Барий сернокислый аккумуляторный ГОСТ 11380-74
Барий сернокислый аккумуляторный. Технические условия (с Изменениями N 1, 2) ГОСТ 11380-74
ГОСТ 11380-74*
Группа Л14
ГОСУДАРСТВЕННЫЙ СТАНДАРТ СОЮЗА ССР
Барий сернокислый АККУМУЛЯТОРНЫЙ
Технические условия
Accumulator barium sulphate. Specifications
ОКП 21 4112 0100
Дата введения 1976-01-01
Постановлением Государственного комитета стандартов Совета Министров СССР от 10 декабря 1974 г. N 2679 срок введения установлен с 01.01.76
Проверен в 1985 г. Постановлением Госстандарта от 22.03.85, Пост. N 684 срок действия продлен до 01.01.91
________________
Ограничение срока действия снято по протоколу N 5-94 Межгосударственного Совета по стандартизации, метрологии и сертификации (ИУС N 11-94). - Примечание изготовителя базы данных.
ВЗАМЕН ГОСТ 11380-65
* Переиздание (февраль 1985 г.) с Изменением N 1 утвержденным 22.03.85, Пост. N 684 (ИУС 6-85).
ВНЕСЕНО Изменение N 2, утвержденное и введенное в действие Постановлением Госстандарта СССР от 07.12.1989 N 3595 c 01.06.1990
Изменение N 2 внесено изготовителем базы данных по тексту ИУС N 2, 1990 год
Настоящий стандарт распространяется на аккумуляторный сернокислый барий, предназначенный для электротехнической, нефтеперерабатывающей и нефтехимической и других отраслей промышленности.
Формула: BaSO4
Молекулярная масса (по международным атомным массам 1977 г.) - 233,39.
(Измененная редакция, Изм. N 2).
1. ТЕХНИЧЕСКИЕ ТРЕБОВАНИЯ
1.1. По физико-химическим показателям сернокислый барий должен соответствовать требованиям и нормам, указанным в табл.1.
Таблица 1
|
Наименование показателя |
Норма |
|
1. Внешний вид |
Порошок белого цвета |
|
2. Массовая доля сернокислого бария (BaSO4), %, не менее |
98,5 |
|
3. Массовая доля сернокислого кальция (CaSO4), %, не более |
0,4 |
|
4. Массовая доля железа (Fe), %, не более |
0,01 |
|
5. Массовая доля хлоридов в пересчете на хлор-ион (Cl), %, не более |
0,04 |
|
6. (Исключен, Изм. N 2). |
|
|
7. Массовая доля влаги, %, не более |
0,1 |
|
8. Массовая доля потерь массы при прокаливании, %, не более |
1,0 |
|
9. Фракционный состав: |
|
|
массовая доля частиц крупной фракции диаметром 5 мкм и более, %, не более |
10 |
|
массовая доля частиц мелкой фракции диаметром 1 мкм и менее, % |
10-40 |
|
10. Массовая доля остатка при просеве на сите с сеткой N 016К по ГОСТ 6613-86, %, не более |
1 |
|
11. Насыпная плотность, г/см3, не более |
0,7 |
Примечания:
1. Нормы по показателям подпунктов 2-6 таблицы даны в пересчете на прокаленный продукт.
2. (Исключен, Изм. N 1).
(Измененная редакция, Изм. N 1, 2).
1а. ТРЕБОВАНИЯ БЕЗОПАСНОСТИ
1а.1. Сернокислый барий представляет собой мелкодисперсный сухой порошок, он не ядовит, пожаро- и взрывобезопасен.
По степени воздействия на органы человека сернокислый барий относится к 4-му классу опасности в соответствии с ГОСТ 12.1.007-76. Предельно допустимая концентрация сернокислого бария в воздухе рабочей зоны составляет 6 мг/м3 по ГОСТ 12.1.005-88.
(Измененная редакция, Изм. N 2).
1а.2. Производственные помещения и лаборатории, в которых проводятся работы с сернокислым барием, должны быть оборудованы приточно-вытяжной вентиляцией.
1а.3. Работающие с сернокислым барием должны быть обеспечены специальной одеждой, специальной обувью и предохранительными приспособлениями в соответствии с типовыми отраслевыми нормами, утвержденными в установленном порядке.
Разд.1а (Введен дополнительно, Изм. N 1).
2. ПРАВИЛА ПРИЕМКИ
2.1. Сернокислый барий поставляют партиями. Партией считают продукт, однородный по своим качественным показателям, сопровождаемый одним документом о качестве.
Документ о качестве должен содержать:
наименование предприятия-изготовителя и его товарный знак;
наименование продукта;
номер партии;
дату изготовления;
массу нетто;
обозначение настоящего стандарта;
результаты проведенных анализов или подтверждение о соответствии качества продукта требованиям настоящего стандарта.
(Измененная редакция, Изм. N 1).
2.2. Для контроля качества сернокислого бария отбирают 10% единиц продукции, но не менее трех единиц продукции при партиях, состоящих менее чем из 30 единиц.
2.3. При получении неудовлетворительных результатов анализа хотя бы по одному из показателей проводят повторный анализ проб, отобранных от удвоенного количества единиц продукции той же партии. Результаты повторных анализов распространяются на всю партию.
3. МЕТОДЫ АНАЛИЗА
3.1. Точечные пробы отбирают щупом, погружая его по вертикальной оси на 3/4 глубины единицы продукции. Масса точечной пробы не должна быть менее 0,2 кг.
