Новости Нефтегазовая пром.
Выставки Наука и технология


Барий хлористый технический ГОСТ 742-78

барий хлористый технический. Технические условия (с Изменениями N 1, 2, 3, 4) ГОСТ 742-78


ГОСТ 742-78

Группа Л14

     

МЕЖГОСУДАРСТВЕННЫЙ СТАНДАРТ

барий хлористый ТЕХНИЧЕСКИЙ 

Технические условия

Barium chloride for industrial use. 
Specifications



ОКП 21 5211

Дата введения 1979-01-01

     
     
ИНФОРМАЦИОННЫЕ ДАННЫЕ

1. РАЗРАБОТАН И ВНЕСЕН Министерством химической промышленности СССР

2. УТВЕРЖДЕН И ВВЕДЕН В ДЕЙСТВИЕ Постановлением Государственного комитета по стандартам от 3 февраля 1978 г. N 173

3. ВЗАМЕН ГОСТ 742-72

4. ССЫЛОЧНЫЕ НОРМАТИВНО-ТЕХНИЧЕСКИЕ ДОКУМЕНТЫ

Обозначение НТД, на который дана ссылка

Номер пункта, подпункта

ГОСТ 61-75

3.7.1

ГОСТ 1770-74

3.3.1, 3.4.1, 3.5.1, 3.6.1, 3.7.1

ГОСТ 2226-88

4.1

ГОСТ 3118-77

3.3.1, 3.5.1, 3.6.1

ГОСТ 3760-79

3.6.1

ГОСТ 3777-76

3.5.1

ГОСТ 3956-76

3.3.1, 3.4.1

ГОСТ 4108-72

3.3.1

ГОСТ 4159-79

3.7.1

ГОСТ 4204-77

3.3.1, 3.4.1

ГОСТ 4212-76

3.5.1, 3.6.1

ГОСТ 5457-75

3.5.1

ГОСТ 6709-72-->ГОСТ 6709-72

3.3.1, 3.4.1, 3.5.1, 3.6.1, 3.7.1

ГОСТ 7328-2001

3.3.1, 3.4.1, 3.6.1, 3.7.1

ГОСТ 9147-80

3.3.1, 3.4.1

ГОСТ 10163-76

3.7.1

ГОСТ 14192-96

4.2

ГОСТ 14919-83

3.3.1, 3.4.1, 3.6.1

ГОСТ 17811-78

4.1

ГОСТ 18300-87

3.6.1

ГОСТ 19360-74

4.1

ГОСТ 19433-88

2.1, 4.2

ГОСТ 21650-76

4.4

ГОСТ 24104-88

3.3.1, 3.4.1, 3.6.1, 3.7.1

ГОСТ 24597-81

4.4

ГОСТ 25336-82

3.3.1, 3.4.1, 3.6.1, 3.7.1

ГОСТ 26663-85

4.4

ГОСТ 27068-86

3.7.1

ГОСТ 28498-90

3.3.1

ГОСТ 30090-93

4.1

ТУ 6-09-74-77

4.1

5. Ограничение срока действия снято Постановлением Госстандарта СССР от 05.04.91 N 447

6. ИЗДАНИЕ (апрель 2002 г.) с Изменениями N 1, 2, 3, 4, утвержденными в марте 1983 г., июне 1986 г., марте 1988 г., апреле 1991 г. (ИУС 7-83, 9-86, 6-88, 7-91)

Настоящий стандарт распространяется на технический хлористый барий, предназначенный для химической промышленности, машиностроения и металлообработки, цветной металлургии и других отраслей промышленности.

Настоящий стандарт устанавливает требования к техническому хлористому барию, изготавливаемому для нужд народного хозяйства и для поставки на экспорт.

Формула: BaCl2·2H2O


Молекулярная масса (по международным атомным массам 1973 г.) - 244,27.

(Измененная редакция, Изм. N 1).

1. ТЕХНИЧЕСКИЕ ТРЕБОВАНИЯ

1.1. Технический хлористый барий должен быть изготовлен в соответствии с требованиями настоящего стандарта по технологическому регламенту, утвержденному в установленном порядке.

