Новости Нефтегазовая пром.
Выставки Наука и технология


Бария гидрат окиси технический ГОСТ 10848-79

Бария гидрат окиси технический. Технические условия (с Изменениями N 1, 2) ГОСТ 10848-79


ГОСТ 10848-79

Группа Л13

ГОСУДАРСТВЕННЫЙ СТАНДАРТ СОЮЗА ССР

БАРИЯ ГИДРАТ ОКИСИ ТЕХНИЧЕСКИЙ 

Технические условия

Barium hydroxide for industrial use. 
Specifications



ОКП 21 3322 0100

Дата введения 1980-01-01

ИНФОРМАЦИОННЫЕ ДАННЫЕ

1. РАЗРАБОТАН И ВНЕСЕН Министерством химической промышленности СССР 

РАЗРАБОТЧИКИ

Е.Ф.Дубрава, И.П.Книгавко, В.И.Алексеев, В.П.Плехова 

2. УТВЕРЖДЕН И ВВЕДЕН В ДЕЙСТВИЕ Постановлением Государственного комитета СССР по стандартам от 03.01.79 N 1

3. ВЗАМЕН ГОСТ 10848-72

4. ССЫЛОЧНЫЕ НОРМАТИВНО-ТЕХНИЧЕСКИЕ ДОКУМЕНТЫ

Обозначение НТД, на который дана ссылка

Номер пункта, подпункта

ГОСТ 12.1.007-76

2.1

ГОСТ 61-75

4.9.1

ГОСТ 1277-75

4.5.1

ГОСТ 1770-74

4.3.1; 4.5.1; 4.6.1; 4.7.1; 4.8.1; 4.9.1

ГОСТ 2226-88

5.1

ГОСТ 3118-77

4.3.1; 4.4.1; 4.5.1; 4.7.1

ГОСТ 3760-79

4.7.1

ГОСТ 3777-76

4.8.1

ГОСТ 3956-76

4.5.1

ГОСТ 4159-79

4.9.1

ГОСТ 4212-76

4.7.1; 4.8.1

ГОСТ 4233-77

4.6.1; 4.8.1

ГОСТ 4328-77

4.4.1

ГОСТ 4461-77

4.6.1; 4.8.1

ГОСТ 4517-87

4.3.1

ГОСТ 4520-78

4.6.1

ГОСТ 4530-76

4.8.1

ГОСТ 5457-75

4.8.1

ГОСТ 6709-72-->ГОСТ 6709-72

4.5.1; 4.6.1; 4.7.1; 4.8.1; 4.9.1

ГОСТ 7328-82

4.3.1; 4.5.1; 4.6.1; 4.7.1; 4.9.1

ГОСТ 9147-80

4.5.1

ГОСТ 10163-76

4.9.1

ГОСТ 14192-96

5.2

ГОСТ 17811-78

5.1

ГОСТ 18300-87

4.3.1; 4.6.1; 4.7.1

ГОСТ 19433-88

3.1; 5.2

ГОСТ 21650-76

5.1

ГОСТ 24104-88

4.3.1; 4.5.1; 4.6.1; 4.7.1; 4.9.1

ГОСТ 24597-81

5.1

ГОСТ 25336-82

4.3.1; 4.5.1; 4.6.1; 4.7.1; 4.9.1

ГОСТ 27068-86

4.9.1

ГОСТ 30090-93

5.1

5. Ограничение срока действия снято по протоколу N 4-93 Межгосударственного Совета по стандартизации, метрологии и сертификации (ИУС 4-94)

6. ПЕРЕИЗДАНИЕ (ноябрь 1997 г.) с Изменениями N 1, 2, утвержденными в июне 1984 г., марте 1989 г. (ИУС 9-84, 7-89)

Настоящий стандарт распространяется на технический гидрат окиси бария, применяемый в нефтеперерабатывающей и нефтехимической, химической и других отраслях промышленности.

Настоящий стандарт устанавливает требования к техническому гидрату окиси бария, изготовляемому для нужд народного хозяйства и экспорта.

Формула: Ba(ОН)2·8H2O

Молекулярная масса (по международным атомным массам 1977 г.) - 315,46.

(Измененная редакция, Изм. N 2).

1. ТЕХНИЧЕСКИЕ ТРЕБОВАНИЯ

1.1. Гидрат окиси бария должен быть изготовлен в соответствии с требованиями настоящего стандарта по технологическому регламенту, утвержденному в установленном порядке.

1.2. По физико-химическим показателям гидрат окиси бария должен соответствовать нормам, указанным в табл.1.

