Новости Нефтегазовая пром.
Выставки Наука и технология


Натрий сернокислый технический ГОСТ 6318-77

Натрий сернокислый технический. Технические условия (с Изменениями N 1, 2) ГОСТ 6318-77


ГОСТ 6318-77 

Группа Л14

ГОСУДАРСТВЕННЫЙ СТАНДАРТ СОЮЗА ССР

Натрий сернокислый ТЕХНИЧЕСКИЙ

Технические условия

Sodium sulphate, technical. Specifications



ОКП 21 4111

Срок действия с 01.01.79 
до 01.01.96*
_________________________________
* Ограничение срока действия снято 
по протоколу N 5-94 Межгосударственного Совета 
по стандартизации, метрологии и сертификации 
(ИУС N 11-12, 1994 год.).

ИНФОРМАЦИОННЫЕ ДАННЫЕ

1. РАЗРАБОТАН И ВНЕСЕН Министерством химической промышленности СССР

РАЗРАБОТЧИКИ

A.К.Чирва, А.П.Чернышева, Е.П.Свиридова, А.И.Ведь, B.И.Алексеев

2. УТВЕРЖДЕН И ВВЕДЕН В ДЕЙСТВИЕ Постановлением Государственного комитета стандартов Совета Министров СССР от 26.05.77 N 1345

3. Периодичность проверки - 5 лет

4. ВЗАМЕН ГОСТ 6318-68

5. Стандарт полностью соответствует международным стандартам ИСО 3236-75, ИСО 3237-75, ИСО 3238-75

6. ССЫЛОЧНЫЕ НОРМАТИВНО-ТЕХНИЧЕСКИЕ ДОКУМЕНТЫ

Обозначение НТД, на который дана ссылка

Номер пункта, подпункта

ГОСТ 12.1.005-88

6.1

ГОСТ 1277-75

3.6.2.1, 3.8.1.1

ГОСТ 1770-74

3.6.2.1, 3.7.1, 3.8.2.1, 3.9.1, 3.10.1, 3.11.1

ГОСТ 2226-88

4.1

ГОСТ 3118-77

3.6.2.1, 3.7.1, 3.11.1

ГОСТ 3640-79

3.9.1

ГОСТ 3760-79

3.9.1, 3.10.1. 3.11.1

ГОСТ 3773-72

3.9.1, 3.10.1

ГОСТ 3956-76

3.6.2.1, 3.7.1, 3.12.1а

ГОСТ 4108-72

3.6.2.1, 3.7.1

ГОСТ 4204-77

3.11.1

ГОСТ 4233-77

3.8.2.1

ГОСТ 4234-77

3.9.1

ГОСТ 4328-77

3.8.2.1

ГОСТ 4459-75

3.8.1.1

ГОСТ 4461-77

3.6.2.1, 3.8.2.1

ГОСТ 4478-78

3.11.1

ГОСТ 4520-78

3.8.2.1

ГОСТ 5230-74

3.8.2.1

ГОСТ 6709-72-->ГОСТ 6709-72

3.6.2.1, 3.7.1, 3.8.1.1, 3.8.2.1, 3.9.1, 3.10.1, 3.11.1

ГОСТ 7328-82

3.6.2.1, 3.7.1, 3.8.1.1, 3.8.2.1, 3.9.1, 3.10.1, 3.11.1, 3.12а.1, 3.12.2.1

ГОСТ 8516-78

4.1

ГОСТ 9147-80

3.6.2.1, 3.9.1

ГОСТ 10398-76

3.9.1

ГОСТ 10652-73

3.9.1, 3.10.1

ГОСТ 14192-77

4.2

ГОСТ 14919-83

3.6.2.1, 3.7.1, 3.11.1, 3.12.1а

ГОСТ 17299-78

3.9.1, 3.12.2.1

ГОСТ 18225-72

4.1

ГОСТ 18300-87

3.8.2.1

ГОСТ 21650-76

4.4

ГОСТ 22567.13-82

3.1.3

ГОСТ 24104-88

3.6.2.1, 3.7.1, 3.8.1.1, 3.8.2.1, 3.9.1, 3.10.1, 3.11.1, 3.12.1а, 3.12.2.1

ГОСТ 24363-80

3.9.1

ГОСТ 25336-82

3.6.2.1, 3.7.1, 3.8.1.1, 3.8.2.1, 3.9.1, 3.10.1, 3.11.1, 3.12.1а

7. Срок действия продлен до 01.01.96 Постановлением Госстандарта СССР от 27.09.89 N 2910

8. ПЕРЕИЗДАНИЕ (апрель 1993 г.) с Изменениями N 1, 2, утвержденными в феврале 1983 г., сентябре 1989 г. (ИУС 6-83, 1-90)

Настоящий стандарт распространяется на технический сернокислый натрий (Сульфат натрия), получаемый из природного галургического сырья.

Формула Na2SO4

Относительная молекулярная масса (по международным атомным массам 1971 г.) - 142,04.

(Измененная редакция, Изм. N 2).

1. ТЕХНИЧЕСКИЕ ТРЕБОВАНИЯ

1.1. Сернокислый натрий должен быть изготовлен в соответствии с требованиями настоящего стандарта по технологическому регламенту, утвержденному в установленном порядке.

1.2. В зависимости от метода получения и области применения технический сернокислый натрий выпускают марок А (высшего, 1-го и 2-го сортов) и Б.

А - продукт, получаемый промышленными методами, высшего и 1-го сортов, предназначается для целлюлозно-бумажной, химической, стекольной промышленности и других целей.

Б - продукт, получаемый в естественных условиях, предназначается как и продукт 2-го сорта марки А только для стекольной промышленности.

(Измененная редакция, Изм. N 1).

1.3. По физико-химическим показателям сернокислый натрий должен соответствовать нормам, указанным в таблице.

