Новости Нефтегазовая пром.
Выставки Наука и технология


Канифоль сосновая ГОСТ 19113-84

Канифоль сосновая. Технические условия (с Изменениями N 1, 2) ГОСТ 19113-84

ГОСТ 19113-84

Группа Л43

МЕЖГОСУДАРСТВЕННЫЙ СТАНДАРТ


Канифоль СОСНОВАЯ

Технические условия

Pine rosin. Specifications



ОКП 24 5372 0100

Дата введения 1986-01-01

ИНФОРМАЦИОННЫЕ ДАННЫЕ

1. РАЗРАБОТАН И ВНЕСЕН Министерством лесной, целлюлозно-бумажной и деревообрабатывающей промышленности СССР

РАЗРАБОТЧИКИ:

А.М.Чащин, О.В.Скворцова, В.К.Липовецкая, Л.В.Медякова, Б.А.Радбиль, А.М.Майзель

2. УТВЕРЖДЕН И ВВЕДЕН В ДЕЙСТВИЕ постановлением Государственного комитета СССР по стандартам от 25.04.84 N 1437

Изменение N 2 принято Межгосударственным Советом по стандартизации, метрологии и сертификации (протокол N 6 от 21.10.94)

За принятие проголосовали:

Наименование государства

Наименование национального органа по стандартизации

Азербайджанская Республика

Азгосстандарт

Республика Армения

Армгосстандарт

Республика Беларусь

Госстандарт Беларуси

Грузия

Грузстандарт

Республика Казахстан

Госстандарт Республики Казахстан

Киргизская Республика

Киргизстандарт

Республика Молдова

Молдовастандарт

Российская Федерация

Госстандарт России

Республика Узбекистан

Узгосстандарт

Украина

Госстандарт Украины

3. ВЗАМЕН ГОСТ 19113-73

4. ССЫЛОЧНЫЕ НОРМАТИВНО-ТЕХНИЧЕСКИЕ ДОКУМЕНТЫ

Обозначение НТД, на который дана ссылка

Номер пункта, подпункта

ГОСТ 12.1.007-76

2.1

ГОСТ 1770-74

4.4.1; 4.7.1

ГОСТ 6318-77

4.3.1; 4.7.1

ГОСТ 6709-72-->ГОСТ 6709-72

4.7.1

ГОСТ 9147-80

4.3.1

ГОСТ 14192-96

5.2

ГОСТ 16399-70

1.3

ГОСТ 17299-78

4.5; 4.7.1

ГОСТ 17823.1-72

1.3; 4.5

ГОСТ 17823.4-80

1.3

ГОСТ 18300-87

4.4.1; 4.5; 4.7.1

ГОСТ 19433-88

5.2

ГОСТ 21650-76

5.3

ГОСТ 23863-79

1.3

ГОСТ 24363-80

4.7.1

ГОСТ 24597-81

5.3

ГОСТ 25336-62*

4.3.1; 4.4.1; 4.6.1; 4.7.1

ГОСТ 28670-90

5.1; 5.2; 5.3; 5.4

ГОСТ 29289-92

3.1; 4.1

ТУ 38.401-67-108-92*

4.7.1

________________
* Вероятно, ошибка оригинала. Следует читать: ГОСТ 25336-82;

5. Ограничение срока действия снято по протоколу N 5-94 Межгосударственного Совета по стандартизации, метрологии и сертификации (ИУС 11-12-94)

6. ПЕРЕИЗДАНИЕ (март 1999 г.) с Изменениями N 1, 2, утвержденными в марте 1990 г., марте 1996 г. (ИУС 6-90, 6-96)

Настоящий стандарт распространяется на сосновую Канифоль, получаемую из живицы, состоящую в основном из смоляных кислот, имеющих общую формулу C20H30O2.

Сосновая Канифоль предназначается для использования в производстве синтетического каучука, в целлюлозно-бумажной, шинной, резиновой и лакокрасочной промышленности.

(Измененная редакция, Изм. N 1).

1. ТЕХНИЧЕСКИЕ ТРЕБОВАНИЯ

1.1. Сосновая Канифоль должна быть изготовлена в соответствии с требованиями настоящего стандарта по технологическому регламенту, утвержденному в установленном порядке.

1.2. (Исключен, Изм. N 1).

1.3. По физико-химическим показателям сосновая Канифоль должна соответствовать требованиям и нормам, указанным в таблице.