Отобранные точечные пробы объединяют в объединенную пробу, тщательно перемешивают, сокращают методом квартования до массы средней пробы около 0,5 кг.
Полученную среднюю пробу помещают в чистую сухую стеклянную банку с притертой пробкой или полиэтиленовый мешочек, который заваривают.
На банку или полиэтиленовый мешочек наклеивают или прикрепляют этикетку, на которой должны быть указаны: наименование предприятия-изготовителя, наименование продукта, номер партии и дата отбора пробы.
3.2. Для проведения анализа и приготовления растворов применяют реактивы квалификации "химически чистый" или "чистый для анализа".
Допускается применение других средств измерения с метрологическими характеристиками и оборудования с техническими характеристиками не хуже указанных, а также реактивов по качеству не ниже указанных в настоящем стандарте.
3.1; 3.2. (Измененная редакция, Изм. N 1); 3.2 (Измененная редакция, Изм. N 2).
3.3. Внешний вид продукта определяют визуально
3.4. Определение массовой доли сернокислого бария (BaSO4)
3.4.1. Средства измерения, аппаратура, реактивы и растворы
Весы лабораторные общего назначения по ГОСТ 24104-88* 2-го и 3-го классов точности с наибольшими пределами взвешивания 200 и 1000 г соответственно.
_______________
* На территории Российской Федерации документ не действует. Действует ГОСТ Р 53228-2008, здесь и далее по тексту. - Примечание изготовителя базы данных.
Гири Г-2-210 и Г-3-210 по ГОСТ 7328-82.
Электропечь муфельная с терморегулятором, обеспечивающая температуру нагрева 800-850°С.
Шкаф электрический сушильный, обеспечивающий температуру нагрева 150-180°С.
Плитка электрическая закрытого типа ЭПШ-1-08/220 по ГОСТ 14919-83.
Эксикатор любого исполнения по ГОСТ 25336-82.
Стакан В-1-250 ТС по ГОСТ 25336-82.
Тигли низкие 3 или 4 по ГОСТ 9147-80.
Стаканчики СВ по ГОСТ 25336-82.
Фильтры бумажные обеззоленные "синяя лента".
Цилиндры мерные 1-100 (250, 500) по ГОСТ 1770-74.
Пипетка 4-2-1 по ГОСТ 20292-74.
Колба мерная 1-1000-2 по ГОСТ 1770-74.
силикагель технический по ГОСТ 3956-76, высушенный при 150-180°С.
кислота соляная по ГОСТ 3118-77.
Кислота серная по ГОСТ 4204-77.
Смесь кислот с массовой долей соляной кислоты 10% и массовой долей серной кислоты 0,1%, готовят следующим образом: 242,3 см3 соляной кислоты растворяют в 500 см3 воды, приливают при помощи пипетки 0,6 см3 серной кислоты и доводят объем раствора водой до 1 дм3.
Кислота азотная по ГОСТ 4461-77.
Серебро азотнокислое по ГОСТ 1277-75, раствор с массовой долей 1%.
Вода дистиллированная по ГОСТ 6709-72-->ГОСТ 6709-72.
(Измененная редакция, Изм. N 1, 2).
3.4.2. Проведение анализа
Взвешивают (2,0±0,2) г сернокислого бария (результат в граммах записывают с точностью до четвертого десятичного знака), помещают в стакан, приливают 100 см3 раствора соляной кислоты и осторожно кипятят при перемешивании в течение 15 мин, разбавляя до 100 см3 водой, нагретой до кипения.
Затем фильтруют через плотный двойной фильтр "синяя лента", промывают до отрицательной реакции на ион хлора водой, нагретой до кипения.
Промытый осадок с фильтром помещают в предварительно прокаленный тигель, медленно без воспламенения (при хорошем доступе воздуха) озоляют и прокаливают при 800-850°С до постоянной массы.
Прокаленный тигель с осадком охлаждают в эксикаторе, взвешивают (результат в граммах записывают с точностью до четвертого десятичного знака).
(Измененная редакция, Изм. N 1, 2).
3.4.3. Обработка результатов
Массовую долю сернокислого бария (X) в процентах вычисляют по формуле
где m - масса навески сернокислого бария, г;
m1 - масса остатка после прокаливания, г;
X5 - массовая доля потери массы при прокаливании, определяемые по п.3.10, %.
За результат анализа принимают среднее арифметическое результатов двух параллельных определений, абсолютное расхождение между которыми не превышает допускаемое расхождение, равное 0,3%, при доверительной вероятности P=0,95.
(Измененная редакция, Изм. N 2).
3.5. Определение массовой доли сернокислого кальция (CaSO4)
3.5.1. Средства измерения, аппаратура, реактивы и растворы
Весы лабораторные общего назначения по ГОСТ 24104-88 2-го и 3-го классов точности с наибольшими пределами взвешивания 200 и 1000 г соответственно.
Гири Г-2-210 и Г-3-210 по ГОСТ 7328-82.
Цилиндры мерные 1-100(250, 500) по ГОСТ 1770-74.
Колбы мерные 1-250(1000)-2 по ГОСТ 1770-74.
Пипетки 2-2-25(10) по ГОСТ 20292-74.
Бюретка 3-2-25-0,1 по ГОСТ 20292-74.
Плитка электрическая закрытого типа ЭПШ-1-08/220 по ГОСТ 14919-83.
Ступка фарфоровая с пестиком по ГОСТ 9147-80.
Стаканчики СВ по ГОСТ 25336-82.
Колба Кн-2-500 ТС по ГОСТ 25336-82.