Норма для марок

Наименование показателя

А (ОКП 21 4111 0100 06)

Б 
(ОКП 21 4111 0200 03)

высшего сорта ОКП 21 4111 0120 02

1-го сорта ОКП 21 4111 0130 00

2-го copтa ОКП 21 4111 0140 09

1. Внешний вид

Порошок или гранулы белого цвета, допускается сероватый оттенок

Порошок белого цвета, допускается сероватый оттенок

2. Массовая доля сернокислого натрия (Na2SO4), %, не менее

99,4

98

97

94

3. Массовая доля нерастворимого в воде остатка, %, не более

0,4

0,9

1,2

4,5

4. Массовая доля хлоридов в пересчете на Хлористый натрий (NaCl), %, не более

0,2

0,7

1,2

2,0

5. Массовая доля сернокислого кальция (CaSO4), %, не более

Не нормируется

1,0

6. Массовая доля ионов магния (Mg2+), %, не более

0,02

0,1

0,2

Не нормируется

7. Массовая доля железа в пересчете на Fe2O3, %, не более

0,010

0,015

0,03

0,03

8. Массовая доля воды, %, не более

0,1

1,0

4,0

7,0


Примечания:

1. Нормы, указанные в подпунктах 2-7 таблицы, даны в пересчете на сухой продукт.

2. Сернокислый натрий высшего сорта, предназначенный для производства синтетических моющих средств, изготовляют с белизной не менее 60% и содержанием нерастворимого в воде остатка не более 0,2%, сернокислого кальция - не более 0,04%.

(Измененная редакция, Изм. N 1, 2).

2. ПРАВИЛА ПРИЕМКИ

2.1. Сернокислый натрий принимают партиями. Партией считают любое количество продукта, однородного по своим качественным показателям и сопровождаемого одним документом о качестве.

Документ о качестве должен содержать:

наименование и товарный знак предприятия-изготовителя;

наименование, марку и сорт продукта;

номер партии;

дату изготовления;

массу нетто;

результаты проведенных анализов или подтверждение о соответствии качества продукции требованиям настоящего стандарта;

обозначение настоящего стандарта;

штамп технического контроля.

(Измененная редакция, Изм. N 1).

2.2. Для контроля качества упакованного сернокислого натрия отбирают 4% мешков, но не менее 10 при партии менее 250 мешков; или 10 контейнеров, но не менее 2 при партии менее 20 контейнеров.

Для контроля качества сернокислого натрия, находящегося в движении, пробы отбирают с транспортерной ленты методом систематической выборки из расчета не менее 5 кг на каждые 60 т продукта.

Для контроля качества от сернокислого натрия, отгружаемого навалом, отбирают не менее 1 кг от 10 т продукции при погрузке и разгрузке железнодорожных вагонов и не менее 0,2 кг от 20 т при погрузке и разгрузке водного транспорта.

(Измененная редакция, Изм. N 1).

2.3. При получении неудовлетворительных результатов анализа упакованного сернокислого натрия хотя бы по одному из показателей проводят повторный анализ удвоенного количества единиц продукции той же партии.

Результаты повторного анализа распространяются на всю партию.

Результаты анализа проб сернокислого натрия, отгружаемого навалом, являются окончательными и распространяются на всю партию.

3. МЕТОДЫ АНАЛИЗА

3.1. Отбор проб

3.1.1. Точечные пробы от упакованного продукта отбирают щупом, погружая его на 3/4 глубины, из середины каждого мешка или из горловины контейнера.

Масса точечной пробы, отобранной из мешка, должна быть не менее 0,1 кг, контейнера - не менее 0,5 кг.

3.1.2. С транспортной ленты точечные пробы отбирают равномерно в местах перепада потока методом пересечения струи продукта по всей его ширине механическим пробоотборным устройством или вручную совком.

3.1.3. Пробы от насыпей отбирают по схеме (см. чертеж) ручным закрывающимся пробоотборником с глубины не менее 30 см от поверхности по всей высоте насыпи. Масса точечной пробы, взятой от каждой точки, не должна быть менее 0,2 кг.

Схема отбора из конической насыпи


AB и BC, BO и BO` - противоположные образующие насыпи; 
ABC-ЕДЖ - поверхностный слой насыпи; 1-1112-22 - линии и точки отбора проб


От насыпей пробы отбирают из точек, расположенных по двум противоположным образующим, для насыпей до 60 т и по четырем образующим для насыпей - более 60 т. Расстояние между точками отбора и образующей 20-25 см. Приблизительно по 50 см до вершины насыпи и от ее основания из отбора исключить.

(Измененная редакция, Изм. N 1).

3.2. Отобранные разовые пробы соединяют, тщательно перемешивают и сокращают на делителе типа ДМП (или любом другом, обеспечивающем точность сокращения пробы не меньшую, чем ДМП) или квартованием до получения средней пробы массой не менее 1 кг.


3.3. Среднюю пробу помещают в чистую сухую, герметически закрываемую емкость, не влияющую на качество продукта. На емкость прикрепляют этикетку с указанием наименования предприятия-изготовителя, наименования продукта, номера партии, даты отбора пробы и фамилии пробоотборщика.

3.4. Подготовка пробы для анализа

Для проведения анализа среднюю пробу, полученную по п.3.2, сокращают квартованием или на механическом сократителе до массы не менее 0,1 кг.

3.4а. Для проведения анализа и приготовления растворов применяют реактивы квалификации "химически чистый" и "чистый для анализа", а также импортные реактивы.

Допускается применение реактивов по качеству, а также средств измерений, аппаратуры и лабораторной посуды по классу точности не ниже указанных в настоящем стандарте.

(Введен дополнительно, Изм. N 2).

3.5. Внешний вид продукта определяют визуально

3.6. Определение массовой доли сернокислого натрия

3.6.1. Расчетный метод (для сернокислого натрия высшего сорта)

Массовую долю сернокислого натрия (X) в процентах вычисляют по формуле где X1 - массовая доля не растворимого в воде остатка, определенная по п.3.7, %; 

X2 - массовая доля хлоридов в пересчете на Хлористый натрий, определенная по п.3.8, %; 

X3 - массовая доля сернокислого кальция, определенная по п.3.9, %;

X4 - массовая доля ионов магния, определенная по п.3.10, %;

3,9173 - коэффициент пересчета иона магния на хлористый магний;

0,6066 - коэффициент пересчета хлористого натрия на ион хлора;

2,9173 - коэффициент пересчета иона магния на ион хлора;

1,6485 - коэффициент пересчета иона хлора на Хлористый натрий.