Таблица 1

Наименование показателя

Норма

1-й сорт

2-й сорт

1. Массовая доля гидрата окиси бария [Ba(ОН)2·8H2O], %, не менее

97,0

95,0

2. Массовая доля углекислого бария (BaCO3), %, не более

1,0

1,0

3. Массовая доля нерастворимого в соляной кислоте остатка, %, не более

0,05

0,1

4. Массовая доля хлоридов (Cl-), %, не более

0,05

0,1

5. Массовая доля железа (Fe), %, не более

0,003

0,01

6. Массовая доля кальция в пересчете на гидрат окиси кальция, %, не более

0,1

0,1

7. Массовая доля натрия (Na), %, не более

0,03

Не нормируется


Примечания:

1. В продукте, предназначенном для поставки на экспорт, массовая доля гидрата окиси бария не должна быть менее 98,0%.

2. В гидрате окиси бария, предназначенном для производства аккумуляторов и реактивов, массовая доля сульфидов (S2-) не должна быть более 0,003%.

(Измененная редакция, Изм. N 1, 2).

1.3. Коды ОКП для каждого сорта технического гидрата окиси бария должны соответствовать табл.2.

Таблица 2

Наименование продукта

Код ОКП

Технический гидрат окиси бария:

21 3322 0100

1-й сорт

21 3322 0130

2-й сорт

21 3322 0140

для поставки на экспорт

21 3322 0200



(Введен дополнительно, Изм. N 1).

2. ТРЕБОВАНИЯ БЕЗОПАСНОСТИ

2.1. Гидрат окиси бария токсичен, пожаро- и взрывобезопасен. 

По степени воздействия на организм гидрат окиси бария относится к веществам 2-го класса опасности по ГОСТ 12.1.007.

Предельно допустимая концентрация гидрата окиси бария в воздухе рабочей зоны - 0,1 мг/м3

(Измененная редакция, Изм. N 2).

2.2. Гидрат окиси бария может попадать внутрь организма при вдыхании или заглатывании его в виде пыли.

При этом возможны отравления, сопровождающиеся повышением кровяного давления, воспалительными заболеваниями пищевода, желудка, головного мозга, поражением глазной и сердечной мускулатуры.

При постоянной работе в атмосфере, загрязненной пылью гидрата окиси бария, могут развиваться хронические заболевания легких и бронхов.

2.3. Работы с гидратом окиси бария обслуживающий персонал должен выполнять в спецодежде, спецобуви и предохранительных приспособлениях, предусмотренных типовыми отраслевыми нормами, утвержденными в установленном порядке.

2.4. Производственные помещения и лаборатории, в которых проводятся работы с гидратом окиси бария, должны быть оборудованы приточно-вытяжной вентиляцией.

Подготовку проб гидрата окиси бария для анализа необходимо проводить в вытяжном шкафу.

2.5. Для предупреждения вредного воздействия гидрата окиси бария на организм работающих необходимы герметизация оборудования, механизация и автоматизация технологических процессов.

3. ПРАВИЛА ПРИЕМКИ

3.1. Гидрат окиси бария принимают партиями. Партией считают продукт, однородный по своим показателям качества, сопровождаемый одним документом о качестве, массой не более 75 т. 

Документ о качестве должен содержать:

наименование предприятия-изготовителя и его товарный знак;

наименование и сорт продукта;

номер партии;

дату изготовления;

массу нетто;

обозначение настоящего стандарта;

шифр группы 6211 по ГОСТ 19433;

результаты проведенных анализов. 

(Измененная редакция, Изм. N 1, 2).

3.2. Для проверки качества гидрата окиси бария на соответствие его показателей требованиям настоящего стандарта отбирают 5% мешков, но не менее трех при партии, состоящей менее чем из 50 мешков.

3.3. При получении неудовлетворительных результатов анализа хотя бы по одному из показателей проводят повторный анализ на удвоенной выборке от той же партии. Результаты повторного анализа распространяются на всю партию.

3.4. Массовую долю натрия изготовитель определяет по требованию потребителя.

4. МЕТОДЫ АНАЛИЗА

4.1. Отбор проб

4.1.1. Точечные пробы отбирают щупом, погружая его на 3/4 глубины мешка по вертикальной оси. Масса точечной пробы не должна быть менее 0,2 кг.

4.1.2. Отобранные точечные пробы объединяют в объединенную, тщательно перемешивают и сокращают квартованием или механическим делителем до массы средней пробы не менее 0,5 кг.

Полученную среднюю пробу помещают в чистую сухую банку с притертой пробкой или полиэтиленовый мешочек. Банку плотно закрывают, полиэтиленовый мешочек завязывают. На банку или полиэтиленовый мешочек наклеивают или прикрепляют этикетку со следующими обозначениями: наименования предприятия-изготовителя, наименования продукта, номера партии и даты отбора пробы.

4.1.1, 4.1.2. (Измененная редакция, Изм. N 1).

4.2. Для проведения анализа и приготовления растворов применяют реактивы квалификации х.ч. и ч.д.а.