Воронка лабораторная по ГОСТ 25336-82.
Фильтры бумажные обеззоленные "синяя лента".
кислота соляная по ГОСТ 3118-77, раствор с массовой долей 0,5%.
Аммоний хлористый по ГОСТ 3773-72, раствор с массовой долей 10%.
Калия гидроокись по ГОСТ 24363-80, раствор концентрации c(KOH)=5 моль/дм3.
Цинк по ГОСТ 3640-79* марки ЦВ или ЦО в чушках (для установления поправочного коэффициента), раствор концентрации c(Zn2+)=0,05 моль/дм3; готовят по ГОСТ 10398-76.
_______________
* На территории Российской Федерации документ не действует. Действует ГОСТ 3640-94. - Примечание изготовителя базы данных.
Соль динатриевая этилендиамин-N, N, N', N'-тетрауксусной кислоты, 2-водная (трилон б) по ГОСТ 10652-73, раствор концентрации c(C10H14N2Na2O8x2H2O)=0,025 моль/дм3; готовят следующим образом: 9,31 г трилона Б растворяют в воде (если раствор мутный, его фильтруют), затем переносят в мерную колбу вместимостью 1000 см3. Объем раствора доводят до метки водой и хорошо перемешивают.
Поправочный коэффициент раствора трилона Б устанавливают в соответствии с ГОСТ 10398-76 по раствору соли цинка, отбирая для титрования 10 см3 раствора концентрации c(Zn2+)=0,05 моль/дм3. Поправочный коэффициент раствора трилона Б вычисляют по формуле
где V - объем раствора трилона Б концентрации c(C10H14N2Na2O8x2H2O)=0,025 моль/дм3, израсходованный на титрование, см3.
Спирт этиловый ректификованный технический по ГОСТ 18300-87, высший сорт.
Метиловый красный (индикатор), спиртовой раствор с массовой долей 0,1%.
Калий хлористый по ГОСТ 4234-77.
Флуорексон (индикатор).
Тимолфталексон (индикатор).
Смешанный индикатор, готовят следующим образом: 0,1 г флуорексона и 0,1 г тимолфталексона растирают в ступке с 15 г хлористого калия.
Вода дистиллированная по ГОСТ 6709-72-->ГОСТ 6709-72.
(Измененная редакция, Изм. N 1, 2).
3.5.2. Проведение анализа
Взвешивают 20 г сернокислого бария (результат в граммах записывают с точностью до второго десятичного знака), помещают в коническую колбу, приливают 100 см3 раствора соляной кислоты, 20 см3 раствора хлористого аммония, колбу накрывают воронкой и кипятят в течение 30 мин. Осадок отфильтровывают через плотный фильтр "синяя лента" и промывают горячей водой до объема приблизительно 220 см3. Фильтрат и промывные воды собирают в мерную колбу вместимостью 250 см3, разбавляют до метки водой и тщательно перемешивают.
В коническую колбу отбирают пипеткой 25 см3 полученного раствора, прибавляют 100-150 см3 воды, 1 каплю метилового красного, нейтрализуют раствором гидроокиси калия, добавляют 5 см3 его избытка, прибавляют 0,10-0,15 г (на кончике шпателя) смешанного индикатора и титруют раствором трилона Б до перехода окраски раствора из зеленой в розовую.
(Измененная редакция, Изм. N 1, 2).
3.5.3. Обработка результатов
Массовую долю сернокислого кальция (X1) в процентах вычисляют по формуле
где m - масса навески сернокислого бария, г;
V - объем раствора трилона Б концентрации c(C10H14N2Na2O8x2H2O)=0,025 моль/дм3, израсходованный на титрование, см3;
0,003404 - масса сернокислого кальция, соответствующая 1 см3 раствора трилона Б концентрации c(C10H14N2Na2O8x2H2O)=0,025 моль/дм3, г;
K - поправочный коэффициент раствора трилона Б концентрации c(C10H14N2Na2O8x2H2O)=0,025 моль/дм3;
X5 - массовая доля потери массы при прокаливании, определяемые по п.3.10, %.
За результат анализа принимают среднее арифметическое результатов двух параллельных определений, относительное расхождение между которыми не превышает допускаемое расхождение, равное 20%, при доверительной вероятности P=0,95.
(Измененная редакция, Изм. N 1, 2).
3.6. Определение массовой доли железа (Fe)
3.6.1. Средства измерения, аппаратура, реактивы и растворы
Весы лабораторные общего назначения по ГОСТ 24104-88 2-го и 3-го классов точности с наибольшими пределами взвешивания 200 и 1000 г соответственно.
Гири Г-2-210 и Г-3-210 по ГОСТ 7328-82.
Фотоэлектроколориметр типа ФЭК-56, ФЭК-60 или других типов.
Пипетки 2-2-10 (20) по ГОСТ 20292-74.
Колбы мерные 1-100 (250, 500, 1000)-2 по ГОСТ 1770-74.
Цилиндры мерные 1-10 (25, 100, 250, 500) по ГОСТ 1770-74.
Бюретки 6-2-5 (10)-0,02 по ГОСТ 20292-74.
Бумага универсальная индикаторная.
Стаканчики СВ по ГОСТ 25336-82.
Воронка лабораторная по ГОСТ 25336-82.
Колба Кн-2-500 ТС по ГОСТ 25336-82.
Фильтры бумажные обеззоленные "синяя лента".
кислота соляная по ГОСТ 3118-77, раствор, разбавленный 1:4 по объему, и раствор с массовой долей 25%.