За результат анализа принимают среднее арифметическое результатов двух параллельных определений, абсолютное расхождение между которыми не превышает допускаемое расхождение, равное 0,1%, при доверительной вероятности P=0,95.

(Измененная редакция, Изм. N 2).

3.6.2. Гравиметрический метод (для сернокислого натрия 1-го, 2-го сортов и марки Б)

3.6.2.1. Аппаратура, реактивы, растворы

Весы лабораторные общего назначения по ГОСТ 24104-88 2-го и 3-го классов точности с наибольшими пределами взвешивания 200 и 500 г соответственно.

Гири Г-2-210 и Г-3-210 по ГОСТ 7328-82.

Шкаф электрический сушильный, обеспечивающий температуру нагрева 150-180 °С.

Плитка электрическая закрытого типа ЭПШ 1-08-220 по ГОСТ 14919-83.

Баня водяная (воздушная, песчаная).

Электропечь муфельная с терморегулятором, обеспечивающая температуру нагрева 800-850 °С.

Эксикатор по ГОСТ 25336-82, заполненный силикагелем.

Стакан Н-1-400 (500) ТС по ГОСТ 25336-82.

Пипетка 3-2-50 по нормативно-технической документации.

Цилиндры мерные 1-10 (25, 250) по ГОСТ 1770-74.

Воронка лабораторная В-75 ХС по ГОСТ 25336-82.

Тигли низкие 3 или 4 по ГОСТ 9147-80.

Фильтр бумажный обеззоленный "синяя лента".

Палочка стеклянная с резиновым наконечником.

Стекла часовые.

силикагель технический по ГОСТ 3956-76, высушенный при 150-180 °С до постоянной массы.

барий хлористый по ГОСТ 4108-72, раствор с массовой долей 10%.

кислота соляная по ГОСТ 3118-77.

Серебро азотно-кислое по ГОСТ 1277-75, раствор с массовой долей 0,5%.

Кислота азотная по ГОСТ 4461-77.

Метиловый оранжевый (индикатор), раствор с массовой долей 0,1%.

Вода дистиллированная по ГОСТ 6709-72-->ГОСТ 6709-72.

3.6.2.2. Проведение анализа

10 см3 раствора, приготовленного по п.3.7.2, отбирают пипеткой в стакан вместимостью 300-400 см3, разбавляют водой до 200 см3, прибавляют 2-3 капли индикатора и 2 см3 соляной кислоты. Раствор нагревают до кипения и к кипящему раствору прибавляют при непрерывном помешивании 10 см3 раствора хлористого бария, нагретого до кипения, и кипятят 2-3 мин для укрепления осадка. Стакан накрывают часовым стеклом и оставляют в течение 1 ч на горячей водяной бане при температуре 70-80 °С. После отстаивания раствор фильтруют через плотный беззольный фильтр "синяя лента". Для улучшения фильтрования на фильтр добавляют бумажную кашицу. Осадок переводят на фильтр и промывают горячей водой до отрицательной реакции на хлор-ион (проба с раствором азотно-кислого серебра в азотно-кислой среде). Фильтр с осадком помещают в предварительно прокаленный до постоянной массы фарфоровый тигель, подсушивают в сушильном шкафу, озоляют на плитке, прокаливают при температуре 800-850 °С до постоянной массы и после охлаждения в эксикаторе над силикагелем взвешивают (результат взвешивания в граммах записывают с точностью до четвертого десятичного знака).

3.6.2.3. Обработка результатов

Массовую долю сернокислого натрия (X`) в процентах вычисляют по формуле где m1 - масса осадка сернокислого бария, г;

m2 - масса осадка в контрольном опыте, г;

m - масса навески сернокислого натрия, г;

0,6086 - коэффициент пересчета сернокислого бария на сернокислый натрий;

X5 - массовая доля воды, найденная по п.3.12, %;

1,044 - коэффициент пересчета сернокислого кальция на сернокислый натрий;

X3 - массовая доля сернокислого кальция, найденная по п.3.9, %.

За результат анализа принимают среднее арифметическое результатов двух параллельных определений, абсолютное расхождение между которыми не превышает допускаемое расхождение, равное 1,0%, при доверительной вероятности P=0,95.

3.6.2-3.6.2.3. (Измененная редакция, Изм. N 2). 

3.7. Определение массовой доли нерастворимого в воде остатка

3.7.1. Аппаратура, реактивы и растворы

Тигель стеклянный фильтрующий типа ТФ-20-ПОР 16 ХС или ТФ-32-ПОР 16 ХС по ГОСТ 25336-82.

Весы лабораторные общего назначения по ГОСТ 24104-88 2-го и 3-го классов точности с наибольшими пределами взвешивания 200 и 500 г соответственно.

Гири Г-2-210 и Г-3-210 по ГОСТ 7328-82.

Шкаф электрический сушильный, обеспечивающий температуру нагрева 150-180 °С.

Плитка электрическая закрытого типа ЭПШ 1-08-220 по ГОСТ 14919-83.

Баня водяная (воздушная, песчаная).

Электропечь муфельная с терморегулятором, обеспечивающая температуру нагрева 800-850 °С.

Эксикатор по ГОСТ 25336-82, заполненный силикагелем.

Колба мерная 1-500-2 по ГОСТ 1770-74.

Стакан В-1-500 (600) ТС по ГОСТ 25336-82.

Стаканчики для взвешивания по ГОСТ 25336-82.

Пробирка 11-1 (2) ХС по ГОСТ 25336-82.

Цилиндр мерный 1-500 по ГОСТ 1770-74.

Воронка лабораторная В-75 ХС по ГОСТ 25336-82.

Колба 1-250 по ГОСТ 25336-82.

Фильтр бумажный обеззоленный "белая лента".

силикагель технический по ГОСТ 3956-76, высушенный при 150-180 °С до постоянной массы.

барий хлористый по ГОСТ 4108-72, раствор с массовой долей 10%.