1.2. По физико-химическим показателям технический хлористый барий должен соответствовать нормам, указанным в табл.1.

Таблица 1

Наименование показателя

Норма

Высший сорт ОКП 21 5211 0120

1-й сорт ОКП 
21 5211 0130

1. Массовая доля хлористого бария (BaCl2·2H2O), %, не менее

99,0

96,5

2. Массовая доля нерастворимого в воде остатка, %, не более

0,05

0,12

3. Массовая доля натрия, %, не более

0,2

0,2

4. Массовая доля кальция, %, не более

0,1

0,2

5. Массовая доля железа, %, не более

0,001

0,003

6. Массовая доля сульфидов в пересчете на BaS, %, не более

0,01

0,10


(Измененная редакция, Изм. N 2).

2. ПРАВИЛА ПРИЕМКИ

2.1. Технический хлористый барий принимают партиями. Партией считают продукт, однородный по своим показателям качества, сопровождаемый одним документом о качестве, в количестве не более 70 т.

Документ о качестве должен содержать:

наименование предприятия-изготовителя и его товарный знак;

наименование и сорт продукта;

номер партии;

дату изготовления;

массу нетто;

обозначение настоящего стандарта;

знак опасности по ГОСТ 19433, класс 6 (черт.6б), классификационный шифр 6163, серийный номер ООН 1564;

результаты проведенных анализов или подтверждение о соответствии качества продукта требованиям настоящего стандарта.

(Измененная редакция, Изм. N 4).

2.2. Для проверки качества технического хлористого бария на соответствие его показателей требованиям настоящего стандарта отбирают 3% мешков, но не менее чем от трех из партии, состоящей менее чем из 50 мешков.

Допускается отбор проб из потока продукта при загрузке мешков; масса точечной пробы не менее 0,5 кг от 25 т продукта.

(Измененная редакция, Изм. N 3).

2.3. При получении неудовлетворительных результатов анализа хотя бы по одному из показателей проводят повторный анализ проб, отобранных от удвоенного количества единиц продукции той же партии. Результаты повторного анализа распространяются на всю партию.

3. МЕТОДЫ АНАЛИЗА

3.1. Отбор проб

3.1.1. Точечные пробы отбирают щупом, погружая его на 3/40 глубины мешка по вертикальной оси. Масса точечной пробы не должна быть менее 0,2 кг.

Допускается отбирать пробу пересечением потока продукции непосредственно перед загрузкой в мешки с частотой, обеспечивающей массу объединенной пробы не менее 0,5 кг.

3.1.2. Отобранные точечные пробы соединяют в объединенную пробу, тщательно перемешивают, сокращают методом квартования до средней пробы массой не менее 0,25 кг и помещают в чистую сухую банку, которую плотно закрывают.

3.1.3. На банку наклеивают этикетку со следующими обозначениями: наименование продукта, номер партии и дата отбора пробы.

3.2. Для проведения анализа и приготовления растворов применяют реактивы квалификации х.ч. или ч.д.а.

Допускается применение импортной лабораторной посуды и аппаратуры по классу точности и реактивов по качеству не ниже отечественных.

3.3. Определение массовой доли хлористого бария

3.3.1. Аппаратура, реактивы и растворы

Весы лабораторные по ГОСТ 24104*, 2-го и 3-го классов точности.
________________
* С 1 июля 2002 г. вводится в действие ГОСТ 24104-2001 (здесь и далее).

Гири Г-2-210 и Г-3-210 по ГОСТ 7328.

Шкаф электрический сушильный, обеспечивающий температуру нагрева 150-180 °С.

Термометр стеклянный технический по ГОСТ 28498.

Плитка электрическая закрытого типа ЭПШ 1-08-220 по ГОСТ 14919 или подобного типа, либо воздушная (песчаная) баня.

Электропечь муфельная с терморегулятором, обеспечивающим равномерность нагрева и поддержание температуры 800-850 °С.

Эксикатор по ГОСТ 25336, заполненный силикагелем.

Ступка фарфоровая с пестиком по ГОСТ 9147.