аммиак водный по ГОСТ 3760-79, раствор с массовой долей 10%.
2,2'-Дипиридил, раствор готовят следующим образом: 2,5 г реактива растворяют в 25 см3 этилового спирта и разбавляют водой до 500 см3.
Кислота аскорбиновая, водный раствор с массовой долей 5% (следует беречь от воздействия света, воздуха и тепла, сохранять в темной склянке); годен не более двух недель.
Раствор железа, содержащий 1 мг Fe3+ в 1 см3; готовят по ГОСТ 4212-76 (раствор А).
10 см3 раствора А разбавляют водой до 1 дм3 (раствор Б). 1 см3 раствора Б содержит 0,01 мг Fe3+, годен в течение суток.
Спирт этиловый ректификованный технический по ГОСТ 18300-87, высший сорт.
Вода дистиллированная по ГОСТ 6709-72-->ГОСТ 6709-72.
(Измененная редакция, Изм. N 1, 2).
3.6.2. Построение градуировочного графика
Для построения градуировочного графика готовят градуировочные растворы. Для этого в мерные колбы вместимостью 100 см3 бюреткой отбирают 1,0; 2,0; 3,0; 4,0; 5,0; 6,0; 7,0; 8,0; 9,0; 10,0 см3 раствора Б.
Растворы в колбах разбавляют до 50 см3 водой, добавляют по 2 см3 раствора соляной кислоты с массовой долей 25%, по 5 см3 растворов аскорбиновой кислоты и индикатора, каждый раз перемешивая содержимое колбы.
В полученные градуировочные растворы добавляют раствор аммиака до pH приблизительно 3,5 (по универсальной индикаторной бумаге). Затем объем растворов доводят водой до метки и тщательно перемешивают.
Одновременно готовят раствор сравнения, не содержащий железа, следующим образом: в мерную колбу вместимостью 100 см3 приливают 2 см3 раствора соляной кислоты с массовой долей 25% и 5 см3 раствора аскорбиновой кислоты доводят до метки водой и тщательно перемешивают.
Через 30 мин измеряют оптическую плотность градуировочных растворов по отношению к раствору сравнения на фотоколориметре, применяя зеленый светофильтр (при длине волны 500-540 нм) в кюветах с толщиной поглощающего свет слоя 50 мм.
По полученным данным строят градуировочный график, откладывая по оси абсцисс массу железа в градуировочных растворах в миллиграммах, а по оси ординат - соответствующие им значения оптических плотностей.
(Измененная редакция, Изм. N 1, 2).
3.6.3. Проведение анализа
Взвешивают 20 г сернокислого бария (результат в граммах записывают с точностью до второго десятичного знака), помещают в коническую колбу, приливают 100 см3 раствора соляной кислоты, разбавленного 1:4 по объему, колбу накрывают воронкой и кипятят в течение 30 мин. Суспензию охлаждают, количественно переносят в мерную колбу вместимостью 250 см3, разбавляют до метки водой, тщательно перемешивают и фильтруют через плотный фильтр "синяя лента", отбрасывая первые порции фильтрата.
В мерную колбу вместимостью 100 см3 пипеткой отбирают 20 см3 анализируемого раствора. Раствор в колбе разбавляют до 50 см3 водой и добавляют по 5 см3 растворов аскорбиновой кислоты и 2,2'-дипиридила, каждый раз перемешивая. В полученный раствор добавляют раствор аммиака до pH приблизительно 3,5 (по универсальной индикаторной бумаге), объем раствора в колбе доводят до метки водой и перемешивают.
Одновременно готовят раствор сравнения. Для этого в мерную колбу вместимостью 100 см3 приливают 2 см3 раствора соляной кислоты с массовой долей 25%, по 5 см3 растворов аскорбиновой кислоты и 2,2'-дипиридила, разбавляют водой до 50 см3, добавляют раствор аммиака до pH 3,5 (по универсальной индикаторной бумаге), доводят до метки водой и тщательно перемешивают. Через 30 мин измеряют оптическую плотность анализируемого раствора по отношению к раствору сравнения как указано в п.3.6.2.
(Измененная редакция, Изм. N 1, 2).
3.6.4. Обработка результатов
Массовую долю железа (X2) в процентах вычисляют по формуле
где m - масса навески сернокислого бария, г;
m1 - масса железа, найденная по градуировочному графику, мг;
X5 - массовая доля потери массы при прокаливании, определяемые по п.3.10, %.
За результат анализа принимают среднее арифметическое результатов двух параллельных определений, относительное расхождение между которыми не превышает допускаемое расхождение, равное 20%, при доверительной вероятности P=0,95.
(Измененная редакция, Изм. N 1, 2).
3.7. Определение массовой доли хлоридов в пересчете на хлор-ион
(Измененная редакция, Изм. N 2).
3.7.1. Средства измерения, аппаратура, реактивы и растворы
Весы лабораторные общего назначения по ГОСТ 24104-88 2-го класса точности с наибольшим пределом взвешивания 200 г.
Гири Г-2-210 по ГОСТ 7328-82.
Колба мерная 1-250-2 по ГОСТ 1770-74.
Пипетка 2-2-100 по ГОСТ 20292-74.
Цилиндры мерные 1-5 по ГОСТ 1770-74.
Бюретка 6-2-10-0,02 по ГОСТ 20292-74.
Колбы Кн-2-250 (500) ТС по ГОСТ 25336-82.
Воронка лабораторная по ГОСТ 25336-82.
Фильтры бумажные обеззоленные "синяя лента".
Стаканчики СВ по ГОСТ 25336-82.