кислота соляная по ГОСТ 3118-77, раствор разбавленный по объему 1:1.

Вода дистиллированная по ГОСТ 6709-72-->ГОСТ 6709-72.

3.7.2. Проведение анализа

Взвешивают 10,0-10,5 г сернокислого натрия высшего сорта (5,0-5,5 г остальных сортов), полученного по п.3.4 (результат взвешивания в граммах записывают с точностью до четвертого десятичного знака), помещают в стакан и растворяют в 300 см3 воды. Стакан с раствором нагревают на плитке до кипения. Затем выдерживают на водяной бане при температуре 70-80 °С в течение 30 мин.

Раствор фильтруют в мерную колбу вместимостью 500 см3 через бумажный фильтр "белая лента", предварительно промытый водой и высушенный в стаканчике для взвешивания до постоянной массы, либо через высушенный до постоянной массы стеклянный тигель (результат взвешивания в граммах записывают с точностью до четвертого десятичного знака). Остаток на фильтре промывают горячей водой до отрицательной реакции на сульфат-ион (проба с раствором хлористого бария в солянокислой среде).

Фильтрат в колбе по охлаждении доводят водой до метки, тщательно перемешивают и оставляют для дальнейших анализов.

Фильтр в стаканчике для взвешивания или фильтрующий тигель с промытым нерастворимым остатком высушивают до постоянной массы при температуре 105-110 °С, охлаждают в эксикаторе и взвешивают (результат взвешивания в граммах записывают с точностью до четвертого десятичного знака).

3.7.3. Обработка результатов

Массовую долю нерастворимого в воде остатка (X1) в процентах вычисляют по формуле где m1 - масса стаканчика для взвешивания с фильтром и нерастворимым остатком после высушивания (масса фильтрующего тигля с нерастворимым остатком после высушивания), г;
m2 - масса стаканчика для взвешивания с сухим фильтром (масса фильтрующего тигля), г;

m - масса навески сернокислого натрия, г;

X5 - массовая доля воды, найденная по п.3.12, %.

За результат анализа принимают среднее арифметическое результатов двух параллельных определений, относительное расхождение между которыми не превышает допускаемое расхождение, равное 15% для высшего сорта, 10% для 1-го и 2-го сортов (марки А) и 3% для марки Б, при доверительной вероятности P=0,95.

3.7.1-3.7.3. (Измененная редакция, Изм. N 2).

3.8. Определение массовой доли хлоридов в пересчете на Хлористый натрий

3.8.1. Объемный аргентометрический метод

3.8.1.1. Аппаратура, реактивы, растворы

Весы лабораторные общего назначения по ГОСТ 24104-88 2-го и 3-го классов точности с наибольшими пределами взвешивания 200 и 500 г соответственно.

Гири Г-2-210 и Г-3-210 по ГОСТ 7328-82.

Пипетки 3-2-100, 1-2-0,5 или 4-2-1 по нормативно-технической документации.

Колба Кн-1(2)-250 ТС по ГОСТ 25336-82.

Бюретки 3-2-25-0,1 или 6-2-5-0,02 по нормативно-технической документации.

Серебро азотно-кислое по ГОСТ 1277-75, раствор концентрации  c(AgNO3)=0,05 моль/дм3.
Калий хромовокислый по ГОСТ 4459-75, раствор с массовой долей 10%.

Вода дистиллированная по ГОСТ 6709-72-->ГОСТ 6709-72.

(Измененная редакция, Изм. N 2).

3.8.1.2. Проведение анализа

100 см3 раствора, приготовленного по п.3.7.2, пипеткой отбирают в коническую колбу вместимостью 250 см3. Прибавляют 0,5 см3 раствора хромовокислого калия и титруют раствором азотно-кислого серебра при энергичном взбалтывании содержимого колбы до появления неисчезающей слабой красновато-коричневой окраски суспензии.

3.8.1.3. Обработка результатов

Массовую долю хлоридов в пересчете на Хлористый натрий (X2) в процентах вычисляют по формуле где V - объем раствора азотно-кислого серебра концентрации  c(AgNO3)=0,05 моль/дм(точно), израсходованный на титрование, см3;

0,002922 - масса хлористого натрия в граммах, соответствующая 1 см3 раствора азотно-кислого серебра концентрации точно  c(AgNO)=0,05 моль/дм3;

m - масса навески сернокислого натрия, г;

X5 - массовая доля воды, найденная по п.3.12, %.

За результат анализа принимают среднее арифметическое результатов двух параллельных определений, относительное расхождение между которыми не превышает допускаемое расхождение, равное 20% для высшего сорта, 10% - для 1-го и 2-го сортов (марки А) и 5% - для марки Б при доверительной вероятности P=0,95.

При разногласиях в оценке массовой доли хлоридов анализ проводят объемным аргентометрическим методом.

(Измененная редакция, Изм. N1, 2).

3.8.2. Объемный меркуриметрический метод

3.8.2.1. Аппаратура, реактивы, растворы

Весы лабораторные общего назначения по ГОСТ 24104-88 2-го и 3-го классов точности с наибольшими пределами взвешивания 200 и 500 г соответственно.

Гири Г-2-210 и Г-3-210 по ГОСТ 7328-82.

Бюретки 3-2-25-0,1 или 6-2-5-0,02 по нормативно-технической документации.

Пипетка 3-2-100 по нормативно-технической документации.

Колба Кн-1(2)-250 ТС по ГОСТ 25336-82.

Электропечь муфельная с терморегулятором, обеспечивающая температуру нагрева 500 °С.

Капельница по ГОСТ 25336-82.

Цилиндры мерные 1-10 (50, 100) по ГОСТ 1770-74.

Ртути окись желтая по ГОСТ 5230-74.

Кислота азотная по ГОСТ 4461-77 концентрированная, раствор плотностью 1,3 г/см3 и раствор концентрации  c(HNO3)=0,1 моль/дм3.

Ртуть (II) азотно-кислая 1-водная по ГОСТ 4520-78, раствор концентрации  c(1/2Hg(NO3)2·H2O)=0,05 моль/дм3; готовят следующим образом: 8,6 г ртути (II) азотно-кислой 1-водной растворяют в 500 см3 воды, добавляют 4 см3 азотной кислоты плотностью 1,3 г/см3 и доводят объем раствора водой до 1 дм3. Раствор можно готовить также из окиси желтой ртути по ГОСТ 5230-74 следующим образом: 5,42 г желтой ртути растворяют при нагревании в небольшом количестве концентрированной азотной кислоты и разбавляют водой в мерной колбе до 1000 см3. Поправочный коэффициент (K) устанавливают по хлористому натрию, прокаленному при 500 °С до постоянной массы, путем титрования со смешанным индикатором в условиях проведения анализа, как указано в п.3.8.2.2.

Натрий хлористый по ГОСТ 4233-77.

Спирт этиловый ректификованный технический по ГОСТ 18300-87 высшего сорта.

Бромфеноловый синий водорастворимый (индикатор).

Дифенилкарбазон (индикатор).

Индикатор смешанный готовят следующим образом: 0,5 г дифенилкарбазона растворяют в 70-80 см3 теплого этилового спирта, нагретого до 50-60 °С, прибавляют 0,05 г бромфенолового синего, перемешивают до растворения, охлаждают и доводят объем раствора спиртом до 100 см3.

Натрия гидроокись по ГОСТ 4328-77, раствор концентрации  c(NaOH)=0,1 моль/дм3.

Вода дистиллированная по ГОСТ 6709-72-->ГОСТ 6709-72.

(Измененная редакция,Изм. N 1, 2).

3.8.2.2. Проведение анализа

100 см3 раствора, приготовленного в соответствии с п.3.7.2, пипеткой отбирают в коническую колбу вместимостью 250 см3. Прибавляют 15 капель раствора смешанного индикатора и нейтрализуют раствором азотной кислоты концентрации  c(HNO3)=0,1 моль/дм3, если индикатор окрасился в синий цвет, или раствором гидроокиси натрия, если индикатор окрасился в желтый цвет, прибавляют 5 капель избытка той же кислоты. Затем титруют раствором азотно-кислой ртути из бюретки 6-2-5-0,02 до изменения желтого цвета раствора в розово-сиреневый (рН 3,0-3,3).

3.8.2.3. Обработка результатов

Массовую долю хлоридов в пересчете на Хлористый натрий (X`2) в процентах вычисляют по формуле где V - объем раствора ртути (II) азотно-кислой 1-водной концентрации точно с(1/2 Hg(NO3)2·H2O)=0,05 моль/дм3, израсходованный на титрование, см3;

0,002922 - масса хлористого натрия в граммах, соответствующая 1 см3 раствора азотно-кислой 1-водной ртути (II) концентрации точно  c(1/2Hg(NO3)2·H2O)=0,05 моль/дм3;

m - масса навески сернокислого натрия, г;

X5 - массовая доля воды, определенная в соответствии с п.3.12, %.

За результат анализа принимают среднее арифметическое результатов двух параллельных определений, относительное расхождение между которыми не превышает допускаемое расхождение, равное 20% для высшего сорта, 10% - для 1-го и 2-го сортов (марки А) и 5% - для марки Б, при доверительной вероятности P=0,95.

3.8.2.2, 3.8.2.3. (Измененная редакция, Изм. N 2).

3.9. Определение массовой доли сернокислого кальция

3.9.1. Аппаратура, реактивы, растворы

Весы лабораторные общего назначения по ГОСТ 24104-88 2-го и 3-го классов точности с наибольшими пределами взвешивания 200 и 500 г соответственно.

Гири Г-2-210 и Г-3-210 по ГОСТ 7328-82.

Пипетки 3-2-10 (25, 100) по нормативно-технической документации.

Ступка фарфоровая с пестиком по ГОСТ 9147-80.

Бюретка 3-2-5-0,02 по нормативно-технической документации.

Капельницы по ГОСТ 25336-82.

Чаша выпарная по ГОСТ 25336-82.

Колбы мерные 1-100 (500, 1000) - 2 по ГОСТ 1770-74.

Колба Кн-1 (2)-500 ТС по ГОСТ 25336-82.

Цилиндры мерные 1-10 (25, 50, 100) по ГОСТ 1770-74.

Калия гидроокись по ГОСТ 24363-80, раствор концентрации  c(KOH)=5 моль/дм3 и раствор с массовой долей 10%.

Триэтаноламин, раствор с массовой долей 25%, готовят следующим образом: пипеткой отбирают 25 см3 триэтаноламина в мерную колбу вместимостью 100 см3, вводят объем раствора водой до метки и перемешивают.

Спирт этиловый технический по ГОСТ 17299-78 высшей очистки.

Натрий хлористый для спектрального анализа.

Кислотный хром темно-синий или кислотный хром сине-черный (индикаторы), готовят следующим образом: 0,2 г индикатора растворяют в смеси 30 см3 спирта с 20 см3 триэтаноламина.

Флуорексон (индикатор).

Тимолфталексон (индикатор).

Смешанный индикатор, готовят следующим образом: 0,1 г фрлуорексона и 0,1 г тимолфталексона растирают в ступке с 15 г хлористого калия.

Калий хлористый по ГОСТ 4234-77.

Цинк по ГОСТ 3640-79 марки ЦВ или ЦО.

Раствор соли цинка концентрации  c(Zn2+)=0,05 моль/дм3, готовят по ГОСТ 10398-76.

Буферный раствор с pH 9,5-10; готовят следующим образом: 54 г хлористого аммония растворяют в 200 см3 воды, к полученному раствору прибавляют 350 см3 аммиака и доводят объем раствора водой до 1 дм3.

Эриохром черный Т (хромоген черный ЕТ-00); индикаторная смесь; готовят следующим образом: 0,25 г индикатора растирают в ступке с 25 г хлористого натрия или хлористого калия.

Аммоний хлористый по ГОСТ 3773-72.

аммиак водный по ГОСТ 3760-79.

Соль динатриевая этилендиамин N, N, N', N'-тетрауксусной кислоты 2-водная (трилон б) по ГОСТ 10652-73 молярной концентрации c(C10H14N2Na2O8·2H2O)=0,025 и 0,005 моль/дм3. Раствор концентрации c(C10H14N2Na2O8·2H2O)=0,025 моль/дм3 готовят следующим образом: 9,3 г трилона Б растворяют в воде, фильтруют, если раствор мутный, в мерную колбу вместимостью 1 дм3, доводят объем раствора водой до метки и тщательно перемешивают. Поправочный коэффициент (коэффициент молярности) раствора трилона Б (K) концентрации 0,025 моль/дм3 устанавливают по ГОСТ 10398-76, разд.3, отбирая 10 см3 раствора соли цинка (что соответствует 20 см3 раствора концентрации точно 0,025 моль/дм3). Раствор концентрации c(C10H14N2Na2O8·2H2O)=0,005 моль/дм3 готовят точным разбавлением водой раствора концентрации c(C10H14N2Na2O8·2H2O)=0,025 моль/дм3 в соотношении 1:5.

Вода дистиллированная по ГОСТ 6709-72-->ГОСТ 6709-72.

3.9.2. Проведение анализа

100 см3 раствора, приготовленного по п.3.7.2, пипеткой отбирают в коническую колбу вместимостью 250 см3, добавляют 2 см3 раствора триэтаноламина, 2-3 см3 раствора гидроокиси калия с массовой долей 10%, 1 см3 раствора индикатора кислотного хром темно-синего или три капли кислотного хром сине-черного и титруют при помешивании 0,005 моль/дмраствором трилона Б до перехода окраски раствора в сиреневую или в голубую соответственно.

Титрование сернокислого кальция можно проводить со смешанным индикатором, для чего 100 см3 раствора, полученного в соответствии с п.3.7.2, отбирают пипеткой в коническую колбу вместимостью 500 см3, добавляют 5 см3 раствора гидроокиси калия концентрации c(KOH)=5 моль/дм3, добавляют на кончике шпателя смешанный индикатор и титруют из бюретки раствором трилона Б концентрации c(C10H14N2Na2O8·2H2O)=0,005 моль/дм3 до перехода зеленой окраски раствора в розовую.

3.9.3. Обработка результатов

Массовую долю сернокислого кальция (X3) в процентах вычисляют по формуле где V - объем раствора трилона Б концентрации c(C10H14N2Na2O8·2H2O)=0,005 моль/дм3, израсходованный на титрование, см3;

K - поправочный коэффициент раствора трилона Б концентрации c(C10H14N2Na2O8·2H2O)=0,025 моль/дм3;

0,0006808 - масса сернокислого кальция в граммах, соответствующая 1 см3 раствора трилона Б концентрации точно c(C10H14N2Na2O8·2H2O)=0,005 моль/дм3;

m - масса навески сернокислого натрия, г;

X5 - массовая доля воды, определенная по п.3.12, %.

За результат анализа принимают среднее арифметическое результатов двух параллельных определений, относительное расхождение между которыми не превышает допускаемое расхождение, равное 20% при доверительной вероятности P=0,95.

3.9.1-3.9.3. (Измененная редакция, Изм. N 2).

3.10. Определение массовой доли ионов магния

3.10.1. Аппаратура, реактивы, растворы

Эриохром черный Т или кислотный хром темно-синий (индикаторы); готовят следующим образом: 0,2 г индикатора растворяют в смеси 30 см3 спирта и 20 см3 триэтаноламина.

Весы лабораторные общего назначения по ГОСТ 24104-88 2-го и 3-го классов точности с наибольшими пределами взвешивания 200 и 500 г соответственно.

Гири Г-2-210 и Г-3-210 по ГОСТ 7328-82.

Пипетки 3-2-100 по нормативно-технической документации.

Бюретка 3-2-5-0,02 по нормативно-технической документации.

Капельницы по ГОСТ 25336-82.

Колба Кн-1 (2)-500 ТС по ГОСТ 25336-82.

Цилиндры мерные 1-10 (25, 50, 100, 1000) по ГОСТ 1770-74.

Колба мерная 1-1000-2 по ГОСТ 1770-74.

Аммоний хлористый по ГОСТ 3773-72.

аммиак водный по ГОСТ 3760-79.

Аммиачный буферный раствор (pH 10); готовят следующим: образом: 67 г хлористого аммония растворяют в воде, прибавляют 570 см3 аммиака и объем раствора доводят водой до 1 дм3.

Соль динатриевая этилендиамин-N, N, N', N'-тетрауксусной кислоты 2-водная (трилон б) по ГОСТ 10652-73, раствор концентрации c(C10H14N2Na2O8·2H2O)=0,025 и 0,005 моль/дмготовят и устанавливают поправочный коэффициент в соответствии с п.3.9.1.

Вода дистиллированная по ГОСТ 6709-72-->ГОСТ 6709-72.

3.10.2. Проведение анализа

100 см3 раствора, полученного в соответствии с п.3.7.2, отбирают пипеткой в коническую колбу вместимостью 250 см3, добавляют 10 см3 аммиачного буферного раствора, 5-7 капель индикатора и титруют из бюретки раствором Б концентрации c(C10H14N2Na2O8·2H2O)=0,005 моль/дм3 до перехода малиновой окраски раствора в синюю.

3.10.3. Обработка результатов

Массовую долю ионов магния (X4) в процентах вычисляют по формуле где V - объем раствора трилона Б концентрации c(C10H14N2Na2O8·2H2O)=0,005 моль/дм3, израсходованный на титрование ионов кальция в соответствии с п.3.9.2, см3;

V1 - объем раствора трилона Б концентрации c(C10H14N2Na2O8·2H2O)=0,005 моль/дм3, израсходованный на титрование ионов кальция и магния, см3;

K - поправочный коэффициент раствора трилона Б концентрации c(C10H14N2Na2O8·2H2O)=0,025 моль/дм3;

0,0001216 - масса ионов магния в граммах, соответствующая 1 см3 раствора трилона Б концентрации точно (CHNNaO·2HO)=0,005 моль/дм3;

m - масса навески сернокислого натрия, г;

X5 - массовая доля воды, определенная в соответствии с п.3.12, %.

За результат анализа принимают среднее арифметическое результатов двух параллельных определений, относительное расхождение между которыми не превышает допускаемое расхождение, равное 20%, при доверительной вероятности P=0,95.

3.10.1-3.10.3. (Измененная редакция, Изм. N 2).

3.11. Определение массовой доли железа в пересчете на Fe2O3

3.11.1. Аппаратура, реактивы, растворы

Весы лабораторные общего назначения по ГОСТ 24104-88 2-го и 3-го классов точности с наибольшими пределами взвешивания 200 и 500 г соответственно.

Гири Г-2-210 и Г-3-210 по ГОСТ 7328-82.

Плитка электрическая закрытого типа ЭПШ 1-08-220 по ГОСТ 14919-83.

Колбы мерные 1-250 (500, 1000) - 2 по ГОСТ 1770-74.

Бюретка 3-2-50-0,1 по нормативно-технической документации.

Колба Кн-1 (2)-50 (250) ТС по ГОСТ 25336-82.

Цилиндры мерные 1-10 (25, 50, 100) по ГОСТ 1770-74.

Пипетки 3-2-20 (25) по нормативно-технической документации.

Кислота сульфосалициловая по ГОСТ 4478-78, раствор с массовой долей 10%.

Кислота серная по ГОСТ 4204-77.

кислота соляная по ГОСТ 3118-77.

аммиак водный по ГОСТ 3760-79, раствор с массовой долей 10%.

Квасцы железоаммонийные.

Вода дистиллированная по ГОСТ 6709-72-->ГОСТ 6709-72.

Раствор А, содержащий 0,1 мг Fe2O3 в 1 см3, готовят следующим образом: 0,6039 г железоаммонийных квасцов помещают в мерную колбу вместимостью 1 л, растворяют в воде, подкисленной 4 см3 серной кислоты, и объем раствора доводят до метки.

Раствор Б, содержащий 0,004 мг Fe2O3 в 1 см3, готовят следующим образом: 20 смраствора А переносят в мерную колбу вместимостью 500 см3, доводят объем раствора водой до метки и тщательно перемешивают.

Раствор В, содержащий 0,006 мг Fe2O3 в 1 см3, готовят следующим образом: 30 смраствора А переносят в мерную колбу вместимостью 500 см3, доводят объем раствора водой до метки и тщательно перемешивают.

Раствор Г, содержащий 0,012 мг Fe2O3 в 1 см3, готовят следующим образом: 60 смраствора А переносят в мерную колбу вместимостью 500 см3, доводят объем раствора водой до метки и тщательно перемешивают.

3.11.2. Проведение анализа

10 г сернокислого натрия, полученного по п.3.4, взвешивают (результат взвешивания в граммах записывают с точностью до второго десятичного знака), помещают в коническую колбу вместимостью 250 см3, приливают 44 см3 воды, 6 см3 соляной кислоты, закрывают часовым стеклом и кипятят на электрической плитке 15-20 мин, затем приливают дополнительно 50 смводы и оставляют стоять на теплой плитке 20-30 мин. Затем раствор переносят в мерную колбу вместимостью 250 см3, доводят объем раствора водой до метки и тщательно перемешивают. 25 см3 раствора пипеткой отбирают в коническую колбу вместимостью 50 см3, прибавляют 3 смсульфосалициловой кислоты и 8 см3 раствора аммиака, тщательно перемешивая после добавления каждого реактива.

Продукт считают соответствующим требованиям настоящего стандарта, если появившаяся окраска анализируемого раствора не будет интенсивнее окраски раствора, приготовленного следующим образом: 25 см3 раствора Б (для марки А высшего сорта) или раствора В (для марки А 1-го сорта) или Г (для марки А 2-го сорта и марки Б) помещают в коническую колбу вместимостью 50 см3, прибавляют 3 см3 сульфосалициловой кислоты и 8 см3 аммиака, тщательно перемешивая после добавления каждого реактива.

3.11-3.11.2. (Измененная редакция, Изм. N 2).

3.12. Определение массовой доли воды

3.12.1. Высушивание в сушильном шкафу

3.12.1а. Аппаратура, реактивы, растворы

Весы лабораторные общего назначения по ГОСТ 24104-88 2-го и 3-го классов точности с наибольшими пределами взвешивания 200 и 500 г соответственно.

Гири Г-2-210 и Г-3-210 по ГОСТ 7328-82.

Шкаф электрический сушильный, обеспечивающий температуру нагрева 150-200 °С.

Плитка электрическая закрытого типа ЭПШ 1-08-220 по ГОСТ 14919-83.

Стаканчики для взвешивания по ГОСТ 25336-82.

Эксикатор по ГОСТ 25336-82, заполненный силикагелем.

силикагель технический по ГОСТ 3956-76, высушенный при 150-180 °С до постоянной массы.

(Введен дополнительно, Изм. N 2).

3.12.1.1. Проведение анализа

10,0-10,5 г сернокислого натрия, полученного в соответствии с п.3.4, помещают в предварительно высушенный и взвешенный стаканчик, взвешивают (результат взвешивания в граммах записывают с точностью до четвертого десятичного знака) и сушат в сушильном шкафу при 180-200 °С до постоянной массы. Первое взвешивание проводят через 1 ч после начала сушки, последующие - через каждые 30 мин. Перед взвешиванием стаканчик с навеской охлаждают в эксикаторе. Постоянную массу считают достигнутой, если разница между двумя последовательными взвешиваниями не превышает 0,0005 г.

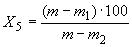
3.12.1.2. Обработка результатов

Массовую долю воды (X5) в процентах вычисляют по формуле где m - масса стаканчика для взвешивания с навеской до сушки, г;
m1 - масса стаканчика для взвешивания с навеской после сушки, г;

m2 - масса стаканчика для взвешивания, г.

За результат анализа принимают среднее арифметическое результатов двух параллельных определений, относительное расхождение между которыми не превышает допускаемое расхождение, равное 20, 10, 5 и 3,5% при массовой доле воды не более 0,1, 1,0, 4,0 и 7,0% соответственно, при доверительной вероятности P=0,95.

При разногласиях в оценке массовой доли воды анализ проводят высушиванием в сушильном шкафу.

3.12.1.1, 3.12.1.2. (Измененная редакция, Изм. N 2).

3.12.2. Высушивание с помощью зеркальной термоизлучательной инфракрасной лампы ЗС-3

3.12.2.1. Аппаратура и реактивы

Весы лабораторные общего назначения по ГОСТ 24104-88 2-го класса точности с наибольшим пределом взвешивания 200 г.

Гири Г-2-210 по ГОСТ 7328-82.

Лампа зеркальная термоизлучательная инфракрасная ЗС-3 220х500, р40.

Штатив для установки лампы.

Кожух из непрозрачного материала (жести) для защиты глаз.

Лист асбестовый размером 400х400 мм (под асбест следует подложить мраморную или керамическую плитку).

Кюветы алюминиевые размером 60х60 мм и высотой 7-10 мм.

Стекла для закрывания кювет.

Устройство охлаждающее: используется поверхность магнитной мешалки ММ-2 или полого сосуда из жести в форме коробки размером 100х100х30 мм, через которые пропускают проточную водопроводную воду.

Спирт этиловый технический по ГОСТ 17299-78 высшей очистки.

3.12.2.2. Проведение анализа

Лампу фиксируют на штативе на высоте 50-100 мм от поверхности стола, покрытого мраморной или керамической плиткой и асбестом и включают ее.

2-5 г сернокислого натрия, полученного по п.3.4, помещают в кювету, предварительно высушенную и взвешенную, распределяют ровным слоем, кювету покрывают стеклом и взвешивают (результат взвешивания в граммах записывают с точностью до четвертого десятичного знака).

Открытую кювету с навеской сернокислого натрия, смоченной спиртом, ставят под лампу и продукт сушат в течение 10 мин.

После окончания сушки кювету покрывают стеклом, ставят на 5 мин охлаждать на охлаждающую поверхность и взвешивают.

3.12.2.3. Обработка результатов

Массовую долю воды (X`5) в процентах вычисляют по формулегде m1 - масса кюветы с навеской после сушки, г;

m2 - масса кюветы, г;

m - масса кюветы с навеской до сушки, г.

За результат анализа принимают среднее арифметическое результатов двух параллельных определений, относительное расхождение между которыми не превышает допускаемое расхождение, равное 20, 10, 5 и 3,5% при массовой доле воды не более 0,1, 1,0, 4,0 и 7,0% соответственно, при доверительной вероятности P=0,95.

3.12.2.1-3.12.2.3. (Измененная редакция, Изм. N 2).

3.13. Определение белизны - по ГОСТ 22567.13-82.

(Введен дополнительно, Изм. N 2).

4. УПАКОВКА, МАРКИРОВКА, ТРАНСПОРТИРОВАНИЕ И ХРАНЕНИЕ

4.1. Сернокислый натрий упаковывают в четырех-пятислойные непропитанные бумажные мешки марок НМ или БМ по ГОСТ 2226-88 или при смешанных железнодорожно-водных перевозках в льно-джуто-кенафные мешки с уплотненной кромкой по ГОСТ 8516-78 не ниже четвертой категории или по ГОСТ 18225-72.

Масса нетто мешка - не более 50 кг.

По соглашению с потребителем допускается транспортировать сернокислый натрий в специальных мягких контейнерах, содовозах или навалом в сухих чистых закрытых железнодорожных вагонах или в трюмах судов.

4.2. Транспортная маркировка - по ГОСТ 14192-77 с нанесением манипуляционного знака "Боится сырости" и следующих дополнительных данных, характеризующих продукт:

а) наименования, марки и сорта продукта;

б) номера партии;

в) даты изготовления;

г) обозначения настоящего стандарта.

4.1, 4.2. (Измененная редакция, Изм. N 1).

4.3. (Исключен, Изм. N 1).

4.4. Сернокислый натрий транспортируют всеми видами наземного и морского транспорта в соответствии с правилами перевозки грузов, действующими на данном виде транспорта.

Транспортирование сернокислого натрия, упакованного в мешки, с 1 января 1986 г. должно производиться пакетами в соответствии с правилами перевозки грузов, действующими на данном виде транспорта, в крытых транспортных средствах.

Пакеты формируют размещением мешков с продуктом на плоском поддоне.

Габариты пакета 1240х840х1350 мм, масса брутто не более 1,25 т.

Средства скрепления мешков в пакетах - по ГОСТ 21650-76.

При транспортировании в железнодорожных вагонах пакеты размещают в два ряда по ширине вагона и в два яруса по его высоте.

Контейнеры транспортируют в железнодорожных полувагонах в соответствии с правилами перевозки грузов, действующими на данном виде транспорта.

(Измененная редакция, Изм. N 1).

4.5. Сернокислый натрий, упакованный в мешки и поставляемый навалом, должен храниться в закрытом складском помещении.

4.6. При транспортировании и хранении, погрузке и разгрузке сернокислого натрия должно быть исключено его увлажнение и загрязнение.

5. ГАРАНТИИ ИЗГОТОВИТЕЛЯ

5.1. Изготовитель должен гарантировать соответствие сернокислого натрия требованиям настоящего стандарта при соблюдении условий транспортирования и хранения, установленных настоящим стандартом.

5.2. Гарантийный срок хранения - шесть месяцев со дня изготовления.

(Измененная редакция, Изм. N 1).

6. ТРЕБОВАНИЯ БЕЗОПАСНОСТИ

6.1. Сернокислый натрий пожаро- и взрывобезопасен.

Предельно допустимая концентрация сернокислого натрия в воздухе рабочей зоны производственных помещений - 10 мг/м3. По степени воздействия на организм человека продукт относится к веществам 4-го класса опасности (ГОСТ 12.1.005-88).

(Измененная редакция, Изм. N 2).

6.2. Все работы с сернокислым натрием проводятся в спецодежде в соответствии с типовыми отраслевыми нормами, утвержденными постановлением Государственного комитета СССР по труду и социальным вопросам и Президиума ВЦСПС.


официальное издание
М.: Издательство стандартов, 1993