4.3. Определение массовой доли гидрата окиси бария

4.3.1. Аппаратура, реактивы и растворы

Весы лабораторные по ГОСТ 24104 2-го класса точности с наибольшим пределом взвешивания 200 г.

Гири Г-2-210 по ГОСТ 7328.

Колба Кн-2-250 ТХС по ГОСТ 25336.

Цилиндр 1-100 по ГОСТ 1770.

Бюретка вместимостью 50 см3 с ценой деления 0,1 см3.

Стаканчик для взвешивания по ГОСТ 25336.

Спирт этиловый ректификованный по ГОСТ 18300, высший сорт.

кислота соляная по ГОСТ 3118, раствор концентрации  c(HCI)=1 моль/дм3.

Фенолфталеин (индикатор), спиртовой раствор с массовой долей 1%.

Вода дистиллированная, не содержащая углекислого газа; готовят по ГОСТ 4517.

4.3.2. Проведение анализа

4-5 г гидрата окиси бария взвешивают (результат взвешивания в граммах записывают с точностью до четвертого десятичного знака), растворяют в 80 см3 воды в конической колбе вместимостью 250 см3 и титруют раствором соляной кислоты в присутствии фенолфталеина до обесцвечивания раствора. Оттитрованный раствор сохраняют для определения углекислого бария.

4.3.3. Обработка результатов

Массовую долю гидрата окиси бария (X) в процентах вычисляют по формуле где V - объем раствора соляной кислоты концентрации точно  c(HCI)=1 моль/дм3, израсходованный на титрование, см3;

0,1577 - масса гидрата окиси бария в граммах, соответствующая 1 см3 раствора соляной кислоты концентрации точно  c(HCI)=1 моль/дм3, г/см3;

m - масса навески гидрата окиси бария, г;

X6 - массовая доля кальция в пересчете на гидрат окиси кальция, определенная по п.4.8, %;

4,258 - коэффициент пересчета массы гидрата окиси кальция на гидрат окиси бария. 

За результат анализа принимают среднее арифметическое результатов двух параллельных определений, абсолютное расхождение между которыми не превышает допускаемое расхождение, равное 0,2%, при доверительной вероятности P=0,95. 

4.3.1-4.3.3. (Измененная редакция, Изм. N 2). 

4.4. Определение массовой доли углекислого бария

4.4.1. Аппаратура, реактивы и растворы

Бюретка вместимостью 5 см3 с ценой деления 0,02 см3.

кислота соляная по ГОСТ 3118, раствор концентрации  c(HCI)=1 моль/дм3.

Натрия гидроокись по ГОСТ 4328, раствор концентрации  c(NaOH)=1 моль/дм3.

Метиловый оранжевый (индикатор), водный раствор с массовой долей 0,1%.

4.4.2. Проведение анализа

К раствору, оставшемуся после определения массовой доли гидрата окиси бария (п.4.3.2), прибавляют с помощью бюретки 5 см3 раствора соляной кислоты, нагревают до кипения, охлаждают и избыток кислоты титруют из бюретки раствором гидроокиси натрия в присутствии индикатора метилового оранжевого до перехода окраски индикатора из оранжево-розовой в желтую.

4.4.3. Обработка результатов 

Массовую долю углекислого бария (X1) в процентах вычисляют по формуле где 5 - объем раствора соляной кислоты концентрации точно  c(НСl)=1 моль/дм3, введенный в анализируемый раствор, см3;

V - объем раствора гидроокиси натрия концентрации точно  c(NaOH)=1 моль/дм3, израсходованный на титрование избытка раствора соляной кислоты концентрации точно c(НСl)=1 моль/дм3, см3;

0,09868 - масса углекислого бария в граммах, соответствующая 1 см3 раствора соляной кислоты концентрации точно  c(НСl)=1 моль/дм3, г/см3;

m - масса навески гидрата окиси бария по п.4.3.2, г.

За результат анализа принимают среднее арифметическое результатов двух параллельных определений, абсолютное расхождение между которыми не превышает допускаемое расхождение, равное 0,1%, при доверительной вероятности P=0,95. 

4.4.1-4.4.3. (Измененная редакция, Изм. N 2).

4.5. Определение массовой доли нерастворимого в соляной кислоте остатка

4.5.1. Аппаратура, реактивы и растворы

Весы лабораторные по ГОСТ 24104 2-го класса точности с наибольшим пределом взвешивания 200 г и 3-го класса точности с наибольшим пределом взвешивания 1 кг.

Гири Г-2-210 и Г-3-210 по ГОСТ 7328.

Стакан Н-1-600 ТС по ГОСТ 25336.

Цилиндр 1-100 и 1-500 по ГОСТ 1770.

Электропечь муфельная, обеспечивающая нагрев до температуры 800-900 °С.

Тигли низкие 4 и 5 по ГОСТ 9147.

Эксикатор по ГОСТ 25336.

Стаканчик для взвешивания по ГОСТ 25336.

Фильтр обеззоленный типа "синяя лента".

силикагель технический по ГОСТ 3956, высушенный при 150-180 °С.

кислота соляная по ГОСТ 3118.

Серебро азотнокислое по ГОСТ 1277, раствор с массовой долей 1%.

Бумажная кашица; готовят следующим образом: размельченный обеззоленный фильтр обрабатывают в колбе при кипячении (5-10 мин) водой, охлаждают и дополнительно размельчают сильным вращением колбы.

Вода дистиллированная по ГОСТ 6709.

4.5.2. Проведение анализа

50-55 г гидрата окиси бария взвешивают (результат взвешивания в граммах записывают с точностью до первого десятичного знака), помещают в стакан вместимостью 600 см3, прибавляют 300 см3 воды и 40 см3 соляной кислоты. Раствор нагревают до кипения и выдерживают на песчаной или воздушной бане при температуре 90-95 °С в течение 1 ч. Содержимое стакана фильтруют через плотный обеззоленный фильтр "синяя лента", заполненный на 1/4 бумажной кашицей, остаток промывают горячей водой до отрицательной реакции на ион хлора (проба с азотнокислым серебром).

Остаток с фильтром переносят в фарфоровый тигель, предварительно прокаленный до постоянной массы, высушивают, озоляют без воспламенения и прокаливают при температуре 800-850 °С до достижения постоянной массы и после охлаждения в эксикаторе взвешивают (результат взвешивания в граммах записывают с точностью до четвертого десятичного знака).

4.5.3. Обработка результатов

Массовую долю нерастворимого в соляной кислоте остатка (X2) в процентах вычисляют по формуле где m1 - масса тигля с остатком после прокаливания, г;


m2 - масса пустого тигля, г;

m - масса навески гидрата окиси бария, г.

За результат анализа принимают среднее арифметическое результатов двух параллельных определений, относительное расхождение между которыми не превышает допускаемое расхождение, равное 20%, при доверительной вероятности P=0,95. 

4.5.1-4.5.3. (Измененная редакция, Изм. N 2). 

4.6. Определение массовой доли хлоридов

4.6.1. Аппаратура, реактивы и растворы

Весы лабораторные по ГОСТ 24104 3-го класса точности с наибольшим пределом взвешивания 1 кг.

Гири Г-3-210 по ГОСТ 7328.

Бюретка вместимостью 5 см3 с ценой деления 0,02 см3.

Колба Кн-2-250 по ГОСТ 25336.

Цилиндр 1-100 по ГОСТ 1770.

Стаканчик для взвешивания по ГОСТ 25336.

Кислота азотная по ГОСТ 4461, растворы плотностью 1,15 и 1,3 г/см3.

Ртуть азотнокислая 1-водная по ГОСТ 4520, раствор концентрации  c(1/2Hg(NO3)2·H2O)=0,1 моль/дм3; готовят следующим образом: 17,13 г ртути (II) азотнокислой 1-водной растворяют в 500 см3 воды, добавляют 4 см3 азотной кислоты плотностью 1,3 г/см3, доводят объем раствора водой до 1000 см3, перемешивают и фильтруют. Коэффициент поправки раствора устанавливают по хлористому натрию в присутствии смешанного индикатора в условиях титрования пробы.

Дифенилкарбазон (индикатор).

Дифенилкарбазид (индикатор) по НД.

Бромфеноловый синий водорастворимый (индикатор).

Смешанный индикатор; готовят следующим образом: 0,5 г дифенилкарбазона или дифенилкарбазида растворяют в 70-80 см3 теплого этилового спирта, прибавляют 0,05 г бромфенолового синего и доводят объем раствора спиртом до 100 см3.

Спирт этиловый ректификованный технический по ГОСТ 18300, высший сорт.

Натрий хлористый по ГОСТ 4233.

Вода дистиллированная по ГОСТ 6709.

4.6.2. Проведение анализа

10-11 г гидрата окиси бария взвешивают (результат взвешивания в граммах записывают с точностью до первого десятичного знака), помещают в коническую колбу вместимостью 250 см3 и приливают 50 см3 воды. Затем добавляют 10 капель смешанного индикатора (раствор окрашивается в фиолетовый цвет), нейтрализуют тем же раствором азотной кислоты до перехода окраски раствора в желтую и титруют из микробюретки раствором азотнокислой окисной ртути до первого изменения окраски раствора в сиреневый цвет.

4.6.3. Обработка результатов

Массовую долю хлоридов (X3) в процентах вычисляют по формуле где V - объем раствора азотнокислой ртути концентрации 0,1 моль/дм3, израсходованный на титрование, см3;
K - коэффициент поправки азотнокислой ртути концентрации  c(1/2Hg(NO3)2·H2O)=0,1 моль/дм3;

0,003545 - масса хлор-иона в граммах, соответствующая 1 см3 раствора азотнокислой ртути концентрации точно  c(1/2Hg(NO3)2·H2O)=0,1 моль/дм3, г/см3;

m - масса навески гидрата окиси бария, г.

За результат анализа принимают среднее арифметическое результатов двух параллельных определений, относительное расхождение между которыми не превышает допускаемое расхождение, равное 10%, при доверительной вероятности P=0,95.

4.6.1-4.6.3. (Измененная редакция, Изм. N 2).

4.7. Определение массовой доли железа

4.7.1. Аппаратура, реактивы и растворы

Весы лабораторные по ГОСТ 24104 2-го класса точности с наибольшим пределом взвешивания 200 г и 3-го класса точности с наибольшим пределом взвешивания 1 кг.

Гири Г-2-210 и Г-3-210 по ГОСТ 7328.

Колбы мерные 1-100 (250, 1000)-2 по ГОСТ 1770.

Бюретка вместимостью 10 см3 с ценой деления 0,05 см3.

Стакан Н-1-250 ТС по ГОСТ 25336.

Цилиндр 1-10, 1-100 по ГОСТ 1770.

Стаканчик для взвешивания по ГОСТ 25336.

Пипетка вместимостью 5 (10, 25, 50) см3.

аммиак водный по ГОСТ 3760, раствор с массовой долей 10%.

2,2'-Дипиридил или 1,10-фенантролин; раствор готовят следующим образом: 2,5 г 2,2'-дипиридила или 1,10-фенантролина растворяют в 25 см3 этилового спирта и разбавляют водой до 500 см3.

Кислота аскорбиновая, водный раствор с массовой долей 5% (раствор следует оберегать от воздействия света, воздуха и тепла, пригоден в течение двух недель).

Раствор А, содержащий 1 мг Fe3+ в 1 см3; готовят по ГОСТ 4212.

Раствор Б, содержащий 0,01 мг Fe3+ в 1 см3; готовят разбавлением водой 10 см3 раствора А до 1 дм3 (годен свежеприготовленный).

кислота соляная по ГОСТ 3118 и раствор с массовой долей 25%.

Бумага индикаторная универсальная.

Спирт этиловый ректификованный технический по ГОСТ 18300, высший сорт.

Фотоэлектроколориметр типа ФЭК-56М (или других типов).

Вода дистиллированная по ГОСТ 6709.

(Измененная редакция, Изм.N 2).

4.7.2. Подготовка к анализу

4.7.2.1. Построение градуировочного графика

Для построения градуировочного графика готовят градуировочные растворы. Для этого бюреткой в мерные колбы вместимостью 100 см3 каждая отбирают 0,5; 1,0; 2,0; 3,0; 4,0; 5,0 и 6,0 см3 раствора Б, что соответствует 0,005; 0,010; 0,020; 0,030; 0,040; 0,050 и 0,060 мг Fe3+. В каждую колбу добавляют 20 см3 воды, 2 см3 раствора соляной кислоты с массовой долей 25%, 5 см3 раствора аскорбиновой кислоты, 5 см3 раствора 2,2'-дипиридила или 1,10-фенантролина и 35-40 см3 воды. pH 3,5 полученных растворов устанавливают добавлением раствора аммиака по универсальной индикаторной бумаге. Растворы доводят водой до метки и перемешивают.

Одновременно готовят раствор сравнения, не содержащий железа: 2 см3 раствора соляной кислоты с массовой долей 25% и 5 см3 раствора аскорбиновой кислоты доводят водой до метки в мерной колбе вместимостью 100 см3 и перемешивают.

Через 30 мин измеряют оптическую плотность градуировочных растворов по отношению к раствору сравнения на фотоэлектроколориметре, применяя зеленый светофильтр (при длине волны 500-540 нм) в кюветах с толщиной поглощающего свет слоя 50 мм.

По полученным данным строят градуировочный график, откладывая на оси абсцисс массу железа (Fe3+) в миллиграммах, а на оси ординат - соответствующее ей значение оптической плотности.

4.7.3. Проведение анализа

5-50 г гидрата окиси бария взвешивают (результат взвешивания в граммах записывают с точностью до первого десятичного знака), помещают в стакан вместимостью 250 см3, прибавляют 100 см3 воды и соляную кислоту до полного растворения навески, кипятят 3-5 мин, охлаждают, переводят в мерную колбу вместимостью 250 см3, доводят водой до метки, перемешивают и, если раствор мутный, фильтруют через плотный фильтр "синяя лента", отбрасывая первые порции фильтрата.

5-50 см3 полученного раствора переносят пипеткой в мерную колбу вместимостью 100 см3, прибавляют воду до 50 см3, 2 см3 25%-ного раствора соляной кислоты, 5 см3 раствора аскорбиновой кислоты, 5 см3 раствора 2,2'-дипиридила или 1,10-фенантролина, pH 3,5 раствора устанавливают добавлением водного раствора аммиака по универсальной индикаторной бумаге, доводят растворы водой до метки, перемешивают.

Одновременно готовят раствор сравнения: 5-50 см3 анализируемого раствора пипеткой переносят в мерную колбу вместимостью 100 см3, прибавляют 2 см3 25%-ного раствора соляной кислоты, 5 см3 раствора аскорбиновой кислоты, доводят водой до метки, перемешивают. Через 30 мин измеряют оптическую плотность анализируемого раствора, как указано в п.4.7.2.

Массу железа в анализируемом растворе находят по градуировочному графику.

4.7.4. Обработка результатов

Массовую долю железа (X4) в процентах вычисляют по формуле где m1 - масса железа, найденная по градуировочному графику, мг;


m - масса навески гидрата окиси бария, г;

V - объем анализируемого раствора, взятый для фотоколориметрирования, см3

За результат анализа принимают среднее арифметическое результатов двух параллельных определений, относительное расхождение между которыми не превышает допускаемое расхождение, равное 15%, при доверительной вероятности P=0,95. 

4.7.2.1-4.7.4. (Измененная редакция, Изм. N 2).

4.8. Определение массовой доли кальция в пересчете на гидрат окиси кальция и натрия

4.8.1. Приборы, реактивы и растворы

Фотометр высокочувствительный пламенный, позволяющий определять кальций и натрий, или спектрофотометр для пламени типа "Сатурн".

Ацетилен по ГОСТ 5457.

Компрессор любого типа для воздуха или воздух сжатый, осушенный, из линии сжатого воздуха.

Кроме смеси ацетилен-воздух допускается применение других смесей газов, при условии возбуждения в пламени определяемых элементов, например, пропан-бутан-Кислород.

барий азотнокислый по ГОСТ 3777, х.ч., дважды перекристаллизованный, раствор с массовой долей 5% (раствор А), не содержащий примесей кальция и натрия или с минимальным их содержанием (10-4-10-5%) (степень чистоты определяется на спектрофотометре по методу добавок).

Натрий хлористый по ГОСТ 4233.

кальций углекислый по ГОСТ 4530.

Пипетка вместимостью 25 см3.

Бюретка вместимостью 10 см3 с ценой деления 0,1 см3.

Колбы мерные 1-100-2, 1-200-2, 1-250-2 по ГОСТ 1770.

Кислота азотная по ГОСТ 4461, х.ч., раствор с массовой долей 25%.

Вода дистиллированная по ГОСТ 6709.

4.8.2. Приготовление образцовых растворов и растворов сравнения 

Растворы массовой концентрации натрия и кальция по 1 г/дм3; готовят по ГОСТ 4212. 

Раствор массовой концентрации натрия и кальция по 0,1 г/дм3; готовят следующим образом: по 25 см3 раствора, приготовленного по ГОСТ 4212, помещают в мерную колбу вместимостью 250 см3, доводят объем раствора до метки водой и перемешивают (раствор Б).

Растворы сравнения массовой концентрации натрия и кальция 0,2; 0,5; 1,0; 2,0; 3,0; 4,0 мг/дм3 каждого элемента; готовят следующим образом: в семь мерных колб вместимостью 100 смкаждая помещают 8,4 см3 раствора А и соответственно 0,2; 0,5; 1,0; 2,0; 3,0; 4,0 см3 раствора Б. В седьмой колбе - фоновый раствор без определяемых элементов. Затем доводят объем каждого раствора водой до метки и тщательно перемешивают.

4.8.3. Проведение анализа

1 г гидрата окиси бария взвешивают (результат взвешивания в граммах записывают с точностью до четвертого десятичного знака), помещают в мерную колбу вместимостью 200 см3, растворяют в воде, добавляют 2,0 см3 раствора азотной кислоты. Объем раствора в колбе доводят до метки водой и тщательно перемешивают.

Подготовку к определению проводят согласно инструкции к прибору.

Определение проводят с использованием спектральных линий: по натрию - 589,0 нм, по кальцию - 422,7 нм. Нулевую линию прибора устанавливают по воде. Определение проводят по градуировочному графику (способ 1) или с применением ограничивающих растворов (способ 2).

При определении по первому способу после подготовки прибора проводят фотометрирование воды, применяемой для приготовления всех растворов, а затем фотометрирование анализируемого и фонового растворов, а также растворов сравнения в порядке возрастания массовой концентрации элемента. После этого проводят фотометрирование в обратной последовательности, начиная с растворов с максимальным содержанием элемента, учитывая в качестве поправки результат, полученный при фотометрировании фонового раствора.

Каждое измерение проводят три раза (распыляя после измерения воду) и вычисляют среднее значение интенсивности излучения для каждого раствора. По полученным данным для растворов сравнения строят градуировочный график, откладывая на оси ординат показания регистрирующего устройства, на оси абсцисс - массовую концентрацию определяемых элементов в миллиграммах на кубический дециметр.

При определении массовой доли натрия или кальция по второму способу выбирают два раствора сравнения - один большей, другой меньшей концентрации определяемого элемента по сравнению с анализируемым раствором. Массовая концентрация примеси во всех трех растворах должна быть одного порядка. Растворы сравнения и анализируемый раствор фотометрируют при одинаковых условиях и регистрируют величину сигнала.

4.8.1-4.8.3. (Измененная редакция, Изм. N 2).

4.8.4. Обработка результатов

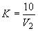
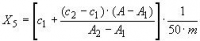
При определении по первому способу массовую долю натрия или кальция (X5) в процентах вычисляют по формуле где c - массовая концентрация элемента, найденная по градуировочному графику, мг/дм3;
m - масса навески гидрата окиси бария, г.

При определении по второму способу массовую долю натрия или кальция (X5) в процентах вычисляют по формуле где c1 и c2 - массовая концентрация определяемых элементов в растворах сравнения (c2 больше c1), мг/дм3;

- показания регистрирующего устройства для анализируемого раствора;

A1 и A2 - показания регистрирующего устройства для растворов сравнения (A2 - для раствора большей массовой концентрации элемента);

m - масса навески гидрата окиси бария, г.

Массовую долю кальция в пересчете на гидрат окиси кальция (X6) в процентах вычисляют по формуле где 1,8485 - коэффициент пересчета кальция на гидрат окиси кальция.


За результат анализа принимают среднее арифметическое результатов двух параллельных определений, относительное расхождение между которыми не превышает допускаемое расхождение, равное 20%, при доверительной вероятности P=0,95.

Примечания:

1. В зависимости от массовой доли натрия и кальция и от чувствительности прибора допускается варьировать навеску гидрата окиси бария в пределах 0,5-2,0 г. При этом следует вносить корректировку объема раствора азотнокислого бария, добавляемого в образцовые и фоновые растворы, и объема азотной кислоты, добавляемого в анализируемый раствор.

2. Образцовые растворы, концентрация определяемых элементов которых меньше 1 мг/дм, следует готовить перед применением.

3. Все исходные и образцовые растворы следует хранить в кварцевой или полиэтиленовой посуде.

4. При работе с ацетиленом или другим горючим газом следует руководствоваться инструкцией по технике безопасности.


(Введен дополнительно, Изм. N 2). 

4.9. Определение массовой доли сульфидов

4.9.1. Аппаратура, реактивы и растворы

Весы лабораторные по ГОСТ 24104 3-го класса точности с наибольшим пределом взвешивания 1 кг. 

Гири Г-3-210 по ГОСТ 7328.

Колба Кн-2-500 ТХС по ГОСТ 25336.

Цилиндр 1-250 по ГОСТ 1770.

Стаканчик для взвешивания по ГОСТ 25336.

Пипетка вместимостью 10 см3.

Бюретка вместимостью 10 см3 с ценой деления 0,05 см3.

Йод по ГОСТ 4159, раствор концентрации c(1/2J2) моль/дм3.

Раствор йода концентрации 0,01 моль/дм3; готовят точным разбавлением раствора йода концентрации 0,1 моль/дм3 в 10 раз; годен в течение суток.

Кислота уксусная по ГОСТ 61, раствор с массовой долей 10%.

натрий серноватистокислый (Тиосульфат натрия) по ГОСТ 27068, раствор концентрации c(Na2S2O3·5H2O)=0,1 моль/дм3.

Раствор натрия серноватистокислого концентрации 0,01 моль/дм3; готовят точным разбавлением раствора концентрации 0,1 моль/дм3 в 10 раз; годен в течение суток.

Крахмал растворимый по ГОСТ 10163, раствор с массовой долей крахмала 1%.

Вода дистиллированная по ГОСТ 6709.

4.9.2. Проведение анализа

20-25 г гидрата окиси бария взвешивают (результат взвешивания в граммах записывают с точностью до первого десятичного знака), переносят в коническую колбу вместимостью 500 см3, смачивают водой, вводят пипеткой 10 см3 раствора йода концентрации 0,01 моль/дм3, прибавляют 150 см3 раствора уксусной кислоты, закрывают колбу пробкой и взбалтывают до полного растворения навески. После 5-минутного стояния в темном месте избыток йода оттитровывают из бюретки раствором серноватистокислого натрия концентрации  c(Na2S2O3·5H2O)=0,01 моль/дм3 в присутствии крахмала до обесцвечивания раствора.

4.9.3. Обработка результатов

Массовую долю сульфидов (X8) в процентах вычисляют по формуле где V - объем раствора йода концентрации точно  c(1/2J2)=0,01 моль/дм3, введенный в анализируемую пробу, см3;

V1 - объем раствора серноватистокислого натрия концентрации  точно  c(Na2S2O3·5H2O)=0,01 моль/дм3, израсходованный на титрование избытка йода концентрации c(1/2J2)=0,01 моль/дм3, см3;

K1 - коэффициент пересчета объема раствора серноватистокислого натрия концентрации c(Na2S2O3·5H2O)=0,01 моль/дм3 в объем раствора йода концентрации  моль/дм, установленный в условиях титрования пробы; где 10 - объем раствора йода концентрации c(1/2J2)=0,01 моль/дм3, взятый для определения соотношения, см3;

V2 - объем раствора серноватистокислого натрия концентрации  c(Na2S2O3·5H2O)=0,01 моль/дм3, израсходованный на титрование раствора йода, см3;

K - коэффициент поправки раствора йода концентрации  c(1/2J2)=0,01 моль/дм3;

0,0001603 - масса сульфид-иона в граммах, соответствующая 1 см3 раствора йода концентрации точно c(1/2J2)=0,01 моль/дм3, г/см3;

m - масса навески гидрата окиси бария, г.

За результат анализа принимают среднее арифметическое результатов двух параллельных определений, относительное расхождение между которыми не превышает допускаемое расхождение, равное 15%, при доверительной вероятности P=0,95.

4.9.1-4.9.3. (Измененная редакция, Изм. N 2). 

5. УПАКОВКА, МАРКИРОВКА, ТРАНСПОРТИРОВАНИЕ И ХРАНЕНИЕ

5.1. Гидрат окиси бария упаковывают в полиэтиленовые мешки по ГОСТ 17811, вложенные в четырех-, пятислойные бумажные мешки марки НМ по ГОСТ 2226, или в пленочные мешки-вкладыши по нормативной документации, вложенные в бумажные мешки марки НМ по ГОСТ 2226.

По согласованию с потребителем допускается упаковывать гидрат окиси бария в пятислойные ламинированные мешки по ГОСТ 2226 марки ПМ с двумя слоями из ламинированной полиэтиленом мешочной бумаги.

Масса мешка не более 50 кг. Отклонение средней массы нетто от номинального значения массы, указанной на упаковке, не должно превышать ±2%. Средняя масса определяется взвешиванием 20 упаковочных единиц из партии и делением результата на 20.

Гидрат окиси бария, предназначенный для поставки на экспорт, упаковывают в полиэтиленовые мешки по ГОСТ 17811, вложенные в льно-джуто-кенафные мешки по ГОСТ 30090 или пятислойные влагопрочные мешки по ГОСТ 2226 марки ВМ, масса нетто мешка не более 50 кг.

Полиэтиленовые мешки и вкладыши подворачивают и прошивают машинным способом вместе с бумажным мешком.

Гидрат окиси бария, упакованный в мешки, транспортируют пакетами по правилам перевозки грузов, утвержденным соответствующими ведомствами. Средства скрепления - по ГОСТ 21650.

Габаритные размеры и масса брутто транспортного пакета должны соответствовать ГОСТ 24597.

(Измененная редакция, Изм. N 2).

5.2. Транспортная маркировка - по ГОСТ 14192 с нанесением знака опасности по ГОСТ 19433, класса 6, шифра группы 6211, а также следующих данных, характеризующих продукцию:

наименования продукта;

номера партии;

обозначения настоящего стандарта.

Маркировка тары гидрата окиси бария, предназначенного для поставки на экспорт, должна производиться в соответствии с заказом-нарядом внешнеторгового объединения.

(Измененная редакция, Изм. N 1).

5.3. (Исключен, Изм. N 1).

5.4. Гидрат окиси бария транспортируют любым видом транспорта, кроме воздушного, в крытых транспортных средствах с соблюдением правил перевозки опасных грузов. Перевозка гидрата окиси бария по железной дороге осуществляется повагонными отправками.

5.5. Гидрат окиси бария хранят в закрытых складских помещениях, отдельно от других продуктов (кроме соединений бария) с соблюдением правил хранения опасных грузов. Площадка, где укладываются мешки, должна быть очищена от выступающих и острых предметов, которые могут проколоть мешок.

5.4, 5.5. (Измененная редакция, Изм. N 1).

6. ГАРАНТИИ ИЗГОТОВИТЕЛЯ

6.1. Изготовитель гарантирует соответствие гидрата окиси бария требованиям настоящего стандарта при соблюдении условий транспортирования и хранения.

6.2. Гарантийный срок хранения гидрата окиси бария - шесть месяцев со дня изготовления. 

6.1, 6.2. (Измененная редакция, Изм. N 1).



официальное издание
М.: ИПК Издательство стандартов, 1998