Плитка электрическая закрытого типа ЭПШ-1-08/220 по ГОСТ 14919-83.
Ртуть (II) азотнокислая 1-водная по ГОСТ 4520-78, раствор концентрации c(1/2Hg(NO3)2xH2O=0,1 моль/дм3.
Кислота азотная по ГОСТ 4461-77 плотностью 1,4 г/см3.
Натрий нитропруссидный, раствор с массовой долей 10%.
Вода дистиллированная по ГОСТ 6709-72-->ГОСТ 6709-72.
(Измененная редакция, Изм. N 1, 2).
3.7.2. Проведение анализа
Взвешивают 20 г сернокислого бария (результат в граммах записывают с точностью до второго десятичного знака), (помещают в коническую колбу вместимостью 500 см3, приливают 200 см3 воды, нагретой до кипения и кипятят в течение 30 мин. Суспензию охлаждают, количественно переводят в мерную колбу вместимостью 250 см3, доводят объем раствора водой до метки, тщательно перемешивают и после отстаивания фильтруют через бумажный фильтр, отбрасывая первые порции фильтрата.
В коническую колбу вместимостью 250 см3 отбирают пипеткой 100 см3 полученного фильтрата, добавляют 5 см3 азотной кислоты, 5-10 капель раствора нитропруссидного натрия и титруют из бюретки раствором азотнокислой ртути до появления неисчезающей мути (на черном фоне).
(Измененная редакция, Изм. N 1, 2).
3.7.3. Обработка результатов
Массовую долю хлоридов в пересчете на хлор-ион (X3) в процентах вычисляют по формуле
где m - масса навески сернокислого бария, г;
V - объем раствора азотнокислой ртути концентрации точно c(1/2Hg(NO3)2xH2O=0,1 моль/дм3, израсходованный на титрование хлоридов, см3;
0,003545 - масса хлор-иона, соответствующая 1 см3 раствора азотнокислой ртути концентрации точно c(1/2Hg(NO3)2xH2O=0,1 моль/дм3, г;
X5 - массовая доля потери массы при прокаливании, определяемые по п.3.10, %.
За результат анализа принимают среднее арифметическое результатов двух параллельных определений, относительное расхождение между которыми не превышает допускаемое расхождение, равное 20%, при доверительной вероятности P=0,95.
(Измененная редакция, Изм. N 1, 2).
3.8. (Исключен, Изм. N 2).
3.8.1. Аппаратура, реактивы и растворы
весы лабораторные общего назначения по ГОСТ 24104-80 с наибольшим пределом взвешивания не менее 200 г и погрешностью взвешивания не более ±0,05 г;
гири по ГОСТ 7328-82;
кислота соляная по ГОСТ 3118-77;
натрия гидроокись по ГОСТ 4328-77, 10%-ный раствор;
калий-Натрий виннокислый 4-водный по ГОСТ 5845-79, 20%-ный раствор;
тиоацетамид, 2%-ный раствор, профильтрованный через беззольный фильтр "синяя лента", годен в течение 3 суток;
раствор А, содержащий 1 мг Pb2+ в 1 см3, готовят по ГОСТ 4212-76;
раствор Б, содержащий 0,05 мг Pb2+ в 1 см3, готовят следующим образом: 5 см3 раствора А помещают в мерную колбу вместимостью 100 см3 и доводят водой до метки (годен в течение суток);
бумага индикаторная лакмусовая;
Вода дистиллированная по ГОСТ 6709-72-->ГОСТ 6709-72.
(Измененная редакция, Изм. N 1).
3.8.2. Проведение анализа
Взвешивают 20 г сернокислого бария (результат в граммах записывают с точностью до второго десятичного знака), прибавляют 50 см3 соляной кислоты, кипятят в течение 30 мин, полученную суспензию разбавляют до 50 см3 несколько раз водой. Осадок отфильтровывают через фильтр "синяя лента" в стакан вместимостью 300 м*, промывают 3-4 раза небольшими порциями горячей воды, давая ей каждый раз стечь.
________________
* Текст документа соответствует оригиналу. - Примечание изготовителя базы данных.
Фильтрат нейтрализуют гидроокисью натрия до синей окраски лакмусовой бумаги, нагревая до начала кипения, и отстаивают на теплом месте до коагуляции и гидроокиси железа.
Осадок отфильтровывают через фильтр "белая лента" в высокий стакан вместимостью 300 см3 из бесцветного стекла, фильтр с осадком промывают два-три раза горячей водой.
Фильтрат нейтрализуют соляной кислотой до розового цвета лакмусовой бумаги, приливают 5 см3 раствора виннокислого калия-натрия, перемешивают, добавляют 5 см3 10%-ного раствора гидроокиси натрия и 4 см3 раствора тиоацетамида, перемешивая перед каждым добавлением реактива.
Окраску анализируемого раствора сравнивают с окраской раствора контрольного опыта, приготовленного одновременно с анализируемым, следующим образом: в стакан из бесцветного стекла вместимостью 300 см3 приливают 50 см3 соляной кислоты и кипятят 30 мин, подливая воду до объема 50 см3. После охлаждения раствор нейтрализуют гидроокисью натрия по лакмусовой бумаге (до синей окраски), приливают несколько капель соляной кислоты до розовой окраски лакмусовой бумаги и из микробюретки добавляют 3 см3 раствора Б.
Затем в раствор контрольного опыта добавляют все те же реактивы в том же количестве и последовательности, что и для анализируемого раствора, объемы растворов уравнивают водой.