Стакан Н-1-400(500) ТС по ГОСТ 25336.

Пипетка 3-25 по НТД. Допускается использование пипетки 2-го класса с погрешностью не более ±0,02 см3.

Цилиндры мерные 1-10-(25, 250) по ГОСТ 1770.

Воронка стеклянная по ГОСТ 25336.

Тигли низкие 3 и 4 по ГОСТ 9147.

Фильтр бумажный обеззоленный "синяя лента".

Стекла часовые, палочки стеклянные с резиновым наконечником.

кислота соляная по ГОСТ 3118 плотностью 1,19 г/см3.

Кислота серная по ГОСТ 4204, раствор концентрации c(1/2H2SO4)=1 моль/дм3.

барий хлористый по ГОСТ 4108, раствор с массовой долей 10%.

силикагель технический по ГОСТ 3956, высушенный при 150-180 °С до постоянной массы.

Вода дистиллированная по ГОСТ 6709.

(Измененная редакция, Изм. N 4).

3.3.2. Проведение анализа

25 см3 раствора А, приготовленного по п.3.4.2, при помощи пипетки переносят в стакан, приливают 200 см3 воды, 2 см3 соляной кислоты, нагревают до кипения и медленно, по каплям, помешивая, приливают 30 см3 раствора серной кислоты, нагретой до кипения, кипятят 2-3 мин для укрупнения осадка.

Стакан накрывают часовым стеклом и выдерживают на электроплитке, покрытой асбестом, либо на воздушной (песчаной) бане при температуре, близкой к кипению (90-95 °С), не менее 2 ч. Осадок отфильтровывают через двойной плотный бумажный обеззоленный фильтр "синяя лента" и промывают водой, нагретой до кипения, до отрицательной реакции промывных вод на сульфат-ион (проба с хлористым барием). Фильтр с осадком помещают в прокаленный и предварительно взвешенный тигель (результат взвешивания в граммах записывают с точностью до четвертого десятичного знака). Тигель с осадком помещают на электроплитку, осторожно подсушивают, озоляют без воспламенения и прокаливают до постоянной массы при 800-850 °С. Прокаленный тигель с осадком охлаждают в эксикаторе над силикагелем и взвешивают (результат в граммах записывают с точностью до четвертого десятичного знака).

3.3.3. Обработка результатов

Массовую долю хлористого бария (X) в процентах вычисляют по формуле где m2 - масса тигля с осадком после прокаливания, г;

m1 - масса тигля, г;

1,0466 - коэффициент пересчета BaSO4 на BaCl2·2H2O;


m - масса навески, г.

За результат анализа принимают среднее арифметическое результатов двух параллельных определений, абсолютное расхождение между которыми не превышает допускаемое расхождение, равное 0,3%, при доверительной вероятности P=0,95.

3.4. Определение массовой доли нерастворимого в воде остатка

3.4.1. Аппаратура, реактивы и растворы

Весы лабораторные по ГОСТ 24104, 2-го класса точности.

Гири Г-2-210 по ГОСТ 7328.

Плитка электрическая закрытого типа ЭПШ 1-08-220 по ГОСТ 14919 или подобного типа.

Электропечь муфельная с терморегулятором, обеспечивающим равномерность нагрева и поддержание температуры 800-900 °С.

Эксикатор по ГОСТ 25336, заполненный силикагелем.

Стаканы Н-1-300(400) ТС по ГОСТ 25336.

Цилиндр мерный 1-250 по ГОСТ 1770.

Колба мерная 1-1000 по ГОСТ 1770.

Тигли низкие 3 или 4 по ГОСТ 9147.

Фильтр бумажный обеззоленный "синяя лента".

силикагель технический по ГОСТ 3956, высушенный при 150-180 °С до постоянной массы.

Кислота серная по ГОСТ 4204, раствор с массовой долей 10%.

Вода дистиллированная по ГОСТ 6709.