Наименование показателя

Норма

Метод анализа

высший сорт ОКП 24 5372

0120

1-й сорт

ОКП 24 5372

0130

2-й сорт

ОКП 24 5372

0140

1. Внешний вид

Прозрачная, стекловидная или с наличием пузырьков воздуха масса 

По п.4.2

2. Интенсивность окраски

X, WW, WG

X, WW, WG, N

M, K, Y, H, G

По ГОСТ 17823.4

3. Массовая доля воды, %, не более 

0,2

0,2

0,2

По ГОСТ 16399

4. Массовая доля золы, %, не более

0,03

0,04

0,04

По п.4.3

5. Массовая доля 
механических примесей, %, не более

0,03

0,04

0,04

По п.4.4

6. Температура размягчения, °С, не ниже

69

68

66

По ГОСТ
23863, метод А

7. Кислотное число, мг KОН на 1 г продукта, не менее

169

168

166

По ГОСТ
17823.1 и п.4.5 настоящего стандарта 

8. Склонность к кристаллизации 

Отсутствие медового пористого осадка

По п.4.6

9. Массовая доля неомыляемых веществ, %, не более

6,0

6,5

7,5

По п.4.7


Примечания:

1. (Исключено, Изм. N 1).

2. По согласованию с потребителем сосновая Канифоль может быть непрозрачной.

3. Показатель "склонность к кристаллизации" определяют в продукте, предназначенном для бумажной промышленности.

4. Для производства синтетического каучука предназначается Канифоль только высшего и 1-го сортов, при этом показатель "интенсивность окраски" не определяют, а показатель "массовая доля неомыляемых веществ" определяют только для данного производства по требованию потребителя.

(Измененная редакция, Изм. N 1, 2).

2. ТРЕБОВАНИЯ БЕЗОПАСНОСТИ

2.1. Сосновая Канифоль относится к умеренно опасным веществам, класс опасности 3 (ГОСТ 12.1.007).

Предельно допустимая концентрация аэрозоля сосновой канифоли в воздухе рабочей зоны производственных помещений 6 мг/м3. Сосновая Канифоль вызывает раздражение кожи.

2.2. Сосновая Канифоль - горючее вещество, склонна к тепловому самовозгоранию.

Температура самовоспламенения 321°С.

2.3. В порошкообразном состоянии сосновая Канифоль склонна к химическому самовозгоранию.

2.4. Взвешенная в воздухе пыль канифоли взрывоопасна; пыль фракции 74 мкм с зольностью 0,05% имеет нижний концентрационный предел воспламенения 12,6 г/м3, температуру самовоспламенения 440°С. При концентрации пыли 500 г/м3 развиваемое максимальное давление взрыва 565 кПа, скорость нарастания давления при взрыве: средняя - 13092 кПа·с-1, максимальная - 51675 кПа·с-1.

Осевшая пыль пожароопасна.

2.5. При загорании тушить тонкораспыленной водой со смачивателями и пеной, в закрытом объеме - паром. При тушении осевшей пыли нельзя применять компактные водяные струи.

2.6. При работе с сосновой канифолью необходимо применять спецодежду, средства индивидуальной защиты (очки, респираторы) и соблюдать общие санитарно-гигиенческие требования.

3. ПРАВИЛА ПРИЕМКИ

3.1. Правила приемки - по ГОСТ 29289. Степень неоднородности сосновой канифоли Кн=2.

Допускается по согласованию с потребителем проведение периодических испытаний по показателям "массовая доля золы" и "массовая доля механических примесей".

(Измененная редакция, Изм. N 1, 2).

4. МЕТОДЫ АНАЛИЗА

4.1. Методы отбора проб - по ГОСТ 29289:

объединенную пробу продукта измельчают на куски размером около 25 мм, удаляют более мелкие куски и сокращают методом квартования;

масса средней пробы должна быть не менее 0,5 кг.

Температура разогрева при отборе проб из цистерн - не более 180°С.

(Измененная редакция, Изм. N 2).

4.1а. При взвешивании применяют лабораторные весы общего назначения типа ВЛР-200г и ВЛКТ-500г-М.

Допускается применять другие средства измерения с метрологическими характеристиками и оборудование с техническими характеристиками не хуже, а также реактивы по качеству не ниже указанных в настоящем стандарте.

(Введен дополнительно, Изм. N 1).

4.2. Определение внешнего вида

Внешний вид сосновой канифоли определяют визуально в естественном проходящем свете.

4.3. Определение массовой доли золы

4.3.1. Посуда и оборудование

Тигель фарфоровый высокий N 3 или 4 по ГОСТ 9147. 

Баня песчаная, горелка газовая или плитка электрическая. 

Эксикатор по ГОСТ 25336 с хлористым кальцием или высушенным сернокислым натрием по ГОСТ 6318. 

Печь муфельная.

(Измененная редакция, Изм. N 1).

4.3.2. Проведение анализа

Около 2 г канифоли взвешивают в предварительно прокаленном до постоянной массы взвешенном тигле и медленно нагревают до полного удаления летучих веществ.

Остаток в тигле прокаливают в муфельной печи при 700-800°С до постоянной массы. Перед каждым взвешиванием тигель с остатком охлаждают в эксикаторе до (25±5)°С.

Результаты всех взвешиваний в граммах записывают до четвертого десятичного знака.

(Измененная редакция, Изм. N 1, 2).

4.3.3. Обработка результатов

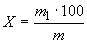
Массовую долю золы (X) в процентах вычисляют по формуле где m1 - масса остатка после прокаливания, г;
      m - масса навески канифоли, г.

За результат анализа принимают среднее арифметическое результатов двух параллельных определений, абсолютно допускаемые расхождения между которыми при доверительной вероятности P=0,95 не должны превышать 0,01%.

(Измененная редакция, Изм. N 2).

4.4. Определение массовой доли механических примесей

4.4.1. Реактивы, посуда и оборудование

Спирт этиловый ректификованный технический по ГОСТ 18300.

Колба стеклянная коническая по ГОСТ 25336, вместимостью 100 или 250 см3.

Тигель фильтрующий типа ТФ-ПОР 160 или ТФ-ПОР 100 или воронка фильтрующая типа ВФ-ПОР 100 или ВФ-ПОР 160 по ГОСТ 25336.

Холодильник стеклянный лабораторный типа ХПТ по ГОСТ 25336.

Цилиндр мерный по ГОСТ 1770, вместимостью 50 см3.

Шкаф сушильный лабораторный с автоматическим регулированием температуры.

Эксикатор по ГОСТ 25336 с хлористым кальцием или высушенным сернокислым натрием по ГОСТ 6318.

Вакуумнасос лабораторный.

Баня водяная.

4.4.2. Проведение анализа

Около 10 г канифоли взвешивают в конической колбе на весах с наибольшим пределом взвешивания 500 г (результат взвешивания в граммах записывают до второго десятичного знака), наливают 50 см3 этилового спирта, присоединяют обратный холодильник и нагревают до 35-45°С на водяной бане до полного растворения канифоли. Затем раствор охлаждают до (25±10)°С и фильтруют через тигель или воронку, предварительно высушенные и взвешенные (результат взвешивания в граммах записывают до четвертого десятичного знака).

Оставшиеся в колбе механические примеси смывают в тигель или воронку 40 см3 этилового спирта. Остаток в тигле или воронке промывают 10 см3 этилового спирта (можно с помощью вакуумнасоса), сушат в сушильном шкафу при 105-110°С до постоянной массы. Перед каждым взвешиванием тигель или воронку с остатком охлаждают в эксикаторе до (25±5)°С. Результат взвешивания в граммах записывают до четвертого десятичного знака.

4.4.1; 4.4.2. (Измененная редакция, Изм. N 1).

4.4.3. Обработка результатов

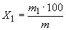
Массовую долю механических примесей (X1) в процентах вычисляют по формуле где m1 - масса высушенного остатка, г;

      m - масса навески канифоли, г.

За результат анализа принимают среднее арифметическое результатов двух параллельных определений, абсолютно допускаемые расхождения между которыми при доверительной вероятности P=0,95 не должны превышать 0,01%.

(Измененная редакция, Изм. N 2). 

4.5. Кислотное число определяют по ГОСТ 17823.1. В качестве растворителя применяют Этиловый спирт по ГОСТ 17299 или по ГОСТ 18300, в качестве индикатора - спиртовой раствор фенолфталеина с массовой долей 1%.

(Измененная редакция, Изм. N 1).

4.6. Определение склонности к кристаллизации

4.6.1. Посуда и оборудование

Стакан типа Н вместимостью 25 или 50 см3 либо стаканчик для взвешивания типа СВ-34/12 или СН-60/14 по ГОСТ 25336;

Сита с диаметром ячеек 1 и 3 мм.

Шкаф сушильный лабораторный с автоматическим регулированием температуры.

(Измененная редакция, Изм. N 1).

4.6.2. Проведение анализа

Канифоль измельчают и просеивают через сита. Отбирают около 10 г канифоли, задержанной на сите с диаметром ячеек 1 мм, взвешивают и помещают в стакан. Анализ пылевидного продукта не допускается.

Стакан с продуктом помещают на 30 мин в предварительно нагретый до (110±5)°С сушильный шкаф.

Канифоль считают соответствующей требованиям настоящего стандарта, если по истечении указанного срока не появится медовый пористый осадок.

4.7. Определение массовой доли неомыляемых веществ

4.7.1. Реактивы, растворы, посуда и оборудование

Спирт этиловый ректификованный технический по ГОСТ 18300 или спирт этиловый технический по ГОСТ 17299 и раствор этилового спирта с массовой долей 50%.

Бензин-растворитель для резиновой промышленности по ТУ 38.401-67-108.

Калия гидроокись по ГОСТ 24363, х.ч. или ч.д.а., спиртовой раствор концентрации с(KОН) =2 моль/дм3 (2 н.).

Вода дистиллированная по ГОСТ 6709-72-->ГОСТ 6709-72.

Колба стеклянная коническая по ГОСТ 25336, вместимостью 100 см3.

Колба стеклянная круглодонная по ГОСТ 25336, вместимостью 250 см3.

Холодильник стеклянный лабораторный типа ХПТ или ХШ по ГОСТ 25336.

Воронка стеклянная делительная типа ВД по ГОСТ 25336-82, вместимостью 500 см3.

Цилиндр мерный по ГОСТ 1770, вместимостью 50 см3.

Эксикатор по ГОСТ 25336 с хлористым кальцием или высушенным сернокислым натрием по ГОСТ 6318.

Баня водяная.

Баня песчаная.

Секундомер или часы песочные на 3 мин.

4.7.2. Проведение анализа

Около 2 г измельченной канифоли взвешивают в конической колбе (результат взвешивания в граммах записывают до четвертого десятичного знака) и добавляют 25 см3 раствора гидроокиси калия.

К колбе со щелочным раствором канифоли присоединяют обратный холодильник и кипятят раствор на водяной бане в течение 30 мин, после чего через трубку холодильника доливают 20 см3 воды и снова нагревают раствор на водяной бане в течение 15 мин.

Охлажденную смесь количественно переносят в делительную воронку, колбу ополаскивают 20 см3 раствора этилового спирта с массовой долей 50%, а затем 20 см3 бензина. В ту же делительную воронку наливают 250 см3 бензина и содержимое тщательно взбалтывают в течение 3 мин.

После отстаивания нижний щелочной слой сливают в колбу вместимостью 100 см3, а верхний слой промывают два раза 50 см3 раствора этилового спирта с массовой долей 50%, который каждый раз тщательно отделяют от верхнего слоя, содержащего неомыляемые вещества.

Раствор неомыляемых веществ сливают в сухую взвешенную круглодонную колбу вместимостью 250 см3 (результат взвешивания в граммах записывают до четвертого десятичного знака). Делительную воронку ополаскивают 20 см3 бензина, который сливают в ту же колбу, присоединяя его к основному бензиновому раствору. Бензин отгоняют на песчаной бане.

В колбу добавляют 1-2 см3 этилового спирта и сушат в течение 1,5 ч в сушильном шкафу при 110-115°С, после чего колбу охлаждают в эксикаторе и взвешивают (результат взвешивания в граммах записывают до четвертого десятичного знака). Высушивание повторяют до тех пор, пока уменьшение массы не будет превышать 0,003 г.

4.7-4.7.2. (Введены дополнительно, Изм. N 1).

4.7.3. Обработка результатов

Массовую долю неомыляемых веществ (X2) в процентах вычисляют по формуле где m1 - масса остатка после высушивания, г;
       m - масса навески канифоли, г.

За результат анализа принимают среднее арифметическое результатов двух параллельных определений, абсолютно допускаемые расхождения между которыми при доверительной вероятности P=0,95 не должны превышать 0,3%.

(Измененная редакция, Изм. N 2).

5. УПАКОВКА, МАРКИРОВКА, ТРАНСПОРТИРОВАНИЕ И ХРАНЕНИЕ

5.1. Упаковку сосновой канифоли проводят по ГОСТ 28670. 

Для упаковывания применяют транспортную тару 3-ХII вместимостью 100-200 дм3, 3-III вместимостью 100-180 дм3 (типа II, исполнения Б), 3-VI вместимостью 50-66 и 93 дм3 (типа I); 3-IV вместимостью 50-110 дм3 (типа III) и 3-V вместимостью 100-120 дм3.

Для длительного хранения сосновую Канифоль упаковывают в транспортную тару 3-III вместимостью 100-180 дм3 (типа II, исполнения Б), изготовленную из листовой оцинкованной, кровельной оцинкованной стали или 3-ХII вместимостью 100-200 дм3.

5.2. Транспортную маркировку проводят по ГОСТ 28670 с указанием манипуляционного знака (по ГОСТ 14192) "Беречь от нагрева".

В соответствии с ГОСТ 19433 на тару и (или) транспортный пакет с сосновой канифолью наносят транспортное наименование груза, классификационный номер 9133, а также серийный номер ООН 9921.

Способ нанесения маркировки - ярлык или окраска по трафарету.

5.3. Транспортирование сосновой канифоли - по ГОСТ 28670.

5.4. Хранение сосновой канифоли - по ГОСТ 28670. 

Разд.5. (Измененная редакция, Изм. N 2).

6. ГАРАНТИИ ИЗГОТОВИТЕЛЯ

6.1. Изготовитель гарантирует соответствие сосновой канифоли требованиям настоящего стандарта при соблюдении условий транспортирования и хранения.

6.2. Гарантийный срок хранения канифоли - 2 г. со дня изготовления.



официальное издание
М.: ИПК Издательство стандартов, 1999