Продукт считают соответствующим требованиям настоящего стандарта, если наблюдаемая через 10 мин на фоне молочного стекла окраска анализируемого раствора не будет интенсивнее окраски раствора контрольного опыта.
(Измененная редакция, Изм. N 1).
3.9. Определение массовой доли влаги
(Измененная редакция, Изм. N 2).
3.9.1а. Средства измерения, аппаратура и реактивы
Весы лабораторные общего назначения по ГОСТ 24104-88 2-го класса точности с наибольшим пределом взвешивания 200 г.
Гири Г-2-210 по ГОСТ 7328-82.
Шкаф электрический сушильный, обеспечивающий температуру нагрева (120±5)°С.
Эксикатор любого исполнения по ГОСТ 25336-82.
силикагель по ГОСТ 3956-76, высушенный при 150-180°С.
Стаканчики СВ по ГОСТ 25336-82.
(Введен дополнительно, Изм. N 1); (Измененная редакция, Изм. N 2).
3.9.1. Проведение анализа
Взвешивают (10,0±0,2) г сернокислого бария (результат в граммах записывают с точностью до четвертого десятичного знака) в стаканчике для взвешивания (или алюминиевой кювете), предварительно высушенной до постоянной массы, затем сушат под инфракрасной лампой мощностью 500 Вт или в сушильном шкафу при 120°С до постоянной массы.
Охлаждают кювету или стаканчик для взвешивания в эксикаторе над силикагелем и взвешивают (результат в граммах записывают с точностью до четвертого десятичного знака).
(Измененная редакция, Изм. N 1, 2).
3.9.2. Обработка результатов
Массовую долю влаги (X4) в процентах вычисляют по формуле
где m - масса навески сернокислого бария, г;
m1 - масса кюветы или стаканчика для взвешивания с сернокислым барием до высушивания, г;
m2 - масса кюветы или стаканчика для взвешивания с сернокислым барием после высушивания, г.
За результат анализа принимают среднее арифметическое результатов двух параллельных определений, относительное расхождение между которыми не превышает допускаемое расхождение, равное 5%, при доверительной вероятности P=0,95.
(Измененная редакция, Изм. N 1, 2).
3.10. Определение массовой доли потери массы при прокаливании
(Измененная редакция, Изм. N 2).
3.10.1а. Средства измерения, аппаратура, реактивы
Весы лабораторные общего назначения по ГОСТ 24104-88 2-го класса точности с наибольшим пределом взвешивания 200 г.
Гири Г-2-210 по ГОСТ 7328-82.
Шкаф электрический сушильный, обеспечивающий температуру нагрева 150-180°С.
Электропечь муфельная с терморегулятором, обеспечивающая температуру нагрева 500-600°С.
Эксикатор любого исполнения по ГОСТ 25336-82.
Тигли низкие 3 или 4 по ГОСТ 9147-80.
силикагель по ГОСТ 3956-76, высушенный при 150-180°С.
(Введен дополнительно, Изм. N 1); (Измененная редакция, Изм. N 2).
3.10.1. Проведение анализа
Взвешивают (2,5±0,5) г сернокислого бария (результат в граммах записывают с точностью до четвертого десятичного знака) в предварительно прокаленном и взвешенном тигле и прокаливают при 500-600°С до постоянной массы, охлаждая тигли в эксикаторе над силикагелем (результат взвешивания в граммах записывают с точностью до четвертого десятичного знака).
(Измененная редакция, Изм. N 1).
3.10.2. Обработка результатов
Потери массы при прокаливании (X5) в процентах вычисляют по формуле
где m - масса навески сернокислого бария, г;
m1 - масса тигля с сернокислым барием до прокаливания, г;
m2 - масса тигля с сернокислым барием после прокаливания, г.
За результат анализа принимают среднее арифметическое результатов двух параллельных определений, относительное расхождение между которыми не превышает допускаемое расхождение, равное 5%, при доверительной вероятности P=0,95.
(Измененная редакция, Изм. N 2).
3.11. Определение фракционного состава
3.11.1. Средства измерения, аппаратура, реактивы
Весы лабораторные общего назначения по ГОСТ 24104-88 2-го и 3-го классов точности с наибольшими пределами взвешивания 200 и 1000 г соответственно.
Гири Г-2-210 и Г-3-210 по ГОСТ 7328-82.
Ступка с пестиком по ГОСТ 9147-80.
Термометр стеклянный ртутный с пределами измерения от 0 до +50°С.
Тигли низкие 3 или 4 или чашка по ГОСТ 9147-80.
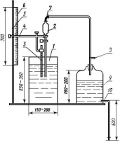
Установка для определения фракционного состава (черт.1), состоит из следующих элементов: цилиндрического сосуда вместимостью 4-5 дм3 для приготовления суспензии, пропеллерной мешалки с частотой вращения 200-250 мин-1, пипетки (черт.2) вместимостью 10 см3, термометра, вспомогательного сосуда для взятия пробы с помощью вакуума, горловина которого через трехходовой кран соединена с пипеткой. На ножке пипетки нанесены две метки - на расстоянии 100 и 40 мм от ее нижнего края. Пипетку закрепляют на штативе так, чтобы она могла плавно подниматься и опускаться по стержню. На стержне устанавливают шкалу для отсчета высоты положения держателя с пипеткой.
Аммоний лимоннокислый по ТУ 6-09-01-768-89.
Вода дистиллированная по ГОСТ 6709-72-->ГОСТ 6709-72.
(Измененная редакция, Изм. N 2).
Черт.1. Установка для определения фракционного состава
Установка для определения фракционного состава
1 - сосуд цилиндрический; 2 - пипетка; 3 - термометр; 4 - держатель; 5 - стержень; 6 - шкала; 7 - трубка резиновая; 8 - кран трехходовой; 9 - сосуд вспомогательный; 10 - кран.
Черт.1
(Измененная редакция, Изм. N 1).
Черт.2. Пипетка для отбора проб
Пипетка для отбора проб
Черт.2
3.11.2. Проведение анализа
Взвешивают навеску сернокислого бария, рассчитанную так, чтобы на каждый литр суспензии приходилось 3 г прокаленного вещества (результат взвешивания в граммах записывают с точностью до второго десятичного знака), помещают в ступку, примешивают лимоннокислый аммоний из расчета 0,1-0,2 г на 1 дм3 суспензии, добавляют воды и слегка растирают мягкие комки резиновым пестиком. Суспензию сливают в сосуд 1, который содержит 2-3 дм3 дистиллированной воды, и оставшиеся комочки подвергают многократному разминанию в небольшом количестве воды до их исчезновения.
В сосуд добавляют воду до метки и суспензию перемешивают в течение часа с помощью пропеллерной мешалки. Для улучшения перемешивания в суспензию параллельно оси мешалки опускают лопаточку из стекла или пластмассы.
После прекращения перемешивания сосуд с суспензией быстро переставляют на штатив с пипеткой, и перед опусканием пипетки взмучивают остатки сернокислого бария со дна сосуда мешалкой, сделанной из насаженного на металлический стержень диска с отверстиями. По окончании перемешивания сосуд закрывают крышкой с двумя отверстиями. В одно отверстие вставляют термометр, а в центральное отверстие опускают пипетку на 100 мм от зеркала суспензии, по заранее установленному положению держателя штатива, и в этот момент отмечают время начала отстаивания. Пипетку вставляют с закрытым краном. При отборе пробы во вспомогательном сосуде 9 создается вакуум и открытием трехходового крана и крана пипетки суспензию затягивают в пипетку до метки, соответствующей 10 см3, после чего кран пипетки закрывают. Трехходовой кран поворачивают на соединение с атмосферой и жидкость из пипетки сливают через торцовое отверстие пипеточного крана в фарфоровую чашку или тигель (первая порция суспензии отбрасывается). При проведении этой операции не допускается опускание суспензии из пипетки обратно в сосуд. Сразу после отбора проб на глубине 100 мм, пипетку вынимают из сосуда, промывают водой и опускают пипетку на 40 мм от зеркала суспензии.
Время отбора проб для глубины 40 и 100 мм в зависимости от температуры суспензии дано в табл.2.
Время для промежуточных температур определяется интерполяцией по графику. Если в процессе осаждения температура суспензии изменяется, то время осаждения определяется интерполяцией по средней температуре опыта. Для устранения влияния изменения температуры рекомендуется применять термостат. Пробу, слитую в чашечку или тигель, выпаривают и прокаливают до постоянной массы при 500-550°C.
Таблица 2
(Измененная редакция, Изм. N 1, 2).
3.11.3. Обработка результатов
Массовую долю частиц диаметром 5 мкм и более (X6) и частиц диаметром 1 мкм и менее (X7) в процентах вычисляют по формулам:


где m - масса сухого остатка крупной фракции, г;
m1 - масса сухого остатка мелкой фракции, г;
0,030 - масса анализируемого продукта в 10 см начальной суспензии, г.
Результат подсчетов выражают числами, округленными до целых единиц процента.
За результат анализа принимают среднее арифметическое результатов двух параллельных определений, абсолютное расхождение между которыми не превышает допускаемое расхождение, равное 2,5%, при доверительной вероятности P=0,95.
(Измененная редакция, Изм. N 1, 2).
3.12. Определение массовой доли остатка при просеве на сите
(Измененная редакция, Изм. N 2).
3.12.1. Средства измерения, аппаратура
Весы лабораторные общего назначения по ГОСТ 24104-88 2-го и 3-го классов точности с наибольшими пределами взвешивания 200 и 1000 г соответственно.
Гири Г-2-210 и Г-3-210 по ГОСТ 7328-82.
Сито с сеткой N 016К по ГОСТ 6613-86 диаметром 100 мм и высотой 30-35 мм.
Кисть N 18-20 из конского волоса.
(Измененная редакция, Изм. N 1, 2).
3.12.2. Проведение анализа
Взвешивают 10 г сернокислого бария (результат в граммах записывают с точностью до второго десятичного знака), переносят на сито и просеивают при помощи кисточки. Окончание просева следует проводить на черном фоне.
Отсутствие частичек сернокислого бария на черном фоне свидетельствует об окончании просева.
Оставшиеся на сите и кисти твердые частицы количественно переносят на часовое стекло и взвешивают (результат в граммах записывают с точностью до четвертого десятичного знака).
3.12.3. Обработка результатов
Остаток при просеве на сите (X8) в процентах вычисляют по форме
где m1 - масса остатка, г;
m - масса навески сернокислого бария, г.
За результат анализа принимают среднее арифметическое результатов двух параллельных определений, относительное расхождение между которыми не превышает допускаемое расхождение, равное 5%, при доверительной вероятности P=0,95.
(Измененная редакция, Изм. N 2).
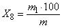
Черт.3. Волюметр
Черт.3
3.13. Определение насыпной плотности
(Измененная редакция, Изм. N 2).
3.13.1. Средства измерения, аппаратура
Весы лабораторные общего назначения по ГОСТ 24104-88 2-го и 3-го классов точности с наибольшими пределами взвешивания 200 и 1000 г соответственно.
Гири Г-2-210 и Г-3-210 по ГОСТ 7328-82.
Сито с сеткой N 0315Н по ГОСТ 6613-86.
Кисть N 18-20 из конского волоса.
Волюмометр (черт.3), изготовленный из органического стекла по ГОСТ 17622-72 или стекла. Поверхность скольжения наклонных полок должна быть чистой и гладкой.
Цилиндр 1-100 по ГОСТ 1770-74, обрезанный до метки 20 см3 (мерник).
(Измененная редакция, Изм. N 1, 2).
3.13.2. Проведение анализа
Волюмометр и сито закрепляют на штативе строго вертикально: волюмометр - на расстоянии 50 мм от дна мерника, сито - непосредственно над верхним отверстием волюмометра.
Взвешивают мерник без продукта (результат в граммах записывают до второго десятичного знака).
Сернокислый барий насыпают небольшими порциями на сито и слегка протирают кистью для свободного падения продукта через волюмометр.
После заполнения мерника поверхность продукта уравнивают с краями мерника при помощи ножа (или линейки), избегая толчков или колебаний мерника.
После этого, слегка постучав по сосуду, чтобы продукт осел и не рассыпался при взвешивании, следует очистить его снаружи от прилипших частиц и взвесить (результат взвешивания в граммах записывают до второго десятичного знака).
(Измененная редакция, Изм. N 1, 2).
3.13.3. Обработка результатов
Насыпную массу (X9) в г/см3 вычисляют по формуле
где m - масса мерника вместе с продуктом, г;
m1 - масса мерника без продукта, г;
V - объем мерника, см3.
За результат анализа принимают среднее арифметическое результатов двух параллельных определений, относительное расхождение между которыми не превышает допускаемое расхождение, равное 15%, при доверительной вероятности P=0,95.
(Измененная редакция, Изм. N 2).
4. УПАКОВКА, МАРКИРОВКА, ТРАНСПОРТИРОВАНИЕ И ХРАНЕНИЕ
4.1. Сернокислый барий упаковывают в полиэтиленовые мешки по ГОСТ 17811-78 или в пленочные мешки-вкладыши по ГОСТ 19360-74, вложенные в льно-джуто-кенафные мешки по ГОСТ 18225-72 массой нетто 50 кг или вложенные в четырех-, пятислойные бумажные мешки по ГОСТ 2226-88 марок БМ, ПМ с массой нетто в соответствии с ГОСТ 2226-88. Допускаемое отклонение массы мешка с продуктом ±1 кг.
По согласованию с потребителем допускается упаковывание сернокислого бария в полиэтиленовые мешки по ГОСТ 17811-78 или в пленочные мешки-вкладыши по ГОСТ 19360-74, вложенные в деревянные сухотарные бочки по ГОСТ 8777-80 вместимостью 100 дм3, а также в специализированные мягкие контейнеры типов МКР-1,0 М по ТУ 6-19-264-87, МКР-1,0 С по ТУ 6-19-74-77, МК-1,5 Л по ТУ 6-52-04-89.
Полиэтиленовый мешок или пленочный вкладыш подворачивают и прошивают вместе с бумажным или льно-джуто-кенафным мешком. При укладывании в деревянные бочки полиэтиленовых мешков или пленочных вкладышей с продуктом допускается завязывание их двойным узлом.
(Измененная редакция, Изм. N 1, 2).
4.2. Транспортная маркировка - по ГОСТ 14192-77.
На каждую упаковочную единицу наносят надпись, содержащую следующие данные:
а) наименование продукта;
б) номер партии;
в) обозначение настоящего стандарта.
(Измененная редакция, Изм. N 1, 2).
4.3. (Исключен, Изм. N 1).
4.4. Сернокислый барий транспортируют всеми видами транспорта (кроме авиации) в крытых транспортных средствах в соответствии с правилами перевозок грузов, действующими на транспорте данного вида. По железной дороге сернокислый барий транспортируют повагонными отправками.
Сернокислый барий, упакованный в мешки и бочки, транспортируют пакетами по ГОСТ 26663-85 с использованием поддонов по ГОСТ 9078-84 или ГОСТ 9557-87. Средства скрепления - по ГОСТ 21650-76, габаритные размеры и масса брутто транспортного пакета должны соответствовать ГОСТ 24597-81.
Продукт, упакованный в мягкие специализированные контейнеры, транспортируют открытым подвижным составом в соответствии с техническими условиями погрузки и крепления грузов, утвержденными Министерством путей сообщения СССР, без перегрузок в пути следования, с погрузкой и выгрузкой на подъездных путях грузовладельцев.
(Измененная редакция, Изм. N 1, 2).
4.5. Сернокислый барий хранят в закрытых складских помещениях, предохраняя от попадания влаги.
Допускается хранение сернокислого бария, упакованного в мягкие специализированные контейнеры, на открытых площадках.
(Введен дополнительно, Изм. N 2).
5. ГАРАНТИИ ИЗГОТОВИТЕЛЯ
5.1. Изготовитель гарантирует соответствие сернокислого бария требованиям настоящего стандарта при соблюдении условий транспортирования и хранения.
5.2. Гарантийный срок хранения сернокислого бария - 1,5 года со дня изготовления.
Разд.5. (Измененная редакция, Изм. N 1).
Разд.6. (Исключен, Изм. N 1).
официальное издание
М.: Издательство стандартов, 1985