3.4.2. 25 г хлористого бария (результат в граммах записывают с точностью до четвертого десятичного знака) помещают в стакан, растворяют в 200 см3 воды, нагретой до кипения, и фильтруют через двойной бумажный обеззоленный фильтр "синяя лента". Осадок промывают водой, нагретой до кипения, до отрицательной реакции промывных вод на ион бария (проба с раствором серной кислоты). Фильтрат и промывные воды переносят в мерную колбу, объем раствора в колбе доводят водой до метки и хорошо перемешивают (раствор А). Раствор сохраняют для определения массовой доли хлористого бария, фильтр с осадком помещают в прокаленный и предварительно взвешенный тигель (результат в граммах записывают с точностью до четвертого десятичного знака). Тигель с фильтром помещают на электроплитку, осторожно подсушивают, озоляют без воспламенения и прокаливают до постоянной массы при 800-900 °С. Прокаленный тигель с осадком охлаждают в эксикаторе над силикагелем и взвешивают (результат в граммах записывают с точностью до четвертого десятичного знака).

3.4.3. Обработка результатов

Массовую долю нерастворимого в воде остатка (X1) в процентах вычисляют по формуле где m2 - масса тигля с осадком после прокаливания, г;
m1 - масса тигля, г;

m - масса навески, г.

За результат анализа принимают среднее арифметическое результатов двух параллельных определений, относительное расхождение между которыми не превышает допускаемое расхождение, равное 15%, при доверительной вероятности P=0,95.

3.5. Определение массовой доли натрия и кальция

3.5.1. Аппаратура, реактивы и растворы

Спектрофотометр для пламени (любого типа), работающий в диапазоне волн от 400 до 800 нм.

Компрессор любого типа для воздуха.

Колбы мерные 1-100-2, 1-200-2, 1-250-2 по ГОСТ 1770.

Бюретки 3-2-10-0,1 по НТД.

Ацетилен растворенный технический по ГОСТ 5457.

Пропан-бутан (бытовой в баллоне) или газ из городской сети.

барий азотнокислый по ГОСТ 3777, дважды перекристаллизованный, не содержащий примесей натрия и кальция, или с минимальным их содержанием, степень чистоты определяют на спектрофотометре по методу добавок, раствор с массовой долей 5% (раствор А).

кислота соляная по ГОСТ 3118, раствор с массовой долей 25%.

Вода дистиллированная по ГОСТ 6709.

Растворы массовой концентрации натрия и кальция; готовят по ГОСТ 4212.

Раствор массовой концентрации натрия и кальция по 0,1 г/дм3; готовят следующим образом: по 25 см3 растворов, содержащих натрий и кальций, приготовленных по ГОСТ 4212, помещают в мерную колбу вместимостью 250 см3, объем раствора в колбе доводят водой до метки и тщательно перемешивают (раствор Б).

Раствор массовой концентрации натрия и кальция по 0,01 г/дм3; готовят следующим образом: 25 см3 раствора Б помещают в мерную колбу вместимостью 250 см3, объем раствора в колбе доводят водой до метки и тщательно перемешивают (раствор В).

Растворы сравнения массовой концентрации натрия и кальция 0,25; 0,5; 1,0; 2,0; 4,0; 6,0; 8,0; 10,0; 12,0 и 14,0 мг/дм3 каждого элемента; готовят следующим образом: в мерные колбы вместимостью 100 см3 помещают с помощью бюреток по 10,6 см3 раствора А, 0,6 см3 раствора соляной кислоты, а также растворы Б и В. Объем растворов Б и В, вводимых в каждую мерную колбу, указан в табл.2.

Таблица 2

Номер раствора сравнения

Объем раствора Б,
см3

Объем раствора В,
см3

Массовая концентрация натрия или кальция в растворе сравнения, мг/дм3

1

-

2,5

0,25

2

-

5,0

0,5

3

-

10,0

1,0

4

2

-

2,0

5

4

-

4,0

6

6

-

6,0

7

8

-

8,0

8

10

-

10,0

9

12

-

12,0

10

14

-

14,0

11*

-

-

-

________________
* Контрольный (фоновый) раствор без определяемых элементов.

Объемы растворов в колбах доводят водой до метки и тщательно перемешивают.

3.5.2. Проведение анализа

Взвешивают 1 г хлористого бария (результат в граммах записывают с точностью до четвертого десятичного знака), помещают в мерную колбу вместимостью 200 см3, объем раствора в колбе доводят до метки водой и тщательно перемешивают.

Подготовку к определению проводят согласно инструкции к прибору.

Определение проводят с использованием спектральных линий: по натрию - 589,0 нм, по кальцию - 422,7 нм. Нулевую линию прибора устанавливают по воде.

Определение проводят по градуировочному графику (способ 1) или с применением ограничивающих растворов (способ 2).

При определении по способу 1 после подготовки прибора проводят фотометрирование воды, применяемой для приготовления всех растворов, а затем проводят фотометрирование анализируемого и контрольного (фонового) растворов, а также растворов сравнения в порядке возрастания массовой концентрации элемента.

После этого проводят фотометрирование в обратной последовательности, начиная с растворов с максимальным содержанием элемента, учитывая в качестве поправки отсчет, полученный при фотометрировании контрольного (фонового) раствора.

Каждое измерение проводят три раза (распыляя после измерения воду) и вычисляют среднее значение интенсивности излучения для каждого раствора. По полученным данным для растворов сравнения строят градуировочный график, откладывая на оси ординат показания регистрирующего устройства, на оси абсцисс - массовую концентрацию определяемых элементов в миллиграммах на кубический дециметр.

При определении массовой доли элемента по способу 2 выбирают два раствора сравнения: один большей, другой меньшей концентрации определяемого элемента по сравнению с анализируемым раствором. Массовая концентрация элемента во всех трех растворах должна быть одного порядка. Растворы сравнения и анализируемый раствор фотометрируют при одинаковых условиях и регистрируют величину сигнала.

3.5.3. Обработка результатов

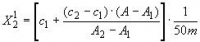
При определении по способу 1 массовую долю натрия или кальция (X2) в процентах вычисляют по формуле где c - массовая концентрация элемента, найденная по градуировочному графику, мг/дм3;
m - масса навески, г.

При определении по способу 2 массовую долю натрия или кальция (X21) в процентах вычисляют по формуле где c1 и c2 - массовая концентрация определяемых элементов в растворах сравнения (), мг/дм3;
A - показание регистрирующего устройства для анализируемого раствора;

A1 и A2 - показание регистрирующего устройства для растворов сравнения (A2 - для раствора большой массовой концентрации элемента);

m - масса навески, г.

За результат анализа принимают среднее арифметическое результатов двух параллельных определений, относительное расхождение между которыми не превышает допускаемое расхождение, равное 20%, при доверительной вероятности P=0,95.

Примечания:

1. При массовой концентрации натрия в анализируемой пробе свыше 2 мг/дмградуировочный график следует строить по растворам сравнения, отличающимся по массовой концентрации натрия не более чем на 1 мг/дм3, или вести определение в области массовых концентраций 0,5-2 мг/дм3, разбавляя анализируемые растворы.

2. Все растворы и воду, применяемую для их приготовления, хранят в полиэтиленовой или кварцевой посуде.

3.6. Определение массовой доли железа

3.6.1. Аппаратура, реактивы и растворы 

Фотоэлектроколориметр типов ФЭК-56, ФЭК-60. 

Весы лабораторные по ГОСТ 24104, 2-4-го классов точности. 

Гири Г-2-210 и Г-3-210 по ГОСТ 7328.

Плитка электрическая закрытого типа ЭПШ-1-08-220 по ГОСТ 14919.

Стаканы Н-1-250 ТС по ГОСТ 25336. 

Колбы мерные 1-100(250)-2 по ГОСТ 1770. 

Воронка стеклянная по ГОСТ 25336. 

Бюретка 3-2-5-0,02 по НТД. 

Фильтр бумажный обеззоленный "синяя лента".

кислота соляная по ГОСТ 3118, плотностью 1,19 г/см3 и раствор с массовой долей 25%.

аммиак водный по ГОСТ 3760, раствор с массовой долей 10%.

2,2'-Дипиридил (индикатор) или 1,10-фенантролин (индикатор), раствор готовят следующим образом: 2,5 г 2,2'-дипиридила или 1,10-фенантролина помещают в стакан вместимостью 100 см3, растворяют в 25 см3 этилового спирта, переводят в мерную колбу вместимостью 500 см3, доводят объем раствора водой до метки и перемешивают.

Кислота аскорбиновая с массовой долей основного вещества не менее 99,0%, раствор с массовой долей 5%; хранят в склянке из оранжевого стекла с притертой пробкой в прохладном месте; раствор устойчив 2 недели.

Спирт этиловый ректификованный технический по ГОСТ 18300, высший сорт.

Раствор массовой концентрации Fe3+ в 1 мг/см3; готовят по ГОСТ 4212 (раствор А); 10 смраствора А разбавляют водой до 1 дм3 (раствор Б). 1 см3 раствора Б содержит 0,01 мг Fe3+ (годен в течение суток).

Бумага индикаторная универсальная.

Вода дистиллированная по ГОСТ 6709.

3.6.2. Построение градуировочного графика

Для построения градуировочного графика готовят 10 градуировочных растворов. Для этого в мерные колбы вместимостью 100 см3 бюреткой вносят 1,0; 2,0; 3,0; 4,0; 5,0; 6,0; 7,0; 8,0; 9,0; 10,0 см3 раствора Б, что соответствует 0,010; 0,020; 0,030; 0,040; 0,050; 0,060; 0,070; 0,080; 0,090; 0,100 мг Fe3+. Растворы в колбах разбавляют до 50 см3 водой, добавляют по 2 см3 25%-ного раствора соляной кислоты, по 5 см3 растворов аскорбиновой кислоты и 2,2'-дипиридила или 1,10-фенантролина, каждый раз перемешивая содержимое колбы. В полученные градуировочные растворы добавляют раствор аммиака до pH приблизительно 3,5 по универсальной индикаторной бумаге. Затем объем растворов доводят водой до метки и тщательно перемешивают. Одновременно готовят раствор сравнения, не содержащий железа, для этого в мерную колбу вместимостью 100 см3 помещают 2 см3 25%-ного раствора соляной кислоты и 5 см3 раствора аскорбиновой кислоты, доводят водой до метки и перемешивают.

Через 30 мин измеряют оптическую плотность градуировочных растворов по отношению к раствору сравнения на фотоэлектроколориметре с применением зеленого светофильтра (при длине волны 500-540 нм) в кюветах с толщиной поглощающего свет слоя 30 мм.

По полученным данным строят градуировочный график, откладывая на оси абсцисс массу железа (Fe3+) в градуировочных растворах в миллиграммах, а на оси ординат - соответствующие ей значения оптической плотности.

3.6.3. Проведение анализа

Взвешивают 10 г хлористого бария (результат в граммах записывают с точностью до второго десятичного знака), помещают в стакан вместимостью 250 см3, приливают 100 см3 воды и 10 см3 соляной кислоты плотностью 1,19 г/см3, кипятят в течение 5 мин, охлаждают, переводят в мерную колбу вместимостью 250 см3, доводят до метки водой, тщательно перемешивают, отфильтровывают через сухой фильтр, отбрасывая первые порции фильтрата. В мерную колбу вместимостью 100 см3 отбирают пипеткой 5-50 см3 фильтрата (в зависимости от массовой доли железа), разбавляют до 50 см3 водой, добавляют 2 см3 раствора с массовой долей 25% соляной кислоты, по 5 см3 растворов аскорбиновой кислоты и 2,2'-дипиридила или 1,10-фенантролина, разбавляют до 80 см3 водой, каждый раз перемешивая. В полученный раствор добавляют раствор аммиака до pH приблизительно 3,5 по универсальной индикаторной бумаге. Объем раствора в колбе доводят до метки водой и тщательно перемешивают. Одновременно готовят раствор сравнения следующим образом: в мерную колбу вместимостью 100 смотбирают пипеткой 5-50 см3 полученного фильтрата (в зависимости от содержания железа), добавляют 2 см3 25%-ного раствора соляной кислоты, 5 см3 раствора аскорбиновой кислоты, доливают водой до метки и перемешивают.

Через 30 мин измеряют оптическую плотность анализируемых растворов по отношению к раствору сравнения, как описано в п.3.6.2.

Массу железа в анализируемом растворе в миллиграммах находят по градуировочному графику.

3.6.4. Обработка результатов 

Массовую долю железа (X3) в процентах вычисляют по формуле где m1 - масса железа, найденная по градуировочному графику, мг;
m - масса навески, г;

V - объем анализируемого раствора, взятый для фотоколориметрирования, см3.

За результат анализа принимают среднее арифметическое результатов двух параллельных определений, относительное расхождение между которыми не превышает допускаемое расхождение, равное 20%, при доверительной вероятности P=0,95.

3.7. Определение массовой доли сульфидов в пересчете на сернистый барий

3.7.1. Аппаратура, реактивы и растворы

Весы лабораторные по ГОСТ 24104, 2-4-го классов точности.

Гири Г-2-210 и Г-3-210 по ГОСТ 7328.

Колба Кн-1-250 ТС по ГОСТ 25336.

Цилиндры мерные 1-10(100) по ГОСТ 1770.

Бюретка 3-2-25-0,1 по НТД.

Йод по ГОСТ 4159, раствор концентрации c(1/2J2)=0,1 моль/дм3.

натрий серноватистокислый (Тиосульфат натрия) по ГОСТ 27068, раствор c(Na2S2O3·5H2O)=0,1 моль/дм3.

Кислота уксусная по ГОСТ 61, раствор с массовой долей 10%.

Крахмал растворимый по ГОСТ 10163, раствор с массовой долей 0,5%.

Вода дистиллированная по ГОСТ 6709.

3.7.2. Проведение анализа

Взвешивают 25 г хлористого бария (результат в граммах записывают с точностью до второго десятичного знака), помещают в коническую колбу вместимостью 250 см3, приливают 80 смводы, перемешивают, прибавляют 15 см3 раствора йода из бюретки, 5 см3 раствора уксусной кислоты, колбу закрывают пробкой и содержимое ее взбалтывают до растворения навески. Избыток йода титруют раствором серноватистокислого натрия до соломенно-желтого цвета, далее прибавляют 2 см3 раствора крахмала и продолжают титрование до обесцвечивания раствора.

3.7.3. Обработка результатов

Массовую долю сульфидов в пересчете на сернистый барий (X4) в процентах вычисляют по формуле где 15 - объем раствора йода молярной концентрации эквивалента точно 0,1 моль/дм3, введенный в пробу, см3;
V - объем раствора серноватистокислого натрия молярной концентрации эквивалента точно 0,1 моль/дм3, израсходованный на титрование избытка йода, см3;

0,0085 - масса сернистого бария, соответствующая 1 см3 раствора йода молярной концентрации эквивалента точно 0,1 моль/дм3, г;

m - масса навески, г.

За результат анализа принимают среднее арифметическое результатов двух параллельных определений, относительное расхождение между которыми не превышает допускаемое расхождение, равное 20%, при доверительной вероятности P=0,95.

Разд.3. (Измененная редакция, Изм. N 3).

4. УПАКОВКА, МАРКИРОВКА, ТРАНСПОРТИРОВАНИЕ И ХРАНЕНИЕ

4.1. Технический хлористый барий упаковывают в полиэтиленовые мешки по ГОСТ 17811 из пленки толщиной 0,255 мм, вложенные в трехслойные бумажные мешки марки НМ по ГОСТ 2226, или в трехслойные бумажные мешки с вложенными пленочными мешками-вкладышами по ГОСТ 19360 толщиной пленки 0,06-0,08 мм, или в пятислойные ламинированные мешки марки ПМ с двумя внутренними слоями из ламинированной полиэтиленом мешочной бумаги по ГОСТ 2226, или в мягкие специализированные контейнеры типа МКР - 1,0 С по ТУ 6-19-74 по согласованию с потребителем.

Технический хлористый барий, предназначенный для экспорта, упаковывают в полиэтиленовые мешки по ГОСТ 17811, вложенные в льно-джуто-кенафные мешки по ГОСТ 30090 или в пятислойные бумажные мешки марки МН по ГОСТ 2226.

Масса нетто не более 50 кг.

Отклонение средней массы нетто в мешках от номинального значения не должно превышать ±2%. Средняя масса определяется путем взвешивания 20 мешков, отобранных выборочно от партии, массу которых суммируют и результат делят на 20.

Полиэтиленовый мешок и вкладыш заваривают или подворачивают и прошивают вместе с бумажным мешком машинным способом.

4.2. Транспортная маркировка - по ГОСТ 14192 с нанесением знака опасности по ГОСТ 19433, класс 6 (черт.6б), классификационный шифр 6163, серийный номер ООН 1564.

На каждое грузовое место наносят надпись, содержащую следующие данные, характеризующие продукцию:

а) наименования продукта;

б) номера партии;

в) обозначения настоящего стандарта;

г) (Исключен, Изм. N 3).

Продукция, предназначенная для экспорта, должна быть маркирована в соответствии с ГОСТ 14192 и с заказ-нарядом внешнеторговых организаций.

4.1, 4.2. (Измененная редакция, Изм. N 3, 4).

4.3. (Исключен, Изм. N 3).

4.4. Хлористый барий перевозят транспортом всех видов (кроме авиации) в крытых транспортных средствах в соответствии с правилами перевозки грузов, действующими на транспорте данного вида.

Перевозка технического хлористого бария по железной дороге осуществляется повагонными отправками.

Хлористый барий, упакованный в мешки, транспортируют пакетами по ГОСТ 26663. Средства скрепления - по ГОСТ 21650. Габаритные размеры и масса брутто транспортного пакета должны соответствовать ГОСТ 24597. Внутри вагона пакеты устанавливаются в два яруса.

Хлористый барий, упакованный в специализированные мягкие контейнеры типа МКР - 1,0 С по согласованию с потребителем, следует транспортировать без перевалок в пути следования с погрузкой и выгрузкой на подъездных путях грузоотправителя (грузополучателя) в соответствии с "Техническими условиями погрузки и крепления грузов", утвержденными МПС.

(Измененная редакция, Изм. N 4).

4.5. Технический хлористый барий хранят в закрытых помещениях, отдельно от других продуктов.

5. ГАРАНТИИ ИЗГОТОВИТЕЛЯ

5.1. Изготовитель должен гарантировать соответствие технического хлористого бария требованиям настоящего стандарта при соблюдении условий транспортирования и хранения.

(Измененная редакция, Изм. N 1).

5.2. Гарантийный срок хранения технического хлористого бария - два года со дня изготовления.

(Измененная редакция, Изм. N 1).

6. ТРЕБОВАНИЯ БЕЗОПАСНОСТИ

6.1. Технический хлористый барий токсичен, пожаро- и взрывобезопасен.

6.2. При вдыхании пыли хлористого бария могут развиваться пневмокониоз, острое воспаление легких и бронхов.

При попадании хлористого бария в организм через пищеварительный тракт могут возникнуть острые и хронические отравления. Хлористый барий способен вызывать воспалительные заболевания головного мозга и мягкой его оболочки, а также изменения гладкой и сердечной мускулатуры.

6.3. Работы с хлористым барием обслуживающий персонал должен выполнять в спецодежде, спецобуви и предохранительных приспособлениях в соответствии с типовыми отраслевыми нормами, утвержденными в установленном порядке.

6.4. Производственные помещения и лаборатории, в которых проводятся работы с хлористым барием, должны быть оборудованы эффективной приточно-вытяжной механической вентиляцией. Места пылеобразования должны быть оборудованы укрытиями с вытяжной вентиляцией.

Подготовку проб хлористого бария для анализа необходимо проводить в вытяжном шкафу. Не допускать контакта работающих с продуктом - введением механизации и автоматизации технологических процессов, герметизацией оборудования.

Уборку помещений необходимо проводить мокрым способом.

6.5. Прием пищи, курение на рабочих местах не допускается. Перед приемом пищи, курением необходимо тщательно мыть руки.




официальное издание
М.: ИПК Издательство стандартов, 2002