Азотная кислота неконцентрированная ГОСТ Р 53789-2010
Азотная кислота неконцентрированная. Технические условия ГОСТ Р 53789-2010
ГОСТ Р 53789-2010
Группа Л12
НАЦИОНАЛЬНЫЙ СТАНДАРТ РОССИЙСКОЙ ФЕДЕРАЦИИ
КИСЛОТА АЗОТНАЯ НЕКОНЦЕНТРИРОВАННАЯ
Технические условия
Unconcentrated nitric acid. Specifications
ОКС 71.060.30
ОКП 21 2132
Дата введения 2011-01-01
Предисловие
Цели и принципы стандартизации в Российской Федерации установлены Федеральным законом от 27 декабря 2002 г. N 184-ФЗ "О техническом регулировании", а правила применения национальных стандартов Российской Федерации - ГОСТ Р 1.0-2004 "Стандартизация в Российской Федерации. Основные положения"
Сведения о стандарте
1 РАЗРАБОТАН Государственным институтом азотной промышленности и продуктов органического синтеза (ОАО "ГИАП")
2 ВНЕСЕН Техническим комитетом по стандартизации ТК 84 "Неорганические продукты азотной группы (на базе аммиака и азотной кислоты)"
3 УТВЕРЖДЕН И ВВЕДЕН В ДЕЙСТВИЕ Приказом Федерального агентства по техническому регулированию и метрологии от 26 мая 2010 г. N 83-ст
4 ВВЕДЕН ВПЕРВЫЕ
Информация об изменениях к настоящему стандарту публикуется в ежегодно издаваемом информационном указателе "Национальные стандарты", а текст изменений и поправок - в ежемесячно издаваемых информационных указателях "Национальные стандарты". В случае пересмотра (замены) или отмены настоящего стандарта соответствующее уведомление будет опубликовано в ежемесячно издаваемом информационном указателе "Национальные стандарты". Соответствующая информация, уведомление и тексты размещаются также в информационной системе общего пользования - на официальном сайте Федерального агентства по техническому регулированию и метрологии и в сети Интернет
1 Область применения
Настоящий стандарт распространяется на неконцентрированную азотную кислоту с массовой долей азотной кислоты не более 70%, получаемую абсорбцией оксидов азота водой, и устанавливает требования к неконцентрированной азотной кислоте, изготовляемой для потребностей экономики страны и экспорта.
Формула: HNO3
Относительная молекулярная масса (по международным атомным массам 2007 г.) - 63,0128.
2 Нормативные ссылки
В настоящем стандарте использованы нормативные ссылки на следующие стандарты:
ГОСТ Р 12.4.193-99 Система стандартов безопасности труда. Средства индивидуальной защиты органов дыхания. Фильтры противогазовые и комбинированные. Общие технические условия
______________
* На территории Российской Федерации с 01.07.2011 действует ГОСТ Р 12.4.251-2009. - Примечание изготовителя базы данных.
ГОСТ Р 12.4.230.1-2007 (ЕН 166-2002) Система стандартов безопасности труда. Средства индивидуальной защиты глаз. Общие технические требования
ГОСТ Р 12.4.248-2008 Система стандартов безопасности труда. Одежда специальная для защиты от растворов кислот. Технические условия
ГОСТ Р 51477-99 Тара стеклянная для химических реактивов и особо чистых веществ. Технические условия
ГОСТ Р 51659-2000 Вагоны-цистерны магистральных железных дорог колеи 1520 мм. Общие технические условия
ГОСТ Р 51760-2001 Тара потребительская полимерная. Общие технические условия
ГОСТ Р 52620-2006 Тара транспортная полимерная. Общие технические условия
ГОСТ Р 53228-2008 Весы неавтоматического действия. Часть 1. Метрологические и технические требования. Испытания
ГОСТ 8.579-2002 Государственная система обеспечения единства измерений. Требования к количеству фасованных товаров в упаковках любого вида при производстве, расфасовке, продаже и импорте
ГОСТ 12.1.004-91 Система стандартов безопасности труда. Пожарная безопасность. Общие требования
ГОСТ 12.1.005-88 Система стандартов безопасности труда. Общие санитарно-гигиенические требования к воздуху рабочей зоны
ГОСТ 12.1.007-76 Система стандартов безопасности труда. Вредные вещества. Классификация и общие требования безопасности
ГОСТ 12.1.044-89 (ИСО 4589-84) Система стандартов безопасности труда. Пожаровзрывоопасность веществ и материалов. Номенклатура показателей и методы их определения
ГОСТ 12.4.021-75 Система стандартов безопасности труда. Системы вентиляционные. Общие требования
ГОСТ 12.4.121-83 Система стандартов безопасности труда. Противогазы промышленные фильтрующие. Технические условия
ГОСТ 12.4.122-83 Система стандартов безопасности труда. Коробки фильтрующе-поглощающие для промышленных противогазов. Технические условия
ГОСТ 701-89 Кислота азотная концентрированная. Технические условия
ГОСТ 1770-74 (ИСО 1042-83, ИСО 4788-80) Посуда мерная лабораторная стеклянная. Цилиндры, мензурки, колбы, пробирки. Общие технические условия
