Новости Нефтегазовая пром.
Выставки Наука и технология


Аммоний роданистый технический ГОСТ 19522-74

аммоний роданистый технический. Технические условия (с Изменениями N 1, 2, 3) ГОСТ 19522-74


ГОСТ 19522-74*

Группа Л14

     
     
ГОСУДАРСТВЕННЫЙ СТАНДАРТ СОЮЗА ССР

аммоний роданистый ТЕХНИЧЕСКИЙ

Технические условия

Technical ammonium thiocyanate. Specifications



ОКП 21 5121

Дата введения 1975-01-01


Постановлением Государственного комитета стандартов Совета Министров СССР от 18 февраля 1974 г. N 446 срок введения установлен с 01.01.75

Проверен в 1986 г. Постановлением Госстандарта от 30.07.86 N 2299 срок действия продлен до 01.01.92**
_________________ 
** Ограничение срока действия снято постановлением Госстандарта СССР от 15.04.91 N 500 (ИУС N 7, 1991 год). - Примечание изготовителя базы данных.


* Переиздание (март 1987 г.) с Изменениями N 1, 2, утвержденными в ноябре 1981 г.; Пост.4893 от 13.11.81, июле 1986 г. (ИУС 1-82, 11-86).

ВНЕСЕНО Изменение N 3, утвержденное и введенное в действие с 01.09.91 постановлением Госстандарта СССР от 15.04.91 N 500

Изменение N 3 внесено изготовителем базы данных по тексту ИУС N 7, 1991 год

Настоящий стандарт распространяется на технический роданистый аммоний, получаемый на основе цианистого водорода коксового газа.

Технический роданистый аммоний предназначается для химической, текстильной, медицинской промышленности и для других целей.

Технический роданистый аммоний гигроскопичен.

Формула: NH4CNS

Молекулярная масса (по международным атомным массам 1977 г.) - 76, 116.

1. ТЕХНИЧЕСКИЕ ТРЕБОВАНИЯ

1.1. Технический роданистый аммоний должен изготовляться в соответствии с требованиями настоящего стандарта по технологическому регламенту, утвержденному в установленном порядке.

1.2. По физико-химическим показателям технический роданистый аммоний должен соответствовать нормам, указанным в таблице.

Наименование показателя

Норма

1. Внешний вид

Кристаллическое вещество бесцветное или окрашенное от светло-желтого до коричневого цвета

2. Массовая доля роданистого аммония (NH4CNS), %, не менее

93

3. Массовая доля хлоридов в пересчете на Сl-, %, не более

0,07

4. Массовая доля сульфатов в пересчете на SO42-, %, не более

0,6

5. Массовая доля железа в пересчете на Fe3+, %, не более

0,03

6. Массовая доля нелетучих веществ, %, не более

0,10

7. Массовая доля нерастворимых веществ, %, не более

0,4

8. Массовая доля веществ, окисляемых йодом, в пересчете на S2-, %, не более

0,07


Примечание. Показатель 8 таблицы нормируется в продукте, предназначенном для производства реактива.

В роданистом аммонии, дополнительно очищенном активированным углем, показатель 8 не должен превышать 0,02%.

(Измененная редакция, Изм. N 2, 3).

1а. ТРЕБОВАНИЯ БЕЗОПАСНОСТИ

1a.1. роданистый аммоний слабо токсичен, пожаро- и взрывобезопасен. Общий характер токсикологического действия на организм человека выражается явлением ксантопсии (видение всех предметов окрашенными в желтый цвет), которое продолжается в течение 2 суток, после чего проходит.

роданистый аммоний при длительном воздействии способен угнетать щитовидную железу, вызывать поражение почек, при попадании на кожу вызывает раздражение и покраснение.

1а.2. Обслуживающий персонал должен быть снабжен спецодеждой (халатами, нарукавниками, фартуками), средствами индивидуальной защиты (резиновыми перчатками, кедами), аптечкой первой помощи.

Испытание проб роданистого аммония необходимо проводить в вытяжном шкафу.

1а.3. При появлении симптомов отравления пострадавшего необходимо вывести из производственного помещения и доставить на медпункт.

Пораженное место следует обмыть теплой водой с мылом.

(Введен дополнительно, Изм. N 2).

2. ПРАВИЛА ПРИЕМКИ

2.1. Правила приемки - по ГОСТ 5445-79.

3. МЕТОДЫ АНАЛИЗА

3.1. Методы отбора проб - по ГОСТ 5445-79 со следующим дополнением: пробоотборник погружают на всю глубину мешка. Масса средней пробы должна быть не менее 0,5 кг.

3.1а. Все взвешивания осуществляют на лабораторных весах общего назначения по ГОСТ 24104-88* 1-го и 2-го классов точности с наибольшим пределом взвешивания 200 г.
________________
* На территории Российской Федерации действует ГОСТ Р 53228-2008. - Примечание изготовителя базы данных. 

Допускается применение других средств измерений с метрологическими характеристиками и оборудования с техническими характеристиками не хуже, а также реактивов по качеству не ниже указанных в настоящем стандарте.

(Введен дополнительно, Изм. N 2. Измененная редакция, Изм. N 3).

3.2. Внешний вид технического роданистого аммония определяют визуально.

3.3. Определение массовой доли роданистого аммония в пределах массовых долей от 35 до 100%.

(Измененная редакция, Изм. N 2).

3.3.1. Реактивы, растворы и посуда:

Калий роданистый по ГОСТ 4139-75, х.ч., высушенный до постоянной массы при 150 °С;

кислота азотная по ГОСТ 4461-77, х.ч., концентрированная и раствор массовой концентрации 0,25 г/см3;

Вода дистиллированная по ГОСТ 6709-72-->ГОСТ 6709-72;

квасцы железоаммонийные по ТУ 6-09-5359-87, насыщенный на холоду раствор; готовят следующим образом: 42 г железоаммонийных квасцов растирают в порошок и растворяют в 100 см3 воды. Насыщенный раствор красноватого цвета быстро фильтруют через складчатый фильтр и к мутному фильтрату добавляют по каплям концентрированную азотную кислоту до тех пор, пока ее прибавление не будет вызывать дальнейшего осветления раствора;

ртуть (II) азотнокислая I-водная по ГОСТ 4520-78, ч.д.а., раствор концентрации точно c(1/2Hg(NO3)2=0,1 моль/дм3; готовят следующим образом: 17 г окисной азотнокислой ртути растворяют в стакане в 1 дм3 воды, содержащей 30 см3 раствора азотной кислоты массовой концентрации 0,25 г/см3. Раствор хранят в склянке из темного стекла. Через 24 ч устанавливают концентрацию полученного раствора. Для этого около 0,3 г роданистого калия взвешивают с погрешностью не более 0,0002 г, растворяют в 50 см3 воды, прибавляют 5 см3 раствора азотной кислоты массовой концентрации 0,25 г/см3, 1 см3 раствора железоаммонийных квасцов и титруют раствором окисной азотнокислой ртути до исчезновения окраски титруемого раствора.

Поправочный коэффициент раствора окисной азотнокислой ртути вычисляют по формуле где m - навеска роданистого калия, г;
V - объем раствора окисной азотнокислой ртути, израсходованный на титрование, см3;

0,009718 - количество роданистого калия, соответствующее 1 см3 концентрации точно c(1/2Hg(NO3)2=0,1 моль/дм3, г;

колбы по ГОСТ 1770-74, исполнения 2, вместимостью 250 см3;

стаканчики для взвешивания (бюксы) по ГОСТ 25336-82, тип СВ или СН;

колбы конические по ГОСТ 25336-82, без шлифа;

пипетки по ГОСТ 20292-74*, исполнения 1, 2, вместимостью 1,5 и 25 см3;
________________
* На территории Российской Федерации действуют ГОСТ 29169-91, ГОСТ 29227-91-ГОСТ 29229-91, ГОСТ 29251-91-ГОСТ 29253-91, здесь и далее по тексту. - Примечание изготовителя базы данных. 

бюретка по ГОСТ 20292-74, исполнения 1-4, вместимостью 50 см3;

стаканы химические по ГОСТ 25336-82, вместимостью 150 и 1000 см3;

склянка из темного стекла, вместимостью 1000 см3.

(Измененная редакция, Изм. N 3).

3.3.2. Проведение анализа

3 г роданистого аммония, взвешенного в стаканчике с погрешностью не более 0,001 г, количественно переносят в мерную колбу вместимостью 250 см3, доводят объем раствора водой до метки и тщательно перемешивают.

Из колбы отбирают пипеткой 25 см3 раствора, помещают в коническую колбу, прибавляют 5 см3 раствора азотной кислоты массовой концентрации 0,25 г/см3, 1 см3 раствора железоаммонийных квасцов и титруют раствором окисной азотнокислой ртути до исчезновения окраски при доверительной вероятности P=0,95.

3.3.3. Обработка результатов

Массовую долю роданистого аммония (X) в процентах вычисляют по формуле где V - объем раствора окисной азотнокислой ртути концентрации точно c(1/2Hg(NO3)2=0,1 моль/дм3; израсходованный на титрование, см3;
m - навеска продукта, г;

0,007611 - количество роданистого аммония, соответствующее 1 см3 раствора окисной азотнокислой ртути, концентрации точно  c(1/2Hg(NO3)2=0,1 моль/дм3, г.

За результат анализа принимают среднее арифметическое двух параллельных определений, допускаемые расхождения между которыми не должны превышать 0,5 абс.%.

3.4. Определение массовой доли хлоридов в пересчете на Сl-.

Метод применяется в интервале значений массовой доли хлоридов от 0,03 до 0,15%.

(Измененная редакция, Изм. N 3).

3.4.1. Реактивы, растворы, посуда и аппаратура:

кислота азотная по ГОСТ 4461-77, х.ч., раствор массовой концентрации 0,25 г/см3;

калий азотнокислый по ГОСТ 4217-77, насыщенный раствор;

Серебро азотнокислое по ГОСТ 1277-75, раствор концентрации точно c(AgNO3)=0,01 моль/дм3;

Ацетон по ГОСТ 2603-79;

железо хлорное по ГОСТ 4147-74 или железо (III) азотнокислое 9-водное по ГОСТ 4111-74, раствор массовой концентрации 0,1 г/см3;

раствор хлористого натрия концентрации точно c(NaCl)=0,01 моль/дм3, готовится из фиксанала;

Вода дистиллированная по ГОСТ 6709-72-->ГОСТ 6709-72;

электролитический ключ - U-образная трубка, заполненная теплым раствором агар-агара; раствор агар-агара готовят следующим образом: 1 г агар-агара смачивают предварительно 30 см3 воды, затем прибавляют 3 см3 насыщенного раствора азотнокислого калия и кипятят до полного растворения агар-агара;

бюретка по ГОСТ 20292-74, исполнения 1-5, вместимостью 25 см3;

колбы по ГОСТ 1770-74, исполнения 2, с пришлифованной пробкой, вместимостью 100 см3;

пипетки по ГОСТ 20292-74, исполнения 2, вместимостью 10 см3;

стаканы химические по ГОСТ 25336-82, вместимостью 250 см3;

цилиндры измерительные по ГОСТ 1770-74 с носиком, вместимостью 50 см3;

электрод серебряный (серебряная проволока диаметром 1 мм);

электрод каломельный и хлорсеребряный;

мешалка электромагнитная;

pH-метр лабораторный, типа ЛП-58, ЛПУ-01 или другой аналогичный прибор.

3.4.2. Проведение анализа

10 г роданистого аммония, взвешенного с погрешностью не более 0,01 г, помещают в мерную колбу вместимостью 100 см3 и доводят водой до метки. Раствор фильтруют (первые 10 см3 отбрасывают). Фильтрат сохраняют для определения сульфатов (п.3.5).

Из полученного фильтрата пипеткой отбирают 10 см3, наливают в стакан вместимостью 150-200 см3, добавляют 30 см3 воды, 12 см3 раствора азотной кислоты и осторожно нагревают (в вытяжном шкафу) до едва заметного появления окислов азота, что определяется по изменению цвета раствора. Затем нагревание прекращают и после окончания реакции (выделение паров окислов азота и обесцвечивание раствора) раствор упаривают кипячением в течение 10 мин. Перед концом упаривания стенки стакана осторожно смывают небольшим количеством воды.

В полученном окисленном растворе проверяют отсутствие ионов CNS следующим образом: на капельную пластинку или фильтровальную бумагу помещают 1-2 капли раствора хлорного железа и одну каплю анализируемого раствора. Если реакция на CNS отрицательная (нет красной окраски), к охлажденному раствору прибавляют 10 см3 раствора хлористого натрия, 35-40 см3 ацетона и проводят потенциометрическое титрование 0,01 н. раствором азотнокислого серебра с применением серебряного и каломельного электродов, соединенных между собой с помощью электролитического ключа.

При наличии ионов CNS добавляют еще 3-4 см3 раствора азотной кислоты и проводят повторное окисление анализируемого раствора.

Каломельный электрод помещают в насыщенный раствор азотнокислого калия, серебряный - в анализируемый раствор на глубину не менее 10 мм, электрод соединяют с потенциометром.

Стаканчик с анализируемым раствором закрывают черной бумагой, устанавливают на плитке электромагнитной мешалки и опускают магнитик, запаянный в стеклянную трубочку, включают электромагнитную мешалку и производят титрование из бюретки.

Сначала добавляют по 1 см3 раствора азотнокислого серебра в один прием и записывают расход азотнокислого серебра и изменение потенциала в таблицу. При изменении потенциала на величину более 10 мВ, постепенно уменьшают количество добавляемого в один прием раствора азотнокислого серебра до 0,25 см3.

После скачка потенциала в точке эквивалентности продолжают добавлять раствор азотнокислого серебра до изменения потенциала не более чем на 3-5 мВ.

Одновременно проводят контрольный опыт в тех же условиях, титруя 10 см3 раствора хлористого натрия раствором азотнокислого серебра.

На основе полученных данных строят график зависимости потенциала от объема раствора азотнокислого серебра, израсходованного на титрование.

По положению максимального скачка потенциала находят точку эквивалентности и по найденному расходу раствора азотнокислого серебра производят расчет содержания хлоридов.

3.4.3. Обработка результатов

Массовую долю хлоридов в пересчете на Cl- (X1) в процентах вычисляют по формуле где V2 - объем раствора азотнокислого серебра концентрации точно c(AgNO3)=0,01 моль/дм3, израсходованный на титрование анализируемого раствора, см3;

V1 - объем раствора азотнокислого серебра концентрации точно c(AgNO3)=0,01 моль/дм3, израсходованный на титрование контрольного раствора, см3;

m - навеска роданистого аммония, г;

0,000355 - количество ионов хлора, соответствующее 1 см3 раствора азотнокислого серебра концентрации точно c(AgNO3)=0,01 моль/дм3, г.

За результат анализа принимают среднее арифметическое двух параллельных определений, допускаемые расхождения между которыми не должны превышать 0,005% при доверительной вероятности P=0,95.

3.5. Определение массовой доли сульфатов в пересчете на SO42-.

Метод применяется в интервале значений массовой доли сульфатов от 0,2 до 1,5%.

3.5.1. Реактивы, растворы и посуда:

Аммоний хлористый по ГОСТ 3773-72;

аммиак водный по ГОСТ 3760-79, раствор массовой концентрации 0,25 г/см3;

кислота соляная по ГОСТ 3118-77, х.ч. или ч.д.а., концентрированная и раствор массовой концентрации 0,1 г/см3;

спирт этиловый технический по ГОСТ 17299-78;

гидроксиламина гидрохлорид по ГОСТ 5456-79 или гидразин солянокислый по ГОСТ 22159-76;

цинк гранулированный по ТУ 6-09-5294-86, без мышьяка, х.ч.;

Вода дистиллированная по ГОСТ 6709-72-->ГОСТ 6709-72;

аммиачный буферный раствор; готовят следующим образом: 67 г хлористого аммония растворяют в 250-300 см3 воды в мерной колбе вместимостью 1 дм3, прибавляют 570 смаммиака и доводят объем раствора водой до метки;

хромоген черный ЕТ-00 (индикатор), готовят следующим образом: 0,5 г хромогена черного ЕТ-00 растворяют в спирте в мерной колбе вместимостью 100 см3, добавляют 4-5 г гидрохлорида гидроксиламина и объем раствора доводят спиртом до метки (прибавление гидроксиламина предусматривает обезвреживание следов металлов в анализируемом растворе вследствие их восстановления);

цинк хлористый по ГОСТ 4529-78, х.ч., раствор концентрации c(1/2ZnCl2)=0,1 моль/дм3; готовят следующим образом: 3-4 г металлического цинка растворяют в 30 смконцентрированной соляной кислоты в конической колбе вместимостью 500 см3. Раствор переносят в мерную колбу вместимостью 1 дм3 и доводят объем раствора водой до метки.

Концентрацию раствора (c) вычисляют по формуле где m - навеска цинка, г;
32,69 - эквивалентная масса цинка, г;

соль динатриевая этилендиамин-N, N, N', N'-тетрауксусной кислоты, 2-водная (трилон б), по ГОСТ 10652-73, раствор концентрации c(C10H14N2Na2x2H2O)=0,1 моль/дм3; готовят следующим образом: 18,6 г трилона Б помещают в стакан и растворяют в воде, фильтруют, если раствор получается мутным, переводят раствор в мерную колбу вместимостью 1 дм3, доводят объем раствора водой до метки.

Для определения концентрации раствора трилона Б отбирают пипеткой 10 см3 раствора хлористого цинка в коническую колбу вместимостью 250 см3, добавляют 10 см3 аммиачного буферного раствора, 6-7 капель индикатора-хромогена черного в смеси с гидрохлоридом гидроксиламином и медленно титруют (при интенсивном перемешивании) раствором трилона Б до изменения (красно-розового) малинового цвета жидкости в синюю;

барий хлористый по ГОСТ 4108-72, х.ч. или ч.д.а, раствор концентрации точно c(BaCl2x2H2O)=0,1 моль/дм3; готовят следующим образом: 12,216 г хлористого бария растворяют в воде в мерной колбе вместимостью 1 дм3 и объем раствора доводят водой до метки.

Для определения нормальности отбирают пипеткой 10 см3, добавляют 10 см3 хлористого магния, 10 см3 аммиачного буферного раствора, 6-7 капель индикатора-хромогена черного и медленно титруют (при интенсивном перемешивании) раствором трилона Б до изменения малинового цвета в чисто-синий.

При расчете концентрации раствора хлористого бария из общего количества трилона Б, израсходованного на титрование, вычитают расход последнего на титрование 10 см3 раствора хлористого магния;

Магний хлористый 6-водный по ГОСТ 4209-77, раствор концентрации c(1/2MgCl2)=0,1 моль/дм3 готовят следующим образом: 10,166 г хлористого магния растворяют в воде в мерной колбе вместимостью 1 дм3, объем раствора доводят водой до метки.

Концентрацию устанавливают по раствору трилона Б. Для этого в коническую колбу вместимостью 200-250 см3 отбирают пипеткой 10 см3 раствора хлористого магния, добавляют 10 см3 аммиачного буферного раствора и 5-6 капель индикатора-хромогена черного и титруют раствором трилона Б, как указано выше;

стаканы химические по ГОСТ 25336-82, вместимостью 100, 250 см3;

колбы по ГОСТ 1770-74, исполнения 1, 2, вместимостью 250 и 1000 см3;

колбы конические по ГОСТ 25336-82, без шлифа, вместимостью 100, 250 и 500 см3;

цилиндры по ГОСТ 1770-74, исполнения 1, 3, вместимостью 50, 100 см3;

пипетки по ГОСТ 20292-74, разные;

бюретки по ГОСТ 20292-74, исполнения 1-5, вместимостью 50 см3.

3.5, 3.5.1. (Измененная редакция, Изм. N 3).

3.5.2. Проведение анализа

Из раствора, приготовленного по п.3.4.2, отбирают пипеткой 25 см3, наливают в колбу, добавляют 75 см3 воды, 0,2 см3 раствора соляной кислоты массовой концентрации 0,1 г/см3 и доводят раствор до кипения. Затем к кипящему раствору добавляют медленно пипеткой 10 смтитрованного раствора хлористого бария, приливают его в центр колбы. Колбу с содержимым тщательно взбалтывают и выдерживают в течение 15-20 мин. После этого колбу с содержимым охлаждают, добавляют 10 см3 раствора хлористого магния, 10 см3 аммиачного буферного раствора и титруют в присутствии 5-6 капель индикатора-хромогена черного раствором трилона Б, при энергичном взбалтывании до перехода окраски от малинового цвета до синего. Изменение окраски от начального малинового цвета к синему протекает через промежуточный сиреневый цвет; по достижении промежуточной окраски необходимо добавить 2-3 капли индикатора. Раствор трилона Б прибавляют медленно и тщательно взбалтывают.

Одновременно проводят контрольный опыт в тех же условиях, титруя 10 см3 хлористого магния раствором трилона Б.

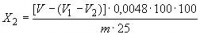
3.5.3. Обработка результатов

Массовую долю сульфатов в пересчете на SO42- (X2) в процентах вычисляют по формуле где V - объем раствора хлористого бария, добавленный для осаждения сульфата, см3;

V1 - объем раствора концентрации точно c(C10H14N2Na2x2H2O)=0,1 моль/дм3, израсходованный на титрование анализируемого раствора, см3;

V2 - объем раствора концентрации точно c(C10H14N2Na2x2H2O)=0,1 моль/дм3, израсходованный на титрование контрольного раствора, см3;

m - навеска анализируемого роданистого аммония, г;

0,0048 - количество ионов SO42-, соответствующее 1 см3 раствора концентрации точно c(BaCl2x2H2O)=0,1 моль/дм3, г.

За результат анализа принимают среднее арифметическое двух параллельных определений, допускаемые расхождения между которыми не должны превышать 0,05%, при доверительной вероятности P=0,95.

3.6. Определение массовой доли железа в пересчете на Fe3+.

Метод применяется в интервале значений массовой доли железа (Fe3+) от 0,01 до 0,1%.

(Измененная редакция, Изм. N 3).

3.6.1. Реактивы, растворы, приборы и посуда:

кислота сульфосалициловая 2-водная по ГОСТ 4478-78, раствор массовой концентрации 0,1 г/см3;

аммиак водный по ГОСТ 3760-79, раствор массовой концентрации 0,25 г/см3;

кислота серная по ГОСТ 4204-77, х.ч., концентрированная и раствор массовой концентрации 0,1 г/см3;

Вода дистиллированная по ГОСТ 6709-72-->ГОСТ 6709-72;

квасцы железоаммонийные по ТУ 6-09-5359-87, х.ч.

Раствор А, готовят следующим образом: 4,3135 г железоаммонийных квасцов, взвешенных с погрешностью не более 0,0002 г, помещают в стакан и растворяют в 25 см3 воды, подкисленной 5-6 каплями концентрированной серной кислоты. Полученный раствор количественно переносят в мерную колбу вместимостью 500 см3 и доводят объем раствора водой до метки.

Раствор А содержит 1 мг/см3 ионов железа.

Раствор Б, готовят следующим образом: 5 см3 раствора А пипеткой переносят в мерную колбу вместимостью 200 см3, прибавляют 50 см3 воды, подкисленной 5 см3 раствора серной кислоты массовой концентрации 0,1 г/см, и доводят объем раствора до метки; раствор Б содержит 0,025 мг/см3 ионов железа; раствор готовят в день построения градуировочного графика;

фотоколориметр типа ФЭК-56 или аналогичный прибор;

колбы по ГОСТ 1770-74, исполнения 2, вместимостью 50, 200, 250 и 500 см3;

пипетки по ГОСТ 20292-74, исполнения 2, 6, 7, вместимостью 5 и 10 см3;

стаканы химические по ГОСТ 25336-82 вместимостью 100 см3.

(Измененная редакция, Изм. N 3).

3.6.2. Построение градуировочного графика

Для построения градуировочного графика готовят образцовые растворы: в мерные колбы вместимостью 50 см3 вносят соответственно 1; 2; 3; 4; 5; 6 см3 раствора Б.

В каждую колбу приливают по 5 см3 раствора сульфосалициловой кислоты и по 5 смраствора аммиака, доводят объем раствора водой до метки и перемешивают.

Одновременно готовят раствор сравнения, в который приливают все те же реактивы, кроме раствора Б.

Через 10 мин измеряют величину оптической плотности образцовых растворов по отношению к раствору сравнения в кюветах с толщиной поглощающего свет слоя 20 мм, пользуясь синим светофильтром.

По полученным данным строят градуировочный график, откладывая по оси абсцисс содержащиеся в образцовых растворах количества железа в миллиграммах, а по оси ординат - соответствующие им величины оптических плотностей.

3.6.3. Проведение анализа

10 г роданистого аммония, взвешенного с погрешностью не более 0,02 г, растворяют в 50 смводы в мерной колбе вместимостью 250 см3, затем доводят объем раствора водой до метки, перемешивают и фильтруют.

10 см3 фильтрата пипеткой переносят в мерную колбу вместимостью 50 см3, прибавляют 5 см3 раствора сульфосалициловой кислоты, 5 см3 раствора аммиака, доводят объем раствора водой до метки и перемешивают.

Через 10 мин измеряют оптическую плотность анализируемого раствора, как указано в п.3.6.2.

3.6.4. Обработка результатов

Массовую долю железа в пересчете на Fe3+ (X3) в процентах вычисляют по формуле где a - содержание ионов железа, найденное по градуировочному графику, мг;
m - навеска анализируемого роданистого аммония, г.

За результат анализа принимают среднее арифметическое двух параллельных определений, допускаемые расхождения между которыми не должны превышать 0,005% при доверительной вероятности P=0,95.

3.7. Определение массовой доли нелетучих веществ.

Метод применяется в интервале значений массовой доли нелетучих веществ от 0,04 до 0,25%.

3.7.1. Реактивы и аппаратура:

аммиак водный по ГОСТ 3760-79, раствор массовой концентрации 0,25 г/см3;

Аммоний сернистый (раствор) по ТУ 6-14-10-151-86;

Вода дистиллированная по ГОСТ 6709-72-->ГОСТ 6709-72;

колба по ГОСТ 1770-74, с пришлифованной пробкой, вместимостью 200 см3;

цилиндры по ГОСТ 1770-74, исполнения 1, 3;

баня песчаная;

печь муфельная лабораторная;

тигли фарфоровые вместимостью 50 см3.

3.7, 3.7.1. (Измененная редакция, Изм. N 3).

3.7.2. Проведение анализа

20 г роданистого аммония взвешивают с погрешностью не более 0,01 г, растворяют в 100 смводы в мерной колбе вместимостью 200 см3, прибавляют 5 см3 водного раствора аммиака, 4-5 см3 раствора односернистого аммония и доводят объем раствора водой до метки, хорошо перемешивая. Полученный раствор фильтруют, отбросив первые 10 см3 фильтрата. 100 смфильтрата выпаривают в предварительно прокаленном и взвешенном до постоянной массы фарфоровом тигле вместимостью 50 см3, постепенно подливая фильтрат. Под конец выпаривание ведут на песчаной бане до тех пор, пока в тигле не образуется сухой плотный коричневый остаток. Содержимое тигля прокаливают в муфельной печи при температуре 700-800 °С и взвешивают до постоянной массы со случайной погрешностью не более 0,0005 г.

(Измененная редакция, Изм. N 2).

3.7.3. Обработка результатов

Массовую долю нелетучих веществ (X6) в процентах вычисляют по формуле где m - навеска роданистого аммония, г;
m1 - масса пустого тигля, г;

m2 - масса пустого тигля с остатком, г.

За результат анализа принимают среднее арифметическое результатов двух параллельных определений, допускаемые расхождения между которыми при доверительной вероятности P=0,95 не должны превышать 0,005%.

(Введен дополнительно, Изм. N 2).

3.8. Определение массовой доли нерастворимых в воде веществ.

Метод применяется в интервале значений массовой доли нерастворимых веществ от 0,2 до 0,1%.

3.8.1. Реактивы и аппаратура:

железо хлорное по ГОСТ 4147-74 или Железо азотнокислое, раствор массовой концентрации 0,1 г/см3;

Вода дистиллированная по ГОСТ 6709-72-->ГОСТ 6709-72;

фильтры беззольные "белая лента";

воронки стеклянные по ГОСТ 25336-82 или воронки Бюхнера по ГОСