Изопропилнитрат ГОСТ 26295-84
Изопропилнитрат. Технические условия (с Изменением N 1) ГОСТ 26295-84
ГОСТ 26295-84
Группа Л21
ГОСУДАРСТВЕННЫЙ СТАНДАРТ СОЮЗА ССР
ИЗОПРОПИЛНИТРАТ
Технические условия
Isopropylnitrate. Specifications
ОКП 24 3578 0100
Срок действия с 01.01.86
до 01.01.91
РАЗРАБОТАН Министерством химической промышленности
ИСПОЛНИТЕЛИ
Е.А.Сиволодский, д-р техн. наук; А.П.Осмоловский, канд. техн. наук; Г.П.Воронина
ВНЕСЕН Министерством химической промышленности
Зам. министра В.С.Смирнов
УТВЕРЖДЕН И ВВЕДЕН В ДЕЙСТВИЕ Постановлением Государственного комитета СССР по стандартам от 28 сентября N 3433 1984 г.
ВНЕСЕНО Изменение N 1, утвержденное и введенное в действие Постановление Госстандарта СССР от 08.06.1990 N 1453 c 01.01.1991
Изменение N 1 внесено изготовителем базы данных по тексту ИУС N 9, 1990 год
Настоящий стандарт распространяется на изопропилнитрат, представляющий собой легкоподвижную однородную жидкость, бесцветную или слегка окрашенную в желтый цвет, обладающую эфирным запахом.
Изопропилнитрат предназначен для применения в качестве присадки к дизельным топливам и других целей.
Изопропилнитрат получают этерификацией изопропилового спирта азотной кислотой.
Молекулярная масса изопропилнитрата по международным атомным массам 1971 г. - 105,092.
1. ТЕХНИЧЕСКИЕ ТРЕБОВАНИЯ
1.1. Изопропилнитрат должен быть изготовлен в соответствии с требованиями настоящего стандарта по технологическому регламенту, утвержденному в установленном порядке.
1.2. Физико-химические показатели изопропилнитрата должны соответствовать нормам, указанным в табл.1.
Таблица 1
|
Наименование показателя |
Норма |
Метод анализа |
|
1. Плотность при 20 °С, г/см3 |
1,030-1,050 |
По ГОСТ 18995.1-73, ГОСТ 3900-85 и п.4.3 настоящего стандарта |
|
2. Фракционный состав: |
По ГОСТ 2177-82* и п.4.4 настоящего стандарта |
|
|
________________ |
||
|
температура начала перегонки, °С, не ниже |
98 |
|
|
10% перегоняется до температуры, °С, не ниже |
99 |
|
|
50% перегоняется до температуры, °С, не ниже |
101 |
|
|
90% перегоняется до температуры, °С, не выше |
106 |
|
|
98% перегоняется до температуры, °С, не выше |
108 |
|
|
остаток и потери продукта в сумме, %, не более |
2 |
|
|
3. Массовая доля воды, %, не более |
0,03 |
По ГОСТ 24614-81 и п.4.5 настоящего стандарта |
|
4. Кислотность, мг KOH/100 см3 продукта, не более |
1,0 |
По п.4.6 |
|
5. Массовая доля изопропилнитрита, %, не более |
0,1 |
По п.4.7 |
|
6. Массовая доля механических примесей, %, не более |
0,01 |
По ГОСТ 6370-83 |
|
|
||
(Измененная редакция, Изм. N 1).
1.3. Готовый продукт должен подвергаться 20 мкм фильтрации через фильтр с фильтрующим элементом ФЭП.
2. ТРЕБОВАНИЯ БЕЗОПАСНОСТИ
2.1. Изопропилнитрат - легковоспламеняющаяся жидкость, категории ПА-Т4 по ГОСТ 12.1.011-78*, по степени воздействия на организм относится к 3-му классу опасности по ГОСТ 12.1.007-76.
________________
* На территории Российской Федерации документ не действует. Действует ГОСТ Р 51330.2-99, ГОСТ Р 51330.5-99, ГОСТ Р 51330.11-99, ГОСТ Р 51330.19-99, здесь и далее по тексту. - Примечание изготовителя базы данных.
2.2. Предельно допустимая концентрация изопропилнитрата в воздухе рабочей зоны - 5 мг/м3. Концентрацию изопропилнитрата в воздухе рабочей зоны определяют в соответствии с требованиями, утвержденными Минздравом СССР или соответствующими ГОСТ 12.1.016-79.
(Измененная редакция, Изм. N 1).
2.3. Изопропилнитрат ядовит, действует на организм человека через верхние дыхательные пути и поврежденную кожу, вызывая раздражение слизистых оболочек дыхательных путей, кашель, головную боль, понижение кровяного давления.
2.4. Меры оказания первой помощи.
При ингаляционном отравлении необходимо освободить пострадавшего от стесняющей дыхание одежды, обеспечить свежий воздух, полный покой и вызвать медицинскую службу.
При попадании изопропилнитрата на кожу и глаза необходимо пораженное место обильно промыть водой.
2.5. Не допускается совместное хранение изопропилнитрата с кислотами.
2.6. Температура самовоспламенения изопропилнитрата 175 °С, температура вспышки в закрытом тигле 6 °С.
Нижний концентрационный предел воспламенения (по объему) 1,9%, верхний 100%.
Нижний температурный предел воспламенения 6 °С, верхний 99 °С.
При взаимодействии с открытым огнем изопропилнитрат разлагается с выделением воды, азота, окислов углерода, окислов азота.
2.7. Все работы с изопропилнитратом должны проводиться вдали от огня и источников искрообразования при соблюдении требований пожарной безопасности в соответствии с ГОСТ 12.1.004-85*.
________________
* На территории Российской Федерации документ не действует. Действует ГОСТ 12.1.004-91. - Примечание изготовителя базы данных.
При сливо-наливных операциях необходимо соблюдать правила защиты от статического электричества и требования безопасности в соответствии с ГОСТ 12.1.018-86*.
________________
* На территории Российской Федерации документ не действует. Действует ГОСТ 12.1.018-93. - Примечание изготовителя базы данных.
Электрооборудование должно быть во взрывобезопасном исполнении в соответствии с правилами устройства электрооборудования.
При работе с изопропилнитратом металлические части производственных помещений и хранилищ, средства перекачки и транспортирования должны быть заземлены. Для перекачки изопропилнитрата применяют насосы по ГОСТ 10392-89 и рукава по ГОСТ 5398-76.
2.6, 2.7. (Измененная редакция, Изм. N 1).
2.8. Запрещается слив и перекачка изопропилнитрата с помощью сжатого воздуха.
2.9. При работе с изопропилнитратом, а также при промывке и обработке аппаратуры и тары из-под него, необходимо использовать средства индивидуальной защиты, при очистке резервуара дополнительно специальные пояса с крестообразными лямками, обеспечивающими вертикальное положение тела; фильтрующие противогазы, при ремонтных работах в закрытых емкостях - шланговые противогазы или изолирующие.
2.10. Помещения, в которых проводится работа с изопропилнитратом, должны быть оборудованы приточно-вытяжной (кратность обмена 8-10), местной и аварийной вентиляцией, отвечающей требованиям ГОСТ 12.4.021-75, а производственные процессы - герметизированы.
(Измененная редакция, Изм. N 1).
2.11. Для тушения изопропилнитрата используют воздушно-механические и химические пены, состав СЖБ.
3. ПРАВИЛА ПРИЕМКИ
3.1. Изопропилнитрат принимают партиями. Партией считают количество продукта, однородного по своим показателям качества, одновременно отправляемого в один адрес и сопровождаемого одним документом о качестве, содержащим:
наименование предприятия-изготовителя и его товарный знак;
наименование продукта;
номер партии;
количество упаковочных единиц продукции в партии;
дату изготовления;
массу брутто и нетто;
результаты анализов;
обозначение настоящего стандарта.
Масса партии должна быть не более 5000 кг.
3.2. Объем выборки - по ГОСТ 2517-85.
(Измененная редакция, Изм. N 1).
3.3. При получении неудовлетворительных результатов хотя бы по одному из показателей проводят повторный анализ на удвоенной выборке той же партии. Результаты повторного анализа распространяются на всю партию.
4. МЕТОДЫ АНАЛИЗА
4.1. Отбор проб - по ГОСТ 2517-85. Объем точечной пробы должен быть не более 100 см3.
(Измененная редакция, Изм. N 1).
4.2. Точечные пробы соединяют вместе и полученную объединенную пробу тщательно перемешивают. Объем объединенной пробы должен быть не менее 1000 см3. Объединенную пробу делят на две части, помещают в 2 сухие склянки с притертыми пробками, наклеивают этикетки с указанием наименования продукта, номера партии, даты отбора пробы, фамилии, лица, отобравшего пробу, даты изготовления продукта. Одну склянку передают на анализ, другую (контрольную) хранят в течение 3 мес в сухом прохладном затемненном помещении на случай разногласий в оценке качества продукта.
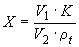
4.3. Определение плотности
Плотность определяют по ГОСТ 18995.1-73 или ГОСТ 3900-85. Для определения плотности применяют ареометры общего назначения типов АОН-1, АОН-2 или ареометры для нефти типов АНТ-1, АНТ-2 по ГОСТ 18481-81.
Допускается измерение плотности при температуре окружающей среды (20±5) °С.
Плотность (p) при 20 °С в г/см3 вычисляют по формуле
где pt - плотность изопропилнитрата при температуре определения, г/см3;
t - температура изопропилнитрата в момент определения, °С;
0,00124 - средняя температурная поправка плотности.
4.4. Для определения фракционного состава изопропилнитрата наряду с металлическим применяют стеклянный холодильник такой же длины и диаметра трубки; термометры лабораторные стеклянные с диапазоном измерения от 0 до 100 °С и от 100 до 200 °С с ценой деления 0,2 °С, погрешностью ±0,2 °С и ±0,4 °С, соответственно.
Нагревание производят на солевой бане, содержащей раствор хлористого кальция с массовой долей 50%, при этом перегонная колба должна быть погружена в солевую баню так, чтобы уровень раствора в бане был выше уровня раствора в колбе.
4.3, 4.4. (Измененная редакция, Изм. N 1).
4.5. Массовую долю воды определяют кулонометрическим методом по ГОСТ 24614-81 или гидридкальциевым методом по п.4.5.1 настоящего стандарта.
При разногласиях в оценке массовой доли воды анализ проводят кулонометрическим методом.
4.5.1. Определение массовой доли воды гидридкальциевым методом
4.5.1.1. Аппаратура и реактивы
Установка для определения массовой доли воды (черт.1), состоящая из:
колбы конической с взаимозаменяемым конусом 29/32, снабженной пробкой с отводной трубкой для водорода и отверстием для ампулы с взаимозаменяемым конусом 14/23 и ампулой, выполненных из химико-лабораторного стекла группы ХС2, толщиной не менее 1,25 мм (черт.2);
склянки для промывания газов (черт.3);
бюретки 3-2-100 по ГОСТ 20292-74* с припаянным в верхней части бюретки трехходовым краном;
________________
* На территории Российской Федерации документ не действует. Действуют ГОСТ 29169-91, ГОСТ 29227-91 - ГОСТ 29229-91, ГОСТ 29251-91 - ГОСТ 29253-91, здесь и далее по тексту. - Примечание изготовителя базы данных.
уравнительного сосуда вместимостью 200 см3.
Черт.1 - Установка для определения массовой доли воды
Установка для определения массовой доли воды
1 - ампула для введения гидрида кальция; 2 - коническая колба; 3 - склянка для промывания газов; 4 - бюретка; 5 - уравнительный сосуд
Черт.1
Черт.2 - Колба для определения массовой доли воды с пробкой и ампулой
Колба для определения массовой доли воды с пробкой и ампулой
1 - ампула; 2 - пробка; 3 - колба
Черт.2
Черт.3 - Склянка для промывания газов
Склянка для промывания газов
Черт.3
Весы лабораторные общего назначения с наибольшим пределом взвешивания 200 г с погрешностью ±0,0003 г.
Часы любой марки.
Термобарогигрометр типа БМ-2 с диапазонами измерения: давления от 91 до 110 кПа, погрешностью ±0,5 кПа; относительной влажности от 30 до 100%, погрешностью ±10%; температуры от 0 до 40 °С, погрешностью ±1,5 °С.
Пипетка 2-2-50 по ГОСТ 20292-74.
Ареометр по ГОСТ 18481-81 типов АОН-1, АОН-2, АНТ-1, АНТ-2.
Ступка фарфоровая N 3 по ГОСТ 9147-80 наибольшим наружным диаметром 90 мм.
Пестик фарфоровый N 2 по ГОСТ 9147-80 высотой 120 мм.
Воронка стеклянная лабораторная типа В по ГОСТ 25336-82, диаметром 25 мм.
Стаканчики для взвешивания (бюксы) по ГОСТ 25336-82 типа СВ с взаимозаменяемым конусом 14/8.
Трубка резиновая вакуумная.
Смазка вакуумная.
Вода дистиллированная по ГОСТ 6709-72-->ГОСТ 6709-72.
Кислота серная по ГОСТ 4204-77, ч.
Ацетон по ГОСТ 2603-79, ч.д.а.
Кальция гидрид, тщательно измельченный в ступке до порошкообразного состояния, сохраняемый в герметично закрытой бане.
(Измененная редакция, Изм. N 1).
4.5.1.2. Подготовка к анализу
Установку для определения массовой доли воды собирают по схеме, приведенной на черт.1.
Бюретку 4 и уравнительный сосуд 5 предварительно наполняют дистиллированной водой. Склянку для промывания газов 3 наполняют серной кислотой так, чтобы конец внутренней трубки был погружен в кислоту на глубину (3±1) мм. Кран бюретки, шлифы колбы и ампулы смазывают вакуумной смазкой.
Собранную установку проверяют на герметичность. Открывают трехходовой кран бюретки на атмосферу. Давлением, создаваемым с помощью уравнительного сосуда, устанавливают уровень воды в бюретке на нулевом делении и это положение фиксируют посредством держателя штатива. Далее поворотом крана установку отключают от атмосферы, уравнительный сосуд опускают до нижнего края бюретки и выдерживают в таком положении в течение 15 мин. После этого поднимают уравнительный сосуд так, чтобы уровень воды в бюретке и уравнительном сосуде совпадали. Установку считают герметичной, если уровень в бюретке установится на нулевом делении; в противном случае необходимо обнаружить течь и устранить ее.
4.5.1.3. Проведение анализа
Анализируемый изопропилнитрат выдерживают около установки до достижения продуктом температуры воздуха помещения. Во время проведения анализа изменение температуры воздуха не должно превышать 0,5 °С.
50 см3 изопропилнитрата пипеткой вносят в колбу установки.
Предварительно устанавливают в бюксе объем, занимаемый (1,0±0,1) г, измельченного гидрида кальция. Для анализа каждый раз берут установленный объем гидрида кальция, не взвешивая.
Ампулу 1 вынимают из колбы и удаляют вакуумную смазку ватой, смоченной ацетоном. Через воронку заполняют ампулу гидридом кальция, шлиф ампулы вновь смазывают тонким слоем вакуумной смазки. Собирают установку. Следят за тем, чтобы гидрид кальция не попал из ампулы в колбу установки.
Поворачивают трехходовой кран бюретки 4 так, чтобы он соединял колбу и бюретку с атмосферой и, поднимая уравнительный сосуд 5, устанавливают уровень воды в бюретке на нуль.
Новым поворотом крана отключают систему от атмосферы, оставив колбу соединенной с бюреткой для насыщения системы парами изопропилнитрата в течение 5 мин. Колбу периодически осторожно встряхивают, не допуская попадания в нее гидрида кальция из ампулы. Снова соединяют колбу и бюретку с атмосферой и устанавливают уровень воды в бюретке на нуль. Отключают установку от атмосферы, оставив соединенными колбу с бюреткой. Поворачивают ампулу 1 по шлифу так, чтобы гидрид кальция высыпался в колбу (не нарушая при этом герметичность установки), и сразу начинают постепенно опускать уравнительный сосуд, поддерживая на одном уровне воду в бюретке и уравнительном сосуде, чтобы в установке не создавалось большое давление или вакуум. Когда закончится энергичное выделение водорода, закрепляют уравнительный сосуд так, чтобы поверхность воды в бюретке и уравнительном сосуде была практически на одном уровне, и затем периодически встряхивают 5-7 раз.
Наблюдение за уровнем воды в бюретке производят при совпадении менисков воды в уравнительном сосуде и бюретке.
Отсчеты объема выделившегося водорода производят через каждые 5 мин до тех пор, пока два последовательных отсчета будут различаться не больше чем на 0,1 мм. Последний отсчет берут для расчета.
4.5.1.4. Обработка результатов
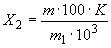
Массовую долю воды (X) в процентах вычисляют по формуле
где V1 - объем выделившегося водорода, см3;
K - коэффициент приведения объема к нормальным условиям, г·%/см3;
V2 - объем изопропилнитрата, взятый для анализа, см3;
pt - плотность изопропилнитрата при температуре определения, г/см3.
Коэффициент приведения объема к нормальным условиям определяют по справочному приложению.
За результат анализа принимают среднее арифметическое двух параллельных определений, абсолютное значение допускаемого расхождения между которыми не должно превышать 0,001%; абсолютное значение суммарной погрешности результата анализа не должно превышать ±0,0025% при доверительной вероятности P=0,95.
4.5.1.3, 4.5.1.4. (Измененная редакция, Изм. N 1).
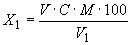
4.6. Определение кислотности
Определение основано на титровании кислоты, экстрагируемой водой, раствором гидроокиси калия c(KOH)=0,01 моль/дм3 (0,01 н) с pH-метрической регистрацией конечной точки.
Предел обнаружения 0,2 мг KOH/100 см3 продукта.
4.6.1. Аппаратура и реактивы
Универсальный иономер типа ЭВ-74 с погрешностью ±0,05 pH по образцовым буферным растворам 2-го разряда.
Электрод стеклянный лабораторный типа ЭСЛ-43-07.
Электрод хлорсеребряный вспомогательный лабораторный типа ЭВЛ-1М3.
Нормальный потенциал хлорсеребряного электрода при 20 °С должен составлять (201±3) мВ, электрическое сопротивление не должно превышать 2·104 Ом.
Мешалка магнитная типа ММ.
Бюретка 1,6-2-1 по ГОСТ 20292-74.
Пипетка 6-2-25 по ГОСТ 20292-74.
Воронка ВД-1-50 по ГОСТ 25336-82.
Стаканы по ГОСТ 25336-82, вместимостью 100 см3.
Вода дистиллированная по ГОСТ 6709-72-->ГОСТ 6709-72.
Калия гидроокись по ГОСТ 24363-80, раствор c(KOH)=0,01 моль/дм3 (0,01 н) готовят по ГОСТ 25794.1-83.
4.6, 4.6.1. (Измененная редакция, Изм. N 1).
4.6.2. Подготовка к анализу
Иономер готовят к работе согласно инструкции по эксплуатации, прилагаемой к прибору.
4.6.3. Проведение анализа
15 см3 изопропилнитрата вносят пипеткой в делительную воронку, прибавляют такой же объем воды, воронку закрывают пробкой и сильно встряхивают в течение 1 мин. После расслаивания верхний водный и нижний слои изопропилнитрата разделяют. Операцию повторяют 3 раза, после чего водные растворы сливают вместе в стеклянный стакан для титрования.
В стакан с водным раствором помещают магнитный стержень и стакан ставят на магнитную мешалку. В раствор опускают стеклянный и хлорсеребряный электроды, включают мешалку и медленно титруют раствором гидроокиси калия, добавляя его по каплям, одновременно регистрируют показания иономера. Титрование прекращают при pH от 3,8 до 4,0.
4.6.4. Обработка результатов
Кислотность (X1) в мг KOH/100 см3 продукта вычисляют по формуле
где V - объем раствора гидроокиси калия c(KOH)=0,01 моль/дм3, израсходованный на титрование, см3;
C - молярная концентрация раствора гидроокиси калия, моль/дм3;
M - молярная масса гидроокиси калия, г/моль;
V1 - объем пробы изопропилнитрата, взятый для анализа, см3.
За результат анализа принимают среднее арифметическое двух параллельных определений, допускаемое расхождение между которыми не должно превышать 0,2 мг KOH/100 см3 изопропилнитрата; суммарная погрешность результата анализа не должна превышать ±0,1 мг KOH/100 см3 изопропилнитрата при доверительной вероятности P=0,95.
(Измененная редакция, Изм. N 1).
4.7. Определение массовой доли изопропилнитрита
Метод основан на реакции омыления изопропилнитрита щелочью до нитрит-иона и определении его с реактивом Грисса-Илосвая.
Предел обнаружения изопропилнитрита 6·10-4%.
4.7.1. Аппаратура и реактивы
Весы лабораторные общего назначения с пределом взвешивания до 200 и 500 г с погрешностью ±0,0003 и ±0,05 г соответственно.
Фотоэлектроколориметр типа ФЭК-56М со светофильтром, имеющим максимум пропускания при длине волны 540 нм.
Кюветы стеклянные с толщиной поглощающего свет слоя 20 мм.
Колба 2-25(100)-2 по ГОСТ 1770-74.
Цилиндр 2-1000-2 по ГОСТ 1770-74.
Пипетки 2-2-1-(2,5) по ГОСТ 20292-74.
Пипетки 6-2-25 по ГОСТ 20292-74.
Пробирки типа П4 по ГОСТ 25336-82, вместимостью 25 см3.
Воронки лабораторные типа В по ГОСТ 25336-82, диаметром 36 мм.
Стаканы В-1-150 по ГОСТ 25336-82.
Фильтры бумажные.
Натрий азотистокислый по ГОСТ 4197-74, х.ч., приготовленный по п.4.7.2.3.
Спирт изопропиловый технический по ГОСТ 9805-84.
Натрия гидроокись по ГОСТ 4328-77, х.ч., раствор c(KOH)=0,01 моль/дм3 (0,01 н).
Кислота сульфаниловая безводная по ГОСТ 5821-78, ч.д.а., раствор, приготовленный по п.4.7.2.1.
1-нафтиламин по ГОСТ 8827-74*, ч.д.а., раствор, приготовленный по п.4.7.2.2.
________________
* На территории Российской Федерации документ не действует. Заменен на ТУ 6-09-07-1703-90 (ИУС 9-90), являющиеся авторской разработкой. За дополнительной информацией обратитесь по ссылке. - Примечание изготовителя базы данных.
Кислота уксусная по ГОСТ 61-75, х.ч., раствор с массовой долей 10%.
Вода дистиллированная по ГОСТ 6709-72-->ГОСТ 6709-72.
(Измененная редакция, Изм. N 1).
4.7.2. Подготовка к анализу
4.7.2.1. Приготовление раствора сульфаниловой кислоты
2,50 г сульфаниловой кислоты помещают в мерный цилиндр и доводят объем в цилиндре до 750 см3 раствором уксусной кислоты. Раствор тщательно перемешивают.
Срок хранения раствора 6 мес в защищенном от света месте.
4.7.2.2. Приготовление раствора 1-нафтиламина
0,50 г 1-нафтиламина растворяют в 100 см3 дистиллированной воды при кипячении в течение 3 мин. Раствор вместе с нерастворившейся частью реактива сливают в мерный цилиндр и доводят объем в цилиндре до 750 см3 раствором уксусной кислоты.
Срок хранения раствора 6 мес в защищенном от света месте.
4.7.2.3. Приготовление раствора азотистокислого натрия
0,2320 г азотистокислого натрия помещают в стакан вместимостью 50 см3, растворяют в 10 см3 воды и раствор переносят в мерную колбу вместимостью 100 см3. Стенки стакана 2-3 раза промывают порциями воды по 10 см3 и растворы также переносят в мерную колбу. Раствор в колбе доводят до метки водой и содержимое колбы тщательно перемешивают (раствор А). Массовая концентрация нитрит-иона в пересчете на изопропилнитрит в растворе А составляет 3,0 мг/см3.
1 см3 раствора А вносят в мерную колбу вместимостью 100 см3, доводят до метки изопропиловым спиртом и тщательно перемешивают (раствор Б). Массовая концентрация нитрит-иона в пересчете на изопропилнитрит в растворе Б составляет 30 мкг/см3.
4.7.2.4. Построение градуировочного графика
В 7 пробирок с пришлифованными пробками вносят компоненты реакционной смеси в объемах и порядке, указанных в табл.2.
Таблица 2
|
Компонент реакционной смеси |
Номер пробирки |
||||||
|
1 |
2 |
3 |
4 |
5 |
6 |
7 |
|
|
Спирт изопропиловый, см3 |
По 2 см3 во все пробирки |
||||||
|
Раствор Б, см3 |
0,1 |
0,2 |
0,3 |
0,4 |
0,6 |
0,8 |
1,0 |
|
Раствор , см3 |
По 1 см3 во все пробирки |
||||||
|
Вода, см3 |
16,9 |
16,8 |
16,7 |
16,6 |
16,4 |
16,2 |
16,0 |
|
Кислота сульфаниловая, см3 |
По 1 см3 во все пробирки |
||||||
|
1-нафтиламин, см3 |
По 1 см3 во все пробирки |
||||||
|
Масса изопропилнитрита в пробе, мг |
0,003 |
0,006 |
0,009 |
0,012 |
0,018 |
0,024 |
0,030 |
Содержимое пробирок перемешивают и выдерживают 25 мин. Затем измеряют оптическую плотность растворов на фотоколориметре при длине волны
540 нм на фоне раствора сравнения.
Для приготовления раствора сравнения в пробирки с пришлифованными пробками вносят по 2 см3 изопропилового спирта, 1 см3 раствора гидроокиси натрия, 17 см3 воды, 1 см3 сульфаниловой кислоты, 1 см3 раствора 1-нафтиламина. Содержимое пробирок перемешивают и выдерживают 25 мин.
Параметры градуировочного графика вычисляют по методу наименьших квадратов.
Каждую точку градуировочного графика находят как среднее арифметическое результатов не менее чем трех определений.
В соответствующих точках градуировочного графика относительное максимальное отклонение от их среднего арифметического ±5%.
Проверку градуировочного графика проводят один раз в 6 мес или при изменении условий измерений и при замене реактивов по трем точкам градуировочного графика с повторением всех операций, предусмотренных при построении градуировочного графика. При этом относительные отклонения полученных при проверке средних арифметических значений от ранее полученных расчетных значений по графику не должны превышать ±8%.
Масштаб градуировочного графика: 10 мм оси абсцисс соответствует 0,001 мг изопропилнитрита, 10 мм оси ординат соответствуют 0,05 единицы оптической плотности.
(Измененная редакция, Изм. N 1).
4.7.3. Проведение анализа
От 1 до 5 см3 анализируемого изопропилнитрата вносят пипеткой в мерную колбу вместимостью 25 см3, предварительно взвешенную на весах с точностью до четвертого знака, снова взвешивают с той же точностью. По разности масс вычисляют массу навески изопропилнитрата. Содержимое в колбе доводят до метки изопропиловым спиртом и тщательно перемешивают. 0,5 см3 полученного раствора пипеткой вместимостью 1 см3 переносят в пробирку, в которую предварительно внесено 2 см3 изопропилового спирта, далее добавляют 1 см3 раствора гидроокиси натрия, 16,5 см3 воды, 1 см3 раствора сульфаниловой кислоты и 1 см3 раствора 1-нафтиламина.
Содержимое пробирки перемешивают и выдерживают 25 мин. Затем измеряют оптическую плотность раствора на фотоколориметре при длине волны
540 нм на фоне раствора сравнения.
В том случае, когда массовая доля изопропилнитрита в изопропилнитрате составляет 0,005% и менее, поступают следующим образом:
2,0 см3 изопропилового спирта вносят в мерную колбу вместимостью 25 см3, взвешивают с точностью до четвертого знака, добавляют пипеткой 0,5 см3 изопропилнитрата и снова взвешивают с той же точностью. По разности масс вычисляют массу навески изопропилнитрата. Затем в колбу вносят 1,0 см3 раствора гидроокиси натрия, 17,0 см3 воды, содержимое колбы перемешивают в течение 3 мин, выдерживают 25 мин, фильтруют в пробирку с притертой пробкой, добавляют 1 см3 раствора сульфаниловой кислоты, 1 см3 раствора 1-нафтиламина. Содержимое пробирки перемешивают, выдерживают 25 мин и измеряют оптическую плотность раствора на фотоколориметре при длине волны
540 нм на фоне раствора сравнения.
По градуировочному графику находят массу изопропилнитрита в пробе.
4.7.4. Обработка результатов
Массовую долю изопропилнитрита (X2) в процентах вычисляют по формуле
где m - масса изопропилнитрита в анализируемом продукте, найденная по градуировочному графику, мг;
K - коэффициент разбавления. Коэффициент разбавления при определении массовой доли изопропилнитрита более 0,005% равен 50, при определении массовой доли изопропилнитрита 0,005% и менее равен 1;
m1 - масса навески изопропилнитрата, взятая на анализ, г.
За результат анализа принимают среднее арифметическое двух параллельных определений, абсолютное значение допускаемого расхождения между которыми не должно превышать 0,01%; абсолютное значение суммарной погрешности результата анализа не должно превышать ±0,005% при доверительной вероятности P=0,95.
4.8. При проведении контроля качества допускается применение других серийно выпускаемых средств измерений с метрологическими характеристиками и аппаратуры с техническими характеристиками, обеспечивающими точность измерения в соответствии с требованиями настоящего стандарта.
5. УПАКОВКА, МАРКИРОВКА, ТРАНСПОРТИРОВАНИЕ И ХРАНЕНИЕ
5.1. Изопропилнитрат заливают в герметично закрываемые алюминиевые бочки типа БА I 275 по ГОСТ 21029-75. Каждую бочку пломбируют.
Допускается заливать изопропилнитрат в алюминиевые бочки типа БА I 110 по ГОСТ 21029-75, в стальные бочки типа БСТ I 275 по ГОСТ 17366-80, БС I-200 и БС I-275 по ГОСТ 6247-79, в бочки из нержавеющей стали типа БН-150 по ГОСТ 26155-84.
(Измененная редакция, Изм. N 1).
5.2. Бочки заполняют на (85±5)% объема в зимнее и (90±5)% в летнее время.
5.3. Бочки перед заполнением должны быть промыты и высушены, на внутренней поверхности бочек не должно быть видимых пленок.
5.4. Для герметизации бочек используют уплотнительные кольца и прокладки из фторопласта-4 по ГОСТ 10007-80, фторопласта-40, фторопласта-42, полиамида П-54, полиэтилена высокого давления (ПО-100), пластмасс на основе смеси полиэтилена с полиизобутиленом (ПОВ-90).
Наполненные и опломбированные бочки испытывают на герметичность укупорки, выдерживая их пробкой вниз в течение 30 мин.
5.5. Транспортная маркировка - по ГОСТ 14192-77* с нанесением знаков опасности по ГОСТ 19433-88: основного (класс 3, подкласс 3.2, черт.3, надпись "Легковоспламеняющаяся жидкость"), дополнительного (черт.6а, надпись "Яд") классификационного шифра 3222, серийного номера ООН 1222.
________________
* На территории Российской Федерации документ не действует. Действует ГОСТ 14192-96. - Примечание изготовителя базы данных.
Каждую бочку снабжают ярлыком, на котором указывают:
наименование предприятия-изготовителя и его товарный знак;
наименование продукта;
номер партии и бочки;
дату изготовления;
массу брутто и нетто;
надписи "Легковоспламеняющаяся жидкость", "Яд";
обозначение настоящего стандарта.
5.6. Транспортирование изопропилнитрата производят всеми видами транспорта в соответствии с правилами перевозки опасных грузов, действующими на данном виде транспорта.
По железной дороге изопропилнитрат транспортируют в бочках повагонными отправками.
К транспортным сопроводительным документам должна прикладываться аварийная карта на продукт.
5.5, 5.6. (Измененная редакция, Изм. N 1).
5.7. Изопропилнитрат хранят в упаковке по п.5.1 под навесом при температуре окружающего воздуха, в стальных резервуарах вместимостью до 50 м3 типа Р-4, Р-4С, Р-10, Р-25, Р-50, в хранилищах заглубленного, полузаглубленного или наземного типа, в траншеях.
6. ГАРАНТИИ ИЗГОТОВИТЕЛЯ
6.1. Изготовитель гарантирует соответствие изопропилнитрата требованиям настоящего стандарта при соблюдении условий транспортирования и хранения.
6.2. Гарантийный срок хранения изопропилнитрата 10 лет со дня изготовления.
7. УКАЗАНИЯ ПО ЭКСПЛУАТАЦИИ
7.1. В течение гарантийного срока допускается неоднократное использование изопропилнитрата, если его показатели качества соответствуют требованиям настоящего стандарта.
7.2. По истечении гарантийного срока хранения изопропилнитрат может быть использован по согласованию между изготовителем и потребителем.
ПРИЛОЖЕНИЕ (справочное). Коэффициенты приведения объема к нормальным условиям, К, г·%/см.куб.
ПРИЛОЖЕНИЕ
Справочное
Коэффициенты приведения объема к нормальным условиям, K , г·%/см3*
____________
* Измененная редакция, Изм. N 1.
|
Темпера- |
Барометрическое давление, кПа (мм рт.ст) |
|||||||||||
|
95,17 |
95,44 |
95,71 |
95,98 |
96,24 |
96,51 |
96,78 |
97,04 |
97,31 |
97,58 |
97,84 |
98,11 |
|
|
11 |
0,0716 |
0,0718 |
0,0720 |
0,0722 |
0,0724 |
0,0726 |
0,0728 |
0,0730 |
0,0732 |
0,0734 |
0,0736 |
0,0739 |
|
12 |
0,0713 |
0,0715 |
0,0717 |
0,0719 |
0,0721 |
0,0723 |
0,0725 |
0,0727 |
0,0729 |
0,0731 |
0,0733 |
0,0735 |
|
13 |
0,0710 |
0,0712 |
0,0714 |
0,0716 |
0,0718 |
0,0720 |
0,0722 |
0,0724 |
0,0726 |
0,0728 |
0,0730 |
0,0732 |
|
14 |
0,0707 |
0,0709 |
0,0711 |
0,0713 |
0,0715 |
0,0717 |
0,0719 |
0,0721 |
0,0723 |
0,0725 |
0,0727 |
0,0729 |
|
15 |
0,0703 |
0,0705 |
0,0707 |
0,0709 |
0,0711 |
0,0713 |
0,0715 |
0,0717 |
0,0719 |
0,0721 |
0,0723 |
0,0725 |
|
16 |
0,0700 |
0,0702 |
0,0704 |
0,0706 |
0,0708 |
0,0710 |
0,0712 |
0,0714 |
0,0716 |
0,0718 |
0,0720 |
0,0722 |
|
17 |
0,0697 |
0,0699 |
0,0701 |
0,0703 |
0,0705 |
0,0707 |
0,0709 |
0,0711 |
0,0713 |
0,0715 |
0,0717 |
0,0719 |
|
18 |
0,0693 |
0,0695 |
0,0697 |
0,0699 |
0,0701 |
0,0703 |
0,0705 |
0,0707 |
0,0709 |
0,0711 |
0,0713 |
0,0715 |
|
19 |
0,0690 |
0,0692 |
0,0694 |
0,0696 |
0,0698 |
0,0700 |
0,0702 |
0,0704 |
0,0706 |
0,0708 |
0,0710 |
0,0712 |
|
20 |
0,0687 |
0,0689 |
0,0691 |
0,0693 |
0,0694 |
0,0696 |
0,0698 |
0,0700 |
0,0702 |
0,0704 |
0,0706 |
0,0708 |
|
21 |
0,0683 |
0,0685 |
0,0687 |
0,0689 |
0,0691 |
0,0693 |
0,0695 |
0,0697 |
0,0699 |
0,0701 |
0,0703 |
0,0705 |
|
22 |
0,0680 |
0,0682 |
0,0684 |
0,0686 |
0,0688 |
0,0689 |
0,0691 |
0,0693 |
0,0695 |
0,0697 |
0,0699 |
0,0701 |
|
23 |
0,0676 |
0,0678 |
0,0680 |
0,0682 |
0,0684 |
0,0686 |
0,0688 |
0,0690 |
0,0692 |
0,0694 |
0,0696 |
0,0698 |
|
24 |
0,0673 |
0,0675 |
0,0676 |
0,0678 |
0,0680 |
0,0682 |
0,0684 |
0,0686 |
0,0688 |
0,0690 |
0,0692 |
0,0694 |
|
25 |
0,0669 |
0,0671 |
0,0673 |
0,0675 |
0,0677 |
0,0679 |
0,0681 |
0,0683 |
0,0684 |
0,0686 |
0,0688 |
0,0690 |
|
26 |
0,0665 |
0,0667 |
0,0669 |
0,0671 |
0,0673 |
0,0675 |
0,0677 |
0,0679 |
0,0681 |
0,0683 |
0,0685 |
0,0687 |
|
27 |
0,0662 |
0,0664 |
0,0665 |
0,0667 |
0,0669 |
0,0671 |
0,0673 |
0,0675 |
0,0677 |
0,0679 |
0,0681 |
0,0683 |
|
28 |
0,0658 |
0,0660 |
0,0662 |
0,0664 |
0,0666 |
0,0668 |
0,0670 |
0,0671 |
0,0673 |
0,0675 |
0,0677 |
0,0679 |
|
29 |
0,0654 |
0,0656 |
0,0658 |
0,0660 |
0,0662 |
0,0664 |
0,0666 |
0,0668 |
0,0669 |
0,0671 |
0,0673 |
0,0675 |
|
30 |
0,0650 |
0,0652 |
0,0654 |
0,0656 |
0,0658 |
0,0660 |
0,0662 |
0,0664 |
0,0665 |
0,0667 |
0,0669 |
0,0671 |
|
31 |
0,0646 |
0,0648 |
0,0650 |
0,0652 |
0,0654 |
0,0656 |
0,0658 |
0,0660 |
0,0661 |
0,0663 |
0,0665 |
0,0667 |
|
32 |
0,0642 |
0,0644 |
0,0646 |
0,0648 |
0,0650 |
0,0652 |
0,0654 |
0,0656 |
0,0657 |
0,0659 |
0,0661 |
0,0663 |
|
33 |
0,0638 |
0,0640 |
0,0642 |
0,0644 |
0,0646 |
0,0648 |
0,0650 |
0,0652 |
0,0653 |
0,0655 |
0,0657 |
0,0659 |
|
34 |
0,0634 |
0,0636 |
0,0638 |
0,0640 |
0,0642 |
0,0644 |
0,0646 |
0,0647 |
0,0649 |
0,0651 |
0,0653 |
0,0655 |
|
35 |
0,0630 |
0,0632 |
0,0634 |
0,0636 |
0,0637 |
0,0639 |
0,0641 |
0,0643 |
0,0645 |
0,0647 |
0,0649 |
0,0651 |
Продолжение
|
Темпера- |
Барометрическое давление, кПа (мм рт.ст) |
|||||||||||
|
98,38 |
98,64 |
98,91 |
99,18 |
99,44 |
99,71 |
99,98 |
100,2 |
100,5 |
100,8 |
101,0 |
101,3 |
|
|
11 |
0,0741 |
0,0743 |
0,0745 |
0,0747 |
0,0749 |
0,0751 |
0,0753 |
0,0755 |
0,0757 |
0,0759 |
0,0761 |
0,0763 |
|
12 |
0,0737 |
0,0739 |
0,0741 |
0,0743 |
0,0745 |
0,0747 |
0,0749 |
0,0751 |
0,0754 |
0,0756 |
0,0758 |
0,0760 |
|
13 |
0,0734 |
0,0736 |
0,0738 |
0,0740 |
0,0742 |
0,0744 |
0,0746 |
0,0748 |
0,0750 |
0,0752 |
0,0754 |
0,0756 |
|
14 |
0,0731 |
0,0733 |
0,0735 |
0,0737 |
0,0739 |
0,0741 |
0,0743 |
0,0745 |
0,0747 |
0,0749 |
0,0751 |
0,0753 |
|
15 |
0,0727 |
0,0729 |
0,0731 |
0,0733 |
0,0735 |
0,0737 |
0,0739 |
0,0741 |
0,0743 |
0,0745 |
0,0747 |
0,0749 |
|
16 |
0,0724 |
0,0726 |
0,0728 |
0,0730 |
0,0732 |
0,0734 |
0,0736 |
0,0738 |
0,0740 |
0,0742 |
0,0744 |
0,0746 |
|
17 |
0,0721 |
0,0723 |
0,0725 |
0,0727 |
0,0729 |
0,0731 |
0,0733 |
0,0734 |
0,0736 |
0,0738 |
0,0740 |
0,0742 |
|
18 |
0,0717 |
0,0719 |
0,0721 |
0,0723 |
0,0725 |
0,0727 |
0,0729 |
0,0731 |
0,0733 |
0,0735 |
0,0737 |
0,0739 |
|
19 |
0,0714 |
0,0716 |
0,0718 |
0,0720 |
0,0722 |
0,0724 |
0,0726 |
0,0728 |
0,0729 |
0,0731 |
0,0733 |
0,0735 |
|
20 |
0,0710 |
0,0712 |
0,0714 |
0,0716 |
0,0718 |
0,0720 |
0,0722 |
0,0724 |
0,0726 |
0,0728 |
0,0730 |
0,0732 |
|
21 |
0,0707 |
0,0709 |
0,0711 |
0,0713 |
0,0715 |
0,0717 |
0,0719 |
0,0720 |
0,0722 |
0,0724 |
0,0726 |
0,0728 |
|
22 |
0,0703 |
0,0705 |
0,0707 |
0,0709 |
0,0711 |
0,0713 |
0,0715 |
0,0717 |
0,0719 |
0,0721 |
0,0723 |
0,0725 |
|
23 |
0,0700 |
0,0701 |
0,0703 |
0,0705 |
0,0707 |
0,0709 |
0,0711 |
0,0713 |
0,0715 |
0,0717 |
0,0719 |
0,0721 |
|
24 |
0,0696 |
0,0698 |
0,0700 |
0,0702 |
0,0704 |
0,0706 |
0,0708 |
0,0709 |
0,0711 |
0,0713 |
0,0715 |
0,0717 |
|
25 |
0,0692 |
0,0694 |
0,0696 |
0,0698 |
0,0700 |
0,0702 |
0,0704 |
0,0706 |
0,0708 |
0,0710 |
0,0712 |
0,0714 |
|
26 |
0,0689 |
0,0690 |
0,0692 |
0,0694 |
0,0696 |
0,0698 |
0,0700 |
0,0702 |
0,0704 |
0,0706 |
0,0708 |
0,0710 |
|
27 |
0,0685 |
0,0687 |
0,0689 |
0,0691 |
0,0692 |
0,0694 |
0,0696 |
0,0698 |
0,0700 |
0,0702 |
0,0704 |
0,0706 |
|
28 |
0,0681 |
0,0683 |
0,0685 |
0,0687 |
0,0689 |
0,0691 |
0,0692 |
0,0694 |
0,0696 |
0,0698 |
0,0700 |
0,0702 |
|
29 |
0,0677 |
0,0679 |
0,0681 |
0,0683 |
0,0685 |
0,0687 |
0,0689 |
0,0691 |
0,0692 |
0,0694 |
0,0696 |
0,0698 |
|
30 |
0,0673 |
0,0675 |
0,0677 |
0,0679 |
0,0681 |
0,0683 |
0,0685 |
0,0687 |
0,0688 |
0,0690 |
0,0692 |
0,0694 |
|
31 |
0,0669 |
0,0671 |
0,0673 |
0,0675 |
0,0677 |
0,0679 |
0,0681 |
0,0682 |
0,0684 |
0,0686 |
0,0688 |
0,0690 |
|
32 |
0,0665 |
0,0667 |
0,0669 |
0,0671 |
0,0673 |
0,0675 |
0,0676 |
0,0678 |
0,0680 |
0,0682 |
0,0684 |
0,0686 |
|
33 |
0,0661 |
0,0663 |
0,0665 |
0,0667 |
0,0669 |
0,0670 |
0,0672 |
0,0674 |
0,0676 |
0,0678 |
0,0680 |
0,0682 |
|
34 |
0,0657 |
0,0659 |
0,0661 |
0,0662 |
0,0664 |
0,0666 |
0,0668 |
0,0670 |
0,0672 |
0,0674 |
0,0676 |
0,0677 |
|
35 |
0,0652 |
0,0654 |
0,0656 |
0,0658 |
0,0660 |
0,0662 |
0,0664 |
0,0666 |
0,0667 |
0,0669 |
0,0671 |
0,0673 |
Продолжение
|
Темпера- |
Барометрическое давление, кПа (мм рт.ст) |
||||||||||
|
101,6 |
101,8 |
102,1 |
102,4 |
102,6 |
102,9 |
103,2 |
103,4 |
103,7 |
104,0 |
104,2 |
|
|
11 |
0,0765 |
0,0767 |
0,0769 |
0,0771 |
0,0773 |
0,0775 |
0,0777 |
0,0779 |
0,0781 |
0,0783 |
0,0785 |
|
12 |
0,0762 |
0,0764 |
0,0766 |
0,0768 |
0,0770 |
0,0772 |
0,0774 |
0,0776 |
0,0778 |
0,0780 |
0,0782 |
|
13 |
0,0758 |
0,0760 |
0,0762 |
0,0764 |
0,0766 |
0,0768 |
0,0770 |
0,0772 |
0,0774 |
0,0776 |
0,0778 |
|
14 |
0,0755 |
0,0757 |
0,0759 |
0,0761 |
0,0763 |
0,0765 |
0,0767 |
0,0769 |
0,0771 |
0,0773 |
0,0775 |
|
15 |
0,0751 |
0,0753 |
0,0755 |
0,0757 |
0,0759 |
0,0761 |
0,0763 |
0,0765 |
0,0767 |
0,0769 |
0,0771 |
|
16 |
0,0748 |
0,0750 |
0,0752 |
0,0754 |
0,0756 |
0,0758 |
0,0760 |
0,0762 |
0,0764 |
0,0766 |
0,0768 |
|
17 |
0,0744 |
0,0746 |
0,0748 |
0,0750 |
0,0752 |
0,0754 |
0,0756 |
0,0758 |
0,0760 |
0,0762 |
0,0764 |
|
18 |
0,0741 |
0,0743 |
0,0745 |
0,0747 |
0,0749 |
0,0751 |
0,0753 |
0,0755 |
0,0757 |
0,0759 |
0,0761 |
|
19 |
0,0737 |
0,0739 |
0,0741 |
0,0743 |
0,0745 |
0,0747 |
0,0749 |
0,0751 |
0,0753 |
0,0755 |
0,0757 |
|
20 |
0,0734 |
0,0736 |
0,0738 |
0,0740 |
0,0742 |
0,0744 |
0,0746 |
0,0748 |
0,0750 |
0,0752 |
0,0754 |
|
21 |
0,0730 |
0,0732 |
0,0734 |
0,0736 |
0,0738 |
0,0740 |
0,0742 |
0,0744 |
0,0746 |
0,0748 |
0,0750 |
|
22 |
0,0727 |
0,0729 |
0,0731 |
0,0733 |
0,0735 |
0,0736 |
0,0738 |
0,0740 |
0,0742 |
0,0744 |
0,0746 |
|
23 |
0,0723 |
0,0725 |
0,0727 |
0,0729 |
0,0731 |
0,0733 |
0,0735 |
0,0737 |
0,0739 |
0,0741 |
0,0742 |
|
24 |
0,0719 |
0,0721 |
0,0723 |
0,0725 |
0,0727 |
0,0729 |
0,0731 |
0,0733 |
0,0735 |
0,0737 |
0,0739 |
|
25 |
0,0715 |
0,0717 |
0,0719 |
0,0721 |
0,0723 |
0,0725 |
0,0727 |
0,0729 |
0,0731 |
0,0733 |
0,0735 |
|
26 |
0,0712 |
0,0714 |
0,0716 |
0,0718 |
0,0719 |
0,0721 |
0,0723 |
0,0725 |
0,0727 |
0,0729 |
0,0731 |
|
27 |
0,0708 |
0,0710 |
0,0712 |
0,0714 |
0,0716 |
0,0717 |
0,0719 |
0,0721 |
0,0723 |
0,0725 |
0,0727 |
|
28 |
0,0704 |
0,0706 |
0,0708 |
0,0710 |
0,0712 |
0,0714 |
0,0716 |
0,0717 |
0,0719 |
0,0721 |
0,0723 |
|
29 |
0,0700 |
0,0702 |
0,0704 |
0,0706 |
0,0708 |
0,0710 |
0,0712 |
0,0714 |
0,0715 |
0,0717 |
0,0719 |
|
30 |
0,0696 |
0,0698 |
0,0700 |
0,0702 |
0,0704 |
0,0706 |
0,0708 |
0,0709 |
0,0711 |
0,0713 |
0,0715 |
|
31 |
0,0692 |
0,0694 |
0,0696 |
0,0698 |
0,0700 |
0,0701 |
0,0703 |
0,0705 |
0,0707 |
0,0709 |
0,0711 |
|
32 |
0,0688 |
0,0690 |
0,0692 |
0,0694 |
0,0695 |
0,0697 |
0,0699 |
0,0701 |
0,0703 |
0,0705 |
0,0707 |
|
33 |
0,0684 |
0,0686 |
0,0687 |
0,0689 |
0,0691 |
0,0693 |
0,0695 |
0,0697 |
0,0699 |
0,0701 |
0,0703 |
|
34 |
0,0679 |
0,0681 |
0,0683 |
0,0685 |
0,0687 |
0,0689 |
0,0691 |
0,0693 |
0,0694 |
0,0696 |
0,0698 |
|
35 |
0,0675 |
0,0677 |
0,0679 |
0,0681 |
0,0682 |
0,0684 |
0,0686 |
0,0688 |
0,0690 |
0,0692 |
0,0694 |
официальное издание
М.: Издательство стандартов, 1985