ГОСТ 2184-77 Кислота серная техническая. Технические условия
ГОСТ 4148-78 Реактивы. Железо (II) сернокислое 7-водное. Технические условия
ГОСТ 4204-77 Реактивы. Кислота серная. Технические условия
ГОСТ 4328-77 Реактивы. Натрия гидроокись. Технические условия
ГОСТ 4919.1-77 Реактивы и особо чистые вещества. Методы приготовления растворов индикаторов
ГОСТ 6552-80 Реактивы. Кислота ортофосфорная. Технические условия
ГОСТ 6563-75 Изделия технические из благородных металлов и сплавов. Технические условия
ГОСТ 6709-72-->ГОСТ 6709-72 Вода дистиллированная. Технические условия
ГОСТ 6859-72 Приборы для отмеривания и отбора жидкостей. Технические условия
ГОСТ 9147-80 Посуда и оборудование лабораторные фарфоровые. Технические условия
ГОСТ 10354-82 Пленка полиэтиленовая. Технические условия
ГОСТ 14192-96 Маркировка грузов
ГОСТ 17366-80 Бочки стальные сварные толстостенные для химических продуктов. Технические условия
ГОСТ 18300-87 Спирт этиловый ректификованный технический. Технические условия
ГОСТ 18573-86 Ящики деревянные для продукции химической промышленности. Технические условия
ГОСТ 19433-88 Грузы опасные. Классификация и маркировка
ГОСТ 19908-90 Тигли, чаши, стаканы, колбы, воронки, пробирки и наконечники из прозрачного кварцевого стекла. Общие технические условия
ГОСТ 20490-75 Реактивы. Калий марганцовокислый. Технические условия
ГОСТ 22235-76 Вагоны грузовые магистральных железных дорог колеи 1520 мм. Общие требования по обеспечению сохранности при производстве погрузочно-разгрузочных и маневровых работ
ГОСТ 24104-2001* Весы лабораторные. Общие технические требования
_______________
* На территории Российской Федерации действует ГОСТ Р 53228-2008: с 01.01.2010 - в части вновь разрабатываемых и модернизируемых весов; с 01.01.2013 - в части весов, разработанных до 01.01.2010.
ГОСТ 25336-82 Посуда и оборудование лабораторные стеклянные. Типы, основные параметры и размеры
ГОСТ 25794.1-83 Реактивы. Методы приготовления титрованных растворов для кислотно-основного титрования
ГОСТ 25794.2-83 Реактивы. Методы приготовления титрованных растворов для окислительно-восстановительного титрования
ГОСТ 26319-84 Грузы опасные. Упаковка
ГОСТ 27025-86 Реактивы. Общие указания по проведению испытаний
ГОСТ 29169-91 (ИСО 648-77) Посуда лабораторная стеклянная. Пипетки с одной отметкой
ГОСТ 29227-91 (ИСО 835-1-81) Посуда лабораторная стеклянная. Пипетки градуированные. Часть 1. Общие требования
ГОСТ 29251-91 (ИСО 385-1-84) Посуда лабораторная стеклянная. Бюретки. Часть 1. Общие требования
ГОСТ 31340-2007 Предупредительная маркировка химической продукции. Общие требования
Примечание - При пользовании настоящим стандартом целесообразно проверить действие ссылочных стандартов в информационной системе общего пользования - на официальном сайте Федерального агентства по техническому регулированию и метрологии в сети Интернет или по ежегодно издаваемому информационному указателю "Национальные стандарты", который опубликован по состоянию на 1 января текущего года, и по соответствующим ежемесячно издаваемым информационным указателям, опубликованным в текущем году. Если ссылочный стандарт заменен (изменен), то при пользовании настоящим стандартом, следует руководствоваться заменяющим (измененным) стандартом. Если ссылочный стандарт отменен без замены, то положение, в котором дана ссылка на него, применяется в части, не затрагивающей эту ссылку.
3 Технические требования
3.1
3.1 Неконцентрированная Азотная кислота должна быть изготовлена в соответствии с требованиями настоящего стандарта по технологическому регламенту, утвержденному в установленном порядке.
3.2 Характеристики
3.2.1 По физико-химическим показателям неконцентрированная Азотная кислота должна соответствовать требованиям и нормам, указанным в таблице 1.
Таблица 1
|
Наименование показателя |
Норма для сорта |
Метод анализа |
||
|
Высший |
1-й |
2-й |
||
|
1 Внешний вид |
Прозрачная бесцветная или слегка окрашенная в желтый цвет жидкость без механических примесей |
По 7.3 |
||
|
2 Массовая доля азотной кислоты, %, не менее |
57,0 |
56,0 |
46,0 |
По 7.4 |
|
3 Массовая доля оксидов азота (в пересчете на N2O4), %, не более |
0,07 |
0,10 |
0,20 |
По 7.5 |
|
4 Массовая доля остатка после прокаливания, %, не более |
0,004 |
0,020 |
0,050 |
По 7.6 |
3.2.2 По согласованию с потребителем допускается выпуск продукта высшего сорта с массовой долей остатка после прокаливания не более 0,010%.
3.2.3 Требования к качеству неконцентрированной азотной кислоты, предназначенной для экспорта, должны соответствовать требованиям договора (контракта) с иностранным покупателем.
3.3 Маркировка
3.3.1 Транспортная маркировка - по ГОСТ 14192 с нанесением манипуляционных знаков: "Герметичная упаковка", "Беречь от солнечных лучей".
3.3.2 Маркировка, характеризующая упакованную неконцентрированную азотную кислоту, должна содержать следующие данные:
- наименование предприятия-изготовителя, его товарный знак и юридический адрес;
- наименование продукта и его сорт;
- номер партии;
- дату изготовления и гарантийный срок хранения;
- массу нетто;
- обозначение настоящего стандарта;
- гарантированную массовую долю азотной кислоты, предусмотренную настоящим стандартом.
3.3.3 Маркировка, характеризующая транспортную опасность неконцентрированной азотной кислоты (номер ООН 2031, транспортное наименование: "Кислота азотная, кроме красной дымящей, с содержанием азотной кислоты не более 70%", класс 8, знак опасности 8) в упакованном виде, должна соответствовать ГОСТ 19433, правилам перевозки опасных грузов, действующим на соответствующих видах транспорта, а при поставках на экспорт - международным правилам и соглашениям о перевозке опасных грузов, действующим между государствами - участниками этих соглашений.
3.3.4 Маркировочные данные на транспортную упаковку (ящики, бочки) наносят печатью или трафаретом, или с использованием этикетки или ярлыка из фанеры или плотного картона, защищенного кислотостойкой и влагонепроницаемой оболочкой или полиэтиленом.
3.3.5 Маркировка неконцентрированной азотной кислоты, предназначенной для экспорта, должна соответствовать требованиям договора (контракта), ГОСТ 14192 и настоящего стандарта.
3.3.6 Предупредительная маркировка - в соответствии с ГОСТ 31340.
3.4 Упаковка
3.4.1 Неконцентрированную азотную кислоту заливают в бочки по ГОСТ 17366, стеклянные бутыли по ГОСТ Р 51477 или полиэтиленовые бутыли и канистры по ГОСТ Р 51760 и ГОСТ Р 52620 или технической документации, а также в плотно закрывающиеся сосуды, изготовленные из нержавеющей стали по технической документации.
Тара должна быть герметичной, сухой и чистой.
Тара должна соответствовать требованиям рекомендаций по перевозке опасных грузовООН, правилам перевозки опасных грузов по СМГС [1], ГОСТ 26319 и иметь сертификат соответствия требованиям международных и национальных регламентов по перевозке опасных грузов, выданный компетентным органом.
Для продукта с массовой долей азотной кислоты более 55% допустимый период эксплуатации полимерной тары составляет не более двух лет с даты изготовления.
На применение бочек должно быть разрешение Ростехнадзора в соответствии с требованиями [2].
3.4.2 Стеклянные бутыли должны быть изготовлены из темного стекла или бесцветного стекла, имеющего светозащитное покрытие, или обернуты светонепроницаемой бумагой.
Бутыли с неконцентрированной азотной кислотой закупоривают стеклянными притертыми или керамическими пробками, полиэтиленовыми крышками с фторопластовой прокладкой на алебастре или специальной мастике и полиэтиленовыми крышками с полиэтиленовой прокладкой.
Пробку и горловину обертывают полиэтиленовой пленкой по ГОСТ 10354 и обвязывают шпагатом или полиэтиленовой лентой.
3.4.3 Горловины бочек, канистр и сосудов из нержавеющей стали должны быть тщательно герметизированы фторопластовыми прокладками или прокладками из других материалов, стойких к действию неконцентрированной азотной кислоты.
3.4.4 Тару (бочки, канистры, бутыли, сосуды) заполняют продуктом с учетом полного использования ее вместимости, а также объёмного расширения продукта при возможном перепаде температур в пути следования в соответствии с правилами безопасности Ростехнадзора.
3.4.5 Полиэтиленовые бутыли, канистры, сосуды с неконцентрированной азотной кислотой упаковывают в транспортную тару (обрешетки металлические, деревянные, из полимерных материалов или другую тару из полимерных материалов). Упаковка должна соответствовать ГОСТ 26319.
3.4.6 Закупоренные и маркированные стеклянные бутыли с неконцентрированной азотной кислотой упаковывают в ящики по ГОСТ 18573 с заполнением свободного пространства прокладочными материалами, при необходимости пропитанными огнезащитным составом, или другую вторичную тару по технической документации.
3.4.7 Пределы допускаемых отрицательных отклонений содержимого нетто (массы нетто) от номинального количества должны соответствовать ГОСТ 8.579.
4 Требования безопасности
4.1 Неконцентрированная Азотная кислота - негорючая пожароопасная жидкость по ГОСТ 12.1.044, является окислителем и при контакте со многими горючими материалами вызывает их самовозгорание.
4.2 При производстве и хранении неконцентрированной азотной кислоты необходимо соблюдать требования пожарной безопасности. Пожаробезопасность следует обеспечивать в соответствии с требованиями ГОСТ 12.1.004.
4.3 Средствами тушения очага воспламенения являются: азот, диоксид углерода, сухой песок, огнетушитель типа ОП, распыленная Вода.
4.4 Неконцентрированная Азотная кислота неограниченно растворима в воде, при растворении выделяет тепло, гигроскопична.
4.5 Неконцентрированная Азотная кислота по степени воздействия на организм человека относится к умеренно опасным веществам (3-й класс опасности по ГОСТ 12.1.007).
Предельно допустимая концентрация (ПДК) паров азотной кислоты в воздухе рабочей зоны составляет 2 мг/м3 по ГОСТ 12.1.005 и гигиеническим нормативам [3], что соответствует 3-му классу опасности.
ПДК оксидов азота (в пересчете на NO2) по гигиеническим нормативам [3] составляет 5 мг/м3, что соответствует 3-му классу опасности.
ПДК диоксида азота по гигиеническим нормативам [3] составляет 2 мг/м3, что соответствует 3-му классу опасности.
Контроль вредных веществ в воздухе рабочей зоны производства неконцентрированной азотной кислоты проводит производственная лаборатория предприятия в соответствии с требованиями ГОСТ 12.1.005, при ее отсутствии - на договорных условиях лаборатория, аккредитованная в установленном порядке.
4.6 Неконцентрированная Азотная кислота дымит на воздухе, выделяя оксиды азота, которые с влагой воздуха образуют туман. Пары азотной кислоты в 2,2 раза тяжелее воздуха.
Животные и растительные ткани под воздействием неконцентрированной азотной кислоты разрушаются.
Неконцентрированная Азотная кислота при попадании на кожу вызывает ожоги. Пары азотной кислоты и оксидов азота раздражают дыхательные пути, вызывают коньюктивиты, поражают роговицы глаз и вызывают разрушение зубов.
Меры первой помощи:
- при ингаляционном воздействии - свежий воздух, чистая одежда, покой, тепло, срочная госпитализация;
- при попадании внутрь - прополоскать рот 2%-ным раствором питьевой соды, принять внутрь известковое молоко, взбитые яичные белки, слизистые отвары, срочная госпитализация;
- при попадании на кожные покровы - промыть 2%-ным раствором питьевой соды или большим количеством воды в течение 15 мин, наложить асептическую повязку, обратиться к врачу;
- при попадании в глаза - промыть 2%-ным раствором питьевой соды или большим количеством воды в течение 15 мин, обратиться к врачу.
4.7 Производственные помещения должны быть оборудованы приточно-вытяжной вентиляцией в соответствии с ГОСТ 12.4.021. Аппаратура, трубопроводы, арматура, процессы слива и налива при производстве неконцентрированной азотной кислоты должны быть герметизированы, а также должны соблюдаться общие гигиенические требования к организации технологических процессов, производственному оборудованию и рабочему инструменту в соответствии с санитарными правилами и нормами [4].
4.8 Все работающие с неконцентрированной азотной кислотой должны быть обеспечены специальной одеждой по ГОСТ Р 12.4.248, обувью с защитными свойствами типа К 50, средствами защиты рук - резиновыми кислотозащитными рукавицами по технической документации и индивидуальными средствами защиты органов дыхания и зрения:
- промышленными противогазами по ГОСТ 12.4.121 с фильтрующе-поглощающими коробками марок В, М, БКФ по ГОСТ 12.4.122; противогазовыми фильтрами марки NO-PЗ по ГОСТ Р 12.4.193;
- защитными очками по ГОСТ Р 12.4.230.1.
Лица моложе 18 лет и беременные женщины к производству неконцентрированной азотной кислоты не допускаются.
Необходимо проводить предварительные и периодические медицинские осмотры производственного персонала в соответствии с порядком и в сроки, установленные органами здравоохранения.
5 Требования охраны окружающей среды
5.1 Защита окружающей среды должна быть обеспечена герметизацией технологического оборудования, устройством вытяжной вентиляционной системы, очистными сооружениями в местах возможных выделений оксидов азота.
5.2 Среднесуточная ПДК оксидов азота в атмосферном воздухе населенных мест в соответствии с гигиеническими нормативами [5] составляет 0,04 мг/м3, максимальная разовая - 0,2 мг/м3, что соответствует 3-му классу опасности.
ПДК азотной кислоты и оксидов азота:
- в воде (NO3) - 45 мг/л, 3-й класс опасности в соответствии с гигиеническими нормативами [6];
- в воде (NO2) - 3,3 мг/л, 2-й класс опасности в соответствии с гигиеническими нормативами [6];
- в воде рыбохозяйственных водоемов (NO3) - 40 мг/л по перечню [7];
- в воде рыбохозяйственных водоемов (NO2) - 0,08 мг/л по перечню [7];
- в почве (NO3) - 130 мг/кг в соответствии с гигиеническими нормативами [8].
5.3 В случае пролива неконцентрированную азотную кислоту смывают с поверхности пола и оборудования большим количеством воды или щелочного раствора. Кислые сточные воды перед поступлением в систему общезаводской канализации должны нейтрализоваться на локальных очистных установках.
5.4 Газовые выбросы должны быть очищены от оксидов азота, и их содержание в отходящих газах должно соответствовать санитарным нормам.
5.5 Жидкие отходы направляют на нейтрализацию сточных вод.
5.6 Контроль за состоянием атмосферного воздуха и воды проводят в соответствии с программой производственно-экологического контроля силами ведомственных или аккредитованных лабораторий по плану, согласованному с органами Роспотребнадзора.
6 Правила приемки
6.1 Неконцентрированную азотную кислоту принимают партиями.
6.1.1 Партией считают любое количество продукта, однородного по своим качественным показателям и сопровождаемого одним документом о качестве. При отгрузке продукта в цистернах за партию принимают каждую цистерну.
6.1.2 Документ о качестве должен содержать:
- наименование предприятия-изготовителя, его юридический адрес и товарный знак;
- наименование продукта и его сорт;
- номер партии;
- массу нетто;
- дату изготовления;
- количество мест в партии;
- обозначение настоящего стандарта;
- результаты проведенных анализов или подтверждение соответствия качества продукта требованиям настоящего стандарта;
- гарантийный срок хранения.
6.1.3 При отгрузке продукта, предназначенного на экспорт, размер партии не ограничен. Партия неконцентрированной азотной кислоты, предназначенной для экспорта, должна сопровождаться документом о качестве в соответствии с требованиями договора (контракта) с иностранным покупателем и отвечать требованиям настоящего стандарта.
6.2 Объём выборки продукта, упакованного в транспортную тару, - 5% единиц от партии, но не менее трех единиц при малых партиях (менее 10 транспортных единиц).
При отгрузке продукта в цистернах проверке подвергают каждую цистерну.
Допускается у изготовителя отбирать пробу из товарного резервуара-хранилища.
6.3 Для оценки качества неконцентрированной азотной кислоты проводят приемо-сдаточные испытания по показателям, приведенным в таблице 1.
При получении неудовлетворительных результатов анализа хотя бы по одному из показателей проводят повторный анализ на удвоенном количестве проб, взятых от той же партии, или вновь отобранной пробе из цистерны или резервуара-хранилища. Результаты повторного анализа распространяют на всю партию.
7 Методы анализа
7.1 Отбор проб
7.1.1 Точечные пробы из бочек, бутылей, канистр, сосудов отбирают в равных количествах стеклянной, полиэтиленовой или из нержавеющей стали трубкой, опуская ее на всю глубину тары.
7.1.2 Точечные пробы неконцентрированной азотной кислоты из резервуара, автоцистерны или железнодорожной цистерны отбирают через люк пробоотборником из кислотостойких материалов, представляющим собой цилиндр с узким горлом или узкой щелью в крышке. Допускается использование пробоотборника, применяемого в ГОСТ 2184, и приборов для отбора и отмеривания жидкости по ГОСТ 6859.
Пробоотборник медленно погружают на всю глубину цистерны, резервуара-хранилища или емкости, отбирая пробы с разных слоев кислоты по всей высоте емкости.
7.1.3 Пробу неконцентрированной азотной кислоты, транспортируемой по трубопроводу, отбирают непосредственно из трубопровода в среднесменный сборник и анализируют ежесменно.
7.1.4 Объединенную пробу получают смешиванием равных по объёму точечных проб. Объём точечной пробы - не менее 200 см3.
7.1.5 Из тщательно перемешанной объединенной пробы отбирают среднюю пробу для анализа объёмом не менее 0,5 дм3, которую помещают в сухую склянку с притертой пробкой или фторопластовую (или полиэтиленовую) банку с герметично закрывающейся крышкой.
На склянку или фторопластовую (или полиэтиленовую) банку наклеивают этикетку с указанием:
- наименования предприятия-изготовителя и продукта;
- номера партии и даты изготовления;
- даты и места отбора пробы;
- фамилии лица, отобравшего пробу.
7.2 Общие указания
7.2.1 Общие указания по проведению анализов - по ГОСТ 27025.
7.2.2 Допускается применение других средств измерений с метрологическими характеристиками и оборудования с техническими характеристиками не хуже, а также реактивов по качеству не ниже, чем предусмотрено настоящим стандартом.
7.2.3 Допускается применять другие методы анализа, обеспечивающие требуемую точность и достоверность результатов определений. Применяемые методики выполнения измерений должны быть аттестованы.
При разногласиях в оценке качества продукта анализ проводят методами, указанными в настоящем стандарте, с применением средств измерений, оборудования и реактивов, предусмотренными этими методами.
7.3 Определение внешнего вида
Внешний вид, цвет и наличие механических примесей неконцентрированной азотной кислоты определяют визуально на белом фоне в проходящем свете столба жидкости высотой 50-100 мм, налитой в цилиндр 1(2)-100-2 по ГОСТ 1770.
7.4 Определение массовой доли азотной кислоты
Массовую долю азотной кислоты определяют титриметрическим методом.
7.4.1 Характеристики погрешности измерений
Диапазон определений массовой доли азотной кислоты - от 45% до 65%.
Допускаемая абсолютная суммарная погрешность результата анализа - ±0,4% при доверительной вероятности P=0,95.
7.4.2 Аппаратура, посуда, реактивы, растворы
Весы лабораторные по ГОСТ 24104 любого типа, класс точности - специальный, дискретность - не более 0,1 мг, наибольший предел взвешивания (НПВ) - не менее 200 г, наименьший предел взвешивания (НмПВ) - не более 1 мг и весы по ГОСТ Р 53228.
Бюретка 1-(1-5)-2-50-0,1 по ГОСТ 29251.
Колба Кн-1(2)-250-29/32 (24/29) ТХС по ГОСТ 25336.
Прибор 3-1(2) по ГОСТ 6859 (пипетка Лунге-Рея) или ампулы стеклянные лабораторного изготовления, шарикообразные одно- или двухрожковые капиллярные (устройство и способ их заполнения - по ГОСТ 701, приложение 1).
Спиртовка СЛ-1 (СЛ-2) по ГОСТ 25336.
Цилиндр 1(3)-50-2 по ГОСТ 1770.
Вода дистиллированная по ГОСТ 6709.
Спирт этиловый ректификованный технический по ГОСТ 18300.
Метиловый красный (индикатор), спиртовой раствор с массовой долей 0,1%; готовят по ГОСТ 4919.1.
Натрия гидроокись по ГОСТ 4328, х.ч., раствор молярной концентрации c(NaOH)=0,5 моль/дм3; готовят по ГОСТ 25794.1.
Смешанный индикатор 1 - спиртовой раствор метилового красного и метиленового голубого; готовят по ГОСТ 4919.1;
Смешанный индикатор 2 - спиртовые растворы бромкрезолового зеленого (синего) и ализаринового красного С; готовят по ГОСТ 4919.1 и смешивают в соотношении 1:1.
7.4.3 Проведение анализа
В пипетке Лунге-Рея взвешивают (1,2±0,3) г (приблизительно 1 см3) неконцентрированной азотной кислоты (результат взвешивания в граммах записывают с точностью до четвертого десятичного знака). Навеску помещают в коническую колбу, содержащую 50 см3 воды, тщательно перемешивают и охлаждают до температуры окружающей среды. Добавляют 0,2 см3 (6-7 капель) индикатора метилового красного и титруют раствором гидроокиси натрия до перехода красной окраски в желтую.
Допускается взвешивать кислоту в колбе, содержащей 50 см3 воды (по разности), или в ампуле.
Допускается использовать смешанные индикаторы:
- 1 - анализируемый раствор титруют раствором гидроокиси натрия до появления зеленой окраски;
- 2 - анализируемый раствор титруют раствором гидроокиси натрия до появления синей окраски.
7.4.4 Обработка результатов
Массовую долю азотной кислоты (X), %, вычисляют по формуле (1)![]()
где V - объём раствора гидроокиси натрия молярной концентрации c(NaOH)=0,5 моль/дм3, израсходованный на титрование, см3;
K - коэффициент поправки раствора гидроокиси натрия молярной концентрации c(NaOH)=0,5 моль/дм3 с учетом температурной поправки;
0,03150 - масса азотной кислоты, соответствующая 1 см3 раствора гидроокиси натрия молярной концентрации точно c(NaOH)=0,5 моль/дм3, г;
m - масса навески неконцентрированной азотной кислоты, г;
1,37 - коэффициент пересчета молекулярной массы оксидов азота (N2O4) на молекулярную массу азотной кислоты;
X1 - массовая доля оксидов азота, определяемая по 7.5, %.
За результат анализа принимают среднеарифметическое значение результатов двух параллельных определений, абсолютное расхождение между которыми не превышает допускаемое расхождение, равное 0,2% при доверительной вероятности P=0,95.
7.5 Определение массовой доли оксидов азота
7.5.1 Характеристики погрешности измерений
Диапазон определений массовой доли оксидов азота - от 0,02% до 0,30%.
Допускаемая абсолютная суммарная погрешность результата анализа - ±0,02% при доверительной вероятности P=0,95.
7.5.2 Аппаратура, посуда, реактивы, растворы
Весы лабораторные общего назначения по ГОСТ 24104 любого типа, класс точности - специальный, дискретность - не более 0,1 мг, НПВ - не менее 200 г, НмПВ - не более 1 мг и весы по ГОСТ Р 53228.
Секундомер механический с ценой деления 0,2 с по [4].
Бюретка 1-3(5)-2-25-0,1; 1-3(5)-2-50-0,1 по ГОСТ 29251.
Колба 2-1000-1(2) по ГОСТ,ll 1770.
Колба Кн-1-250-29/32 ТХС по ГОСТ 25336.
Пипетка 1-2-2-5 по ГОСТ 29227.
Пипетки 1-2-20; 1-2-10 по ГОСТ 29169.
Прибор 3-1(2) по ГОСТ 6859 (пипетка Лунге-Рея) или ампула стеклянная одно- или двухрожковая капиллярная (устройство и способ заполнения - по ГОСТ 701, приложение 1).
Цилиндры 1(3)-100; 1(3)-500 по ГОСТ 1770.
Вода дистиллированная по ГОСТ 6709.
Железо (II) сернокислое 7-водное по ГОСТ 4148.
Кислота ортофосфорная по ГОСТ 6552.
Калий марганцовокислый по ГОСТ 20490, раствор молярной концентрации c(1/5KMnO4)=0,1 моль/дм3; готовят по ГОСТ 25794.2.
Кислота серная по ГОСТ 4204, разбавленная в соотношении 1:4 (по объёму).
7.5.3 Подготовка к анализу
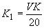
Раствор сернокислого 7-водного железа молярной концентрации c(1/2FeSO4·7H2O)=0,1 моль/дм3 готовят следующим образом: 28,00 г сернокислого железа (II) растворяют в 400 см3 раствора серной кислоты в мерной колбе вместимостью 1 дм3, доводят объём раствора до метки водой и перемешивают. Коэффициент поправки приготовленного раствора устанавливают по марганцовокислому калию следующим образом: в коническую колбу помещают пипеткой 20 см3 раствора сернокислого железа (II), приливают 3 см3 ортофосфорной кислоты, которая связывает ионы Fe+3 в бесцветный комплекс, что способствует более четкому переходу окраски в точке эквивалентности, и титруют раствором марганцовокислого калия до розовой окраски, не исчезающей в течение 30 с. Коэффициент поправки раствора (K1) вычисляют по формуле (2)
где V - объём раствора марганцовокислого калия молярной концентрации c(1/5KMnO4)=0,1 моль/дм3, израсходованный на титрование, см3;
K - коэффициент поправки раствора марганцовокислого калия молярной концентрации c(1/5KMnO4)=0,1 моль/дм3, определяемый по ГОСТ 25794.2;
20 - объём раствора сернокислого железа (II), взятый на титрование, см3.
Коэффициент поправки (K1) проверяют в день проведения анализа.
7.5.4 Проведение анализа
Навеску неконцентрированной азотной кислоты массой (5±1) г взвешивают в ампуле или пипетке Лунге-Рея (результат взвешивания в граммах записывают с точностью до четвертого десятичного знака), переносят в коническую колбу или банку с пришлифованной пробкой (при взятии навески ампулой), в которую предварительно помещают 10 см3 раствора марганцовокислого калия, 10 см3 раствора серной кислоты и от 100 до 150 см3 воды. При взятии навески ампулой ее разбивают, раствор тщательно перемешивают и следят за тем, чтобы поглотились все оксиды азота. Затем титруют раствором сернокислого железа (II) до обесцвечивания раствора, после чего прибавляют 2-3 см3 раствора сернокислого железа (II), который оттитровывают тем же раствором марганцовокислого калия до розовой окраски.
7.5.5 Обработка результатов
Массовую долю оксидов азота (X1), %, вычисляют по формуле (3)
где V - объём раствора марганцовокислого калия молярной концентрации c(1/5KMnO4)=0,1 моль/дм3, взятый для анализа, см3;
K - коэффициент поправки раствора марганцовокислого калия молярной концентрации c(1/5KMnO4)=0,1 моль/дм3;
V1 - объём раствора сернокислого железа (II) молярной концентрации c(1/2FeSO4·7H2O)=0,1 моль/дм3, израсходованный на титрование, см3;
K1 - коэффициент поправки раствора сернокислого железа (II) молярной концентрации c(1/2FeSO4·7H2O)=0,1 моль/дм3;
0,0046 - масса оксидов азота, соответствующая 1 см3 раствора марганцовокислого калия молярной концентрации точно c(1/5KMnO4)=0,1 моль/дм3, г;
m - масса навески неконцентрированной азотной кислоты, г.
За результат анализа принимают среднеарифметическое значение результатов двух параллельных определений, абсолютное расхождение между которыми не превышает допускаемое расхождение, равное 0,04% при доверительной вероятности P=0,95.
7.6 Определение массовой доли остатка после прокаливания
7.6.1 Характеристики погрешности измерений
Диапазоны определений массовой доли остатка после прокаливания - от 0,001% до 0,060%.
Допускаемая абсолютная суммарная погрешность результата анализа - ±0,0014% при доверительной вероятности P=0,95.
7.6.2 Аппаратура, посуда
Баня водяная (паровая) и песчаная.
Весы лабораторные по ГОСТ 24104 любого типа, класс точности - специальный, дискретность - не более 0,1 мг, НПВ - не менее 200 г, НмПВ - не более 1 мг и весы по ГОСТ Р 53228.
Печь электрическая с терморегулятором, обеспечивающим температуру нагрева (820±20) °С.
Воронка стеклянная лабораторная по ГОСТ 25336.
Пипетка 2(3)-2-20 по ГОСТ 29169.
Стаканчик СВ 34/12 по ГОСТ 25336.
Тигель по ГОСТ 9147 или чашка выпарительная по ГОСТ 9147, или чаша кварцевая по ГОСТ 19908, или чашка из платины по ГОСТ 6563.
Эксикатор по ГОСТ 25336.
7.6.3 Подготовка к анализу
Тигель прокаливают при температуре (820±20) °С до постоянной массы, а затем охлаждают в эксикаторе. Охлажденный тигель взвешивают (результаты всех взвешиваний в граммах записывают с точностью до четвертого десятичного знака).
7.6.4 Проведение анализа
Навеску неконцентрированной азотной кислоты массой (30±2) г (~20 см3) помещают в тигель, подготовленный по 7.6.3, и взвешивают (результат взвешивания в граммах записывают с точностью до второго десятичного знака). Анализируемую пробу выпаривают досуха (не допуская разбрызгивания) вначале на водяной (паровой), а затем на песчаной бане до образования сухих остатков. Во время выпаривания во избежание попадания посторонних веществ извне над тиглем помещают стеклянную воронку. Затем остаток прокаливают в электрической печи до постоянной массы при температуре (820±20) °С. Условия достижения постоянной массы - по ГОСТ 27025, раздел 4. После прокаливания тигель с остатком охлаждают в эксикаторе и взвешивают (результат взвешивания в граммах записывают с точностью до четвертого десятичного знака).
7.6.5 Обработка результатов
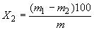
Массовую долю остатка после прокаливания (X2), %, вычисляют по формуле (4)
где m1 - масса тигля с остатком после прокаливания, г;
m2 - масса пустого тигля, г;
m - масса навески неконцентрированной азотной кислоты, г.
За результат анализа принимают среднеарифметическое значение результатов двух параллельных определений, абсолютное расхождение между которыми не превышает допускаемое расхождение, равное 0,002% при доверительной вероятности P=0,95.
8 Транспортирование и хранение
8.1 Неконцентрированную азотную кислоту транспортируют всеми видами транспорта, кроме воздушного, в соответствии с правилами перевозки опасных грузов, действующими на данном виде транспорта.
8.2 Неконцентрированную азотную кислоту транспортируют:
- железнодорожным транспортом наливом в соответствии с правилами перевозок [10] в специальных цистернах из кислотостойких материалов грузоотправителя или грузополучателя по ГОСТ Р 51659, предназначенных для данного груза с учетом его свойств и установленной транспортной опасности;
- автотранспортом - в автоцистернах или плотно закрывающихся сосудах из нержавеющей стали;
- упакованную в бочки, канистры и бутыли, помещенные в ящики, - железнодорожным транспортом в крытых вагонах повагонными отправками, с учетом требований технических условий размещения и крепления грузов в вагонах и контейнерах, по ГОСТ 22235;
- автомобильным или водным транспортом в бочках (емкостях), полиэтиленовых канистрах, стеклянных бутылях, помещенных в полиэтиленовые барабаны или ящики, в крытых контейнерах.
8.3 Цистерны должны иметь разрешение Ростехнадзора на применение в соответствии с требованиями [2].
8.4 Цистерны должны быть заполнены не более чем на 90% их вместимости.
8.5 Допускается заливать неконцентрированную азотную кислоту в цистерны с остатком этого же продукта, если анализ остатка подтверждает соответствие его качества требованиям настоящего стандарта. В противном случае остаток неконцентрированной азотной кислоты удаляют, а цистерну промывают, пропаривают и сушат.
8.6 Наливные люки цистерн, автоцистерн и горловины бочек должны быть тщательно герметизированы фторопластовыми прокладками или прокладками из других материалов, стойких к действию неконцентрированной азотной кислоты.
8.7 Окраску железнодорожных цистерн, автоцистерн, а также сосудов, установленных на автотранспорте, нанесение надписей на них осуществляют в соответствии с правилами перевозки опасных грузов, действующими на данном виде транспорта.
При перевозке железнодорожным транспортом нанесение на вагоны-цистерны необходимых надписей и трафаретов, а также окраска должны соответствовать правилам перевозок [10].
8.8 Неконцентрированную азотную кислоту хранят в герметичных резервуарах-хранилищах, изготовленных из кислотостойких материалов, на открытых площадках.
Неконцентрированную азотную кислоту, упакованную в тару, хранят в крытых складских помещениях при температуре не более 40 °С.
8.9 Не допускается совместное хранение и транспортирование неконцентрированной азотной кислоты с органическими веществами, легковоспламеняющимися и горючими веществами.
9 Гарантии изготовителя
9.1 Изготовитель гарантирует соответствие неконцентрированной азотной кислоты требованиям настоящего стандарта при соблюдении условий транспортирования и хранения.
9.2 Гарантийный срок хранения неконцентрированной азотной кислоты - 6 месяцев со дня изготовления.
Библиография
официальное издание
М.: Стандартинформ, 2010