 6).

4.8. Определение массовой доли нафтама-2, органических кислот и мыл органических кислот

4.8.1. Реактивы, растворы и аппаратура:

n-нитроанилин солянокислый (реактив), 0,2%-ный раствор;

смесь спиртотолуольная; готовят смешением 70 объемов этилового спирта и 30 объемов толуола;

спирт этиловый технический (гидролизный) по ГОСТ 17299 или спирт этиловый ректификованный технический по ГОСТ 18300;

Толуол по ГОСТ 5789;

Вода дистиллированная по ГОСТ 6709;

кислота соляная по ГОСТ 3118, концентрированная и 0,05 моль/дм3 раствор;

калия гидроокись, х.ч. или ч.д.а., 0,1 моль/дм3 раствор или

натрия гидроокись по ГОСТ 4328, 0,1 моль/дм3 раствор;

Натрий азотистокислый по ГОСТ 4197, х.ч., 0,1%-ный раствор;

n-нитрофенилдиазоний хлористый, 0,1%-ный водный раствор;

нафтам-2 по ГОСТ 39;

бромфеноловый синий (индикатор), приготовленный по ГОСТ 4919.1;

фенолфталеин (индикатор), приготовленный по ГОСТ 4919.1;

прибор для экстрагирования - колба круглодонная по ГОСТ 25336, вместимостью 100-150 см3 с пришлифованным воздушным холодильником;

колбы мерные по ГОСТ 1770, вместимостью 50 и 100 см3;

цилиндры мерные по ГОСТ 1770, вместимостью 25 и 50 см3;

воронки стеклянные по ГОСТ 25336;

пипетки вместимостью 1, 2 и 5 см3;

микробюретки вместимостью 2 и 5 см3;

колбы конические по ГОСТ 25336, вместимостью 250 см3;

стекла часовые или тарелочки из алюминиевой фольги диаметром 40-60 мм;

плитка электрическая;

фотоэлектроколориметр типа ФЭК-56 или ФЭК-56М;

баня песчаная;

электротермостат;

лампа инфракрасного излучения.

(Измененная редакция, Изм. N 1, 2, 6).

4.8.2. Подготовка к анализам

4.8.2.1. Приготовление 0,2%-ного раствора солянокислого -нитроанилина

2 г n-нитроанилина, взвешенного с погрешностью не более 0,02 г, помещают в химический стакан, заливают 20 см3 концентрированной соляной кислоты и тщательно растирают стеклянной палочкой желтые кристаллы. Затем добавляют при перемешивании дистиллированную воду до полного растворения кристаллов. Полученный раствор разбавляют водой до 1000 см3.

4.8.2.2. Приготовление 0,1%-ного раствора хлористого -нитрофенилдиазония.

0,1%-ный раствор азотистокислого натрия смешивают перед анализом с 0,2%-ным раствором солянокислого n-нитроанилина в соотношении 1:1 по объему в количестве, необходимом для анализа.

(Измененная редакция, Изм. N 1).

4.8.2.3. Приготовление очищенного нафтама-2

10 г нафтама-2 помещают в колбу, добавляют 25 см3 этилового спирта. Затем колбу присоединяют к воздушному холодильнику и помещают в горячую воду. После того, как раствор закипит, колбу отсоединяют и горячий раствор фильтруют под вакуумом через воронку Бюхнера в склянку Бунзена. Содержимое склянки Бунзена переносят в стакан, помещенный в холодную воду. После выпадения кристаллов нафтама-2 спирт сливают, а кристаллы растворяют в 20 см3 спирта, повторяя операцию нагревания без фильтрования. Выпавшие кристаллы переносят на фильтровальную бумагу и сушат на воздухе.

4.8.2.4. Приготовление стандартного раствора нафтама-2

0,1 г очищенного нафтама-2 растворяют в мерной колбе в 100 см3 этилового спирта, 10 см3 раствора переносят пипеткой в другую мерную колбу вместимостью 100 см3 и доливают до метки этиловым спиртом.

1 см3 данного раствора должен содержать 0,0001 г нафтама-2.

4.8.3. Определение массовой доли спирто-толуольного экстракта

Определение массовой доли спирто-толуольного экстракта - по ГОСТ 24919.

(Измененная редакция, Изм. N 2). 

4.8.3.1-4.8.3.3 (Исключены, Изм. N 2)

4.8.4. Построение градуировочного графика для определения нафтама-2

В мерные колбы вместимостью 50 см3 из микробюретки с ценой деления 0,01 см3 наливают 0,5; 1,0; 1,5; 2,0 и 2,5 см3 стандартного раствора нафтама-2, добавляют в них по 20 см3 этилового спирта и по 2 см3 0,1%-ного раствора хлористого n-нитрофенилдиазония и после перемешивания оставляют на 10 мин, затем колбы доливают до метки этиловым спиртом.

После перемешивания полученные растворы колориметрируют на фотоэлектроколориметре в кюветах с толщиной поглощающего свет слоя жидкости 30 мм с зеленым светофильтром при длине волны 540 нм.

Для сравнения в другую кювету наливают смесь 2 см3 раствора хлористого n-нитрофенилдиазония и 48 см3 этилового спирта, приготовленную в мерной колбе.

Градуировочный график строят, откладывая на оси абсцисс количество нафтама-2 в граммах, а на оси ординат - показания прибора.

4.8.5. Определение массовой доли нафтама-2 в экстракте каучука

4.8.5.1. 1 см3 экстракта - переносят в мерную колбу вместимостью 50 см3, добавляют 20 см3 спирта и 2 см3 раствора хлористого n-нитрофенилдиазония и после перемешивания оставляют на 10 мин в темноте. Затем содержимое доводят до метки этиловым спиртом, перемешивают и полученный раствор колориметрируют на фотоэлектроколориметре с зеленым светофильтром при длине волны 540 нм в кювете с толщиной поглощающего свет слоя жидкости 30 мм. В кювету сравнения помещают смесь 2 см3 раствора n-нитрофенилдиазония и 48 см3 этилового спирта.

4.8.5.2. Обработка результатов

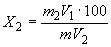
Массовую долю нафтама-2 (X2) в процентах вычисляют по формуле где m2 - количество нафтама-2, найденное по градуировочному графику, г; 
       - навеска каучука, соответствующая взятому объему экстракта, г;

       V2 - объем экстракта, взятый для колориметрирования, см3;

       V1 - объем экстракта каучука, см3.

За результат испытания принимают среднее значение двух параллельных определений, расхождения между которыми не должны превышать 0,2%.

4.8.6. Определение массовой доли органических кислот

Измеренный объем остатка экстракта от одного из параллельных опытов вливают в каноническую колбу, добавляют 7-8 капель индикатора фенолфталеина и титруют 0,1 моль/дм3 раствором гидроокиси калия или гидроокиси натрия из микробюретки до появления розового окрашивания. 

Массовую долю органических кислот (X3) в процентах вычисляют по формуле где V - объем точно 0,1 моль/дм3 раствора щелочи, израсходованный на титрование пробы, см3
     V1 - объем точно 0,1 моль/дм3 раствора щелочи, израсходованный на титрование контрольного опыта (такого же объема спиртотолуольной смеси), см3;

   0,0320 - количество органической кислоты (условно расчет ведут на Канифоль и СЖК в соотношении 4:1), соответствующее 1 см3 точно 0,1 моль/дм3 раствора щелочи, г; 

      m - навеска каучука, соответствующая взятому объему экстракта, г.

За результат испытания принимают среднее значение двух определений, расхождения между которыми не должны превышать 0,3%. 

4.8.7. Определение массовой доли мыл органических кислот 

Измеренный объем остатка экстракта от второй параллельной навески наливают в коническую колбу вместимостью 250 см3, добавляют 2-3 капли индикатора бромфенолового синего и титруют из микробюретки 0,05 моль/дм3 раствором соляной кислоты.

Массовую долю мыл органических кислот (X4) в процентах вычисляют по формуле где V - объем точно 0,05 моль/дм3 раствора кислоты, израсходованный на титрование пробы, см3;
      V1- объем точно 0,05 моль/дм3 раствора кислоты, израсходованный на титрование контрольного опыта (такого же объема спиртотолуольной смеси), см3;

     0,0179 - количество мыла органических кислот (условно расчет ведут на калиевое мыло органических кислот), соответствующее 1 см3 0,05 моль/дм3 раствора соляной кислоты; 

       m - навеска каучука, соответствующая взятому объему экстракта, г.

За результат испытания принимают среднее значение двух параллельных определений, расхождения между которыми не должны превышать 0,05%.

4.8.6, 4.8.7. (Измененная редакция, Изм. N 5).

4.9. Определение массовой доли антиоксиданта ВС-1

4.9.1. Аппаратура, реактивы и растворы:

спектрофотометр или фотоэлектроколориметр;

кюветы стеклянные толщиной поглощающего слоя 20 мм;

прибор для экстрагирования - колба круглодонная по ГОСТ 25336, вместимостью 100-150 см3 с пришлифованным воздушным холодильником длиной 1 м, диаметром 10 мм;

колбы мерные по ГОСТ 1770, вместимостью 25, 100 и 1000 см3;

цилиндры мерные по ГОСТ 1770, вместимостью 50 и 250 см3;

пипетки вместимостью 1 и 10 см3;

смесь спиртотолуольная: смешивают 70 объемов спирта и 30 объемов толуола;

спирт этиловый технический по ГОСТ 17299 или

спирт этиловый ректификованный технический по ГОСТ 18300;

Толуол по ГОСТ 5789;

железо хлорное по ГОСТ 4147;

раствор спиртовой хлорного железа;

0,5 г хлорного железа FeCl3·6H2O взвешивают с погрешностью ±0,001 г, растворяют в 200 см3 этилового спирта и перемешивают;

кислота азотная по ГОСТ 4461, концентрированная;

аммиак водный по ГОСТ 3760, 25%-ный водный раствор;

конго красный (индикатор), приготовленный по ГОСТ 4919.1;

диэтилдитиокарбамат натрия по ГОСТ 8864, 0,1%-ный водный раствор;

Медь сернокислая по ГОСТ 4165.

Стандартный раствор сернокислой меди:

0,3928 г сернокислой меди взвешивают с погрешностью не более 0,0002 г и растворяют в мерной колбе вместимостью 1000 см3 в дистиллированной воде (раствор А). Полученный раствор А разбавляют водой (1:10), при этом содержание меди должно составлять 0,00001 г/см(раствор Б).

Контрольный раствор хлорного железа в спиртотолуольной смеси:

1 см3 спиртового раствора хлорного железа вносят в мерную колбу вместимостью 50 см3, содержимое доводят спиртотолуольной смесью до метки и перемешивают.

(Измененная редакция, Изм.N 6).

4.9.2. Построение градуировочного графика

В делительную воронку вливают 50 см3 воды, вводят пипеткой 10 см3 стандартного раствора сернокислой меди (раствор Б), добавляют 20 капель концентрированной азотной кислоты, бросают кусочек бумаги конго красный и прибавляют по каплям раствор аммиака до перехода синей окраски бумаги конго в красную.

После этого вливают еще 1 см3 раствора аммиака и 15 см3 раствора диэтилдитиокарбамата натрия.

Воронку закрывают стеклянной или корковой пробкой и встряхивают в течение 2 мин, после чего вливают 40 см3 толуола и снова встряхивают в течение 4-5 мин.

После разделения слоев нижний слой сливают в стакан, а верхний через горло воронки переводят в колбу вместимостью 100 см3, следя за тем, чтобы в нее не попали капли воды. Затем нижний слой из стакана переводят снова в ту же делительную воронку и повторяют экстрагирование с 40 см3 толуола, встряхивая воронку в течение 2-3 мин.

Верхний слой (как описано выше) сливают в мерную колбу и недостающий до метки объем доливают толуолом до метки.

Полученный таким образом окрашенный раствор содержит 0,000001 г меди в 1 см3 раствора.

Для построения градуировочного графика берут пипетками 5, 10, 15, 20 и 25 см3 окрашенного толуольного раствора, наливают в мерные колбы вместимостью 25 см3, доливают до метки толуолом и фотометрируют на спектрофотометре или фотоэлектроколориметре при длине волны 420 нм в кюветах с толщиной поглощающего свет слоя жидкости 20 мм.

В качестве стандартного раствора применяют Толуол.

Для построения градуировочного графика каждую точку находят дважды, а если между этими определениями наблюдается большое расхождение, то определение проводят третий раз и для кривой берут среднее значение из двух близких показаний.

Строят градуировочный график, откладывая по оси ординат показания прибора, а по оси абсцисс - количество антиоксиданта ВС-1 в граммах, полученное путем умножения концентрации меди в граммах на коэффициент пересчета, равный 61,8.

4.9.3. Проведение испытания

В мерную колбу вместимостью 25 см3 наливают около 15 см3 экстракта, вносят 0,5 см3 спиртового раствора хлорного железа, перемешивают и объем доводят экстрактом до метки. После встряхивания полученный раствор фотометрируют на спектрофотометре или фотоэлектроколориметре при длине волны 420 нм в кюветах с толщиной поглощающего свет слоя жидкости 20 мм.

В кювету сравнения наливают экстракт каучука без хлорного железа. Из полученного значения оптической плотности окрашенного экстракта вычитают оптическую плотность контрольного раствора хлорного железа, определяемую для каждой вновь приготовленной спиртотолуольной смеси в кюветах с толщиной поглощающего свет слоя жидкости 20 мм (относительно спиртотолуольной смеси).

По величине разности оптических плотностей по градуировочному графику, построенному по п.4.9.2, находят количество антиоксиданта ВС-1 в граммах.

4.9.4. Обработка результатов

Массовую долю антиоксиданта ВС-1 в каучуке (X5) в процентах вычисляют по формуле где m3 - масса антиоксиданта ВС-1, найденная по градуировочному графику, г; 
       m - навеска каучука, г.

За результат испытания принимают среднее арифметическое значение двух определений, расхождения между которыми не должны превышать 0,05%.

4.10. Определение массовой доли масла

Определение массовой доли масла по ГОСТ 24919 с использованием при вычислении результатов анализа содержания органических кислот и мыл органических кислот, определяемых по пп.4.8.6 и 4.8.7 настоящего стандарта.

(Измененная редакция, Изм. N 2).

4.11. Определение массовой доли связанного стирола и -метилстирола проводят по ГОСТ 24654, при этом подготовленную шкурку каучука выдерживают в рефрактометре для достижения заданной температуры не менее 5 мин.

При определении допускается:

охлаждение прессованной шкурки в эксикаторе;

изготовление шкурки на микровальцах, при этом каучук, высушенный в соответствии с требованиями ГОСТ 24654, вальцуют в течение 20 мин при (50±5) °С и снимают с валков в виде шкурки толщиной 0,5-0,7 мм;

определение связанного -метилстирола при температуре (20±0,1) °С.

(Измененная редакция, Изм. N 1, 5).

4.11.1-4.11.2.5. (Исключены, Изм. N 1).

4.12. Наличие включений влажного полимера характеризует показатель "потеря массы при сушке". Пробу каучука отбирают от любого места брикета.

(Введен дополнительно, Изм. N 5).

5. УПАКОВКА, МАРКИРОВКА, ТРАНСПОРТИРОВАНИЕ И ХРАНЕНИЕ

5.1. Брикеты каучука упаковывают в два слоя полиэтиленовой пленки, один из которых маркирован, марок М, Т, Н толщиной 0,050 мм по ГОСТ 10354. Сварной шов упаковки должен быть по всему периметру качественным и без разрывов, за исключением мест для удаления воздуха, предусмотренных конструкцией сварочного аппарата.

Затем брикеты укладывают в ящичный поддон или контейнер в количестве не более 500 кг или в четырехслойные бумажные мешки по ГОСТ 2226.

Брикеты каучука по требованию потребителя упаковывают в полиэтиленовую пленку толщиной 0,050 мм, а затем в полиэтиленовый и четырехслойный бумажный мешок или в контейнер.

Каучук, предназначенный для длительного хранения, упаковывают в полиэтиленовую пленку марок М, Т, Н толщиной 0,050 мм по ГОСТ 10354, а затем в четырехслойный мешок или ящичный поддон или контейнер.

(Измененная редакция, Изм. N 2, 6).

5.2. При поставке каучука на экспорт обернутые полиэтиленовой пленкой брикеты упаковывают в ящичные поддоны, дно и стенки которых выстилают полиэтиленовой пленкой.

5.3. Масса брикетов должна быть (30±1) кг.

Каучук высшего сорта должен иметь массу брикетов (30±0,7) кг. 

(Измененная редакция, Изм. N 1, 5).

5.4. Вальцованный каучук массой (30±1) кг упаковывают в полиэтиленовую пленку марок М, Т, Н толщиной 0,050 мм по ГОСТ 10354, а затем в четырехслойный бумажный или тканевый мешок, пропитанный нитролаком.

5.5. Каждую упаковочную единицу маркируют по ГОСТ 14192* с нанесением обозначений:
______________
* На территории Российской Федерации действует ГОСТ 14192-96. - Примечание изготовителя базы данных.

товарного знака предприятия-изготовителя; 

наименования и марки каучука; 

даты изготовления; 

номера партии; 

массы (нетто); 

номера места;

обозначения настоящего стандарта.

При поставке каучука на экспорт маркировка должна соответствовать требованиям заказа-наряда Внешнеторгового Объединения. 

5.4, 5.5. (Измененная редакция, Изм. N 2, 5).

5.6. (Исключен, Изм. N 1).

5.7. Каучук перевозят транспортом всех видов в крытых транспортных средствах в соответствии с правилами перевозки грузов, действующими на транспорте данного вида.

При перевозке каучука, упакованного в ящичные поддоны, в железнодорожных вагонах поддоны устанавливают в два-три яруса по высоте вагона и раскрепляют. 

(Измененная редакция, Изм. N 1).

5.8. Каучук, упакованный в ящичный поддон или контейнер, хранят в штабелях, состоящих не более чем из трех поддонов по высоте.

Каучук, упакованный в мешки, хранят в штабелях высотой не более 1,2 м.

Каучук должен храниться в помещении при температуре не выше 30 °С

6. ГАРАНТИИ ИЗГОТОВИТЕЛЯ

6.1. Изготовитель гарантирует соответствие каучука требованиям настоящего стандарта при соблюдении условий транспортирования и хранения.

6.2. Гарантийный срок хранения каучука - один год со дня изготовления, каучука СКМС-30АРКМ-15 высшего сорта - 1,5 года.

(Измененная редакция, Изм. N 1, 2).

ПРИЛОЖЕНИЕ (справочное). МАССОВАЯ ДОЛЯ СВЯЗАННОГО СТИРОЛА В ПРОЦЕНТАХ В ЗАВИСИМОСТИ ОТ ПОКАЗАТЕЛЯ ПРЕЛОМЛЕНИЯ

ПРИЛОЖЕНИЕ
Справочное

n25

0

1

2

3

4

5

6

7

8

9

1,515

-

-

-

-

-

0,05

0,18

0,31

0,44

0,57

1,516

0,70

0,83

0,96

1,09

1,22

1,34

1,47

1,60

1,73

1,86

1,517

1,99

2,12

2,25

2,37

2,50

2,63

2,76

2,89

3,02

3,14

1,518

3,27

3,40

3,53

3,66

3,78

3,91

4,04

4,17

4,29

4,42

1,519 

4,55

4,67

4,80

4,93

5,06

5,18

5,31

5,44

5,56

5,69

1,520

5,82

5,94

6,07

6,20

6,32

6,45

6,57

6,70

6,83

6,95

1,521

7,08

7,20

7,33

7,46

7,58

7,71

7,83

7,96

8,08

8,21

1,522

8,35

8,46

8,58

8,71

8,83

8,96

9,08

9,21

9,33

9,46

1,523

9,58

9,71

9,83

9,95

10,08

10,20

10,33

10,45

10,57

10,70

1,524

10,82

10,95

11,07

11,19

11,32

11,44

11,56

11,69

11,81

11,93

1,525 

12,06

12,18

12,30

12,43

12,55

12,67

12,79

12,92

13,04

13,16

1,526

13,28

13,41

13,53

13,65

13,77

13,89

14,02

14,14

14,26

14,38

1,527

14,50

14,62

14,75

14,87

14,99

15,11

15,23

15,35

15,47

15,60

1,528

15,72

15,84

15,96

16,08

16,20

16,32

16,44

16,56

16,68

16,80

1,529

16,92

17,04

17,16

17,28

17,40

17,52

17,64

17,76

17,88

18,00

1,530

18,12

18,24

18,36

18,48

18,60

18,72

18,84

18,96

19,08

19,19

1,531

19,31

19,43

19,55

19,67

19,79

19,91

20,03

20,14

20,26

20,38

1,532

20,50

20,62

20,73

20,85

20,97

21,09

21,21

21,32

21,44

21,56

1,533

21,68

21,79

21,91

22,03

22,15

22,26

22,38

22,50

22,61

22,73

1,534

22,85

22,96

23,08

23,20

23,31

23,43

23,55

23,66

23,78

23,90

1,535

24,01

24,13

24,24

24,36

24,47

24,59

24,71

24,82

24,94

25,05

1,536

25,17

25,28

25,40

25,51

25,63

25,74

25,86

25,97

26,09

26,20

1,537

26,32

26,43

26,55

26,66

26,78

26,89

27,00

27,12

27,23

27,35

1,538

27,46

27,58

27,69

27,80

27,92

28,03

28,14

28,26

28,37

28,48

1,539

28,60

28,71

28,82

28,94

29,05

29,16

29,28

29,39

29,50

29,61

1,540

29,73

29,84

29,95

30,06

30,18

30,29

30,40

30,51

30,62

30,74

1,541

30,85

30,96

31,07

31,18

31,30

31,41

31,52

31,63

31,74

31,85

1,542

31,96

32,07

32,19

32,30

32,41

32,52

32,63

32,74

32,85

32,96

1,543

33,07

33,18

33,29

33,40

33,51

33,62

33,73

33,84

33,95

34,06

1,544

34,17

34,28

34,39

34,50

34,61

34,72

34,83

34,94

35,05

35,16

1,545

35,27

35,38

35,48

35,59

35,70

35,81

35,92

36,03

36,14

36,25

1,546

36,36

36,46

36,57

36,68

36,79

36,89

37,00

37,11

37,22

37,33

1,547

37,43

37,54

37,65

37,76

37,86

37,97

38,08

38,19

38,29

38,40

1,548

38,51

38,61

38,72

38,83

38,93

39,04

39,15

39,25

39,36

39,47

1,549

39,57

39,68

39,79

39,89

40,00

40,10

40,21

40,32

40,42

40,53

1,550

40,63

40,74

40,84

40,95

41,05

41,16

41,26

41,37

41,47

41,58

1,551

41,68

41,79

41,89

42,00

42,10

42,21

42,31

42,42

42,52

42,63

1,552

42,73

42,83

42,94

43,04

43,15

43,25

43,35

43,46

43,56

43,66

1,553

43,77

43,87

43,97

44,08

44,18

44,28

44,39

44,49

44,59

44,70

1,554

44,80

44,90

45,00

45,11

45,21

45,31

45,41

45,52

45,62

45,72



официальное издание
М.: ИПК Издательство стандартов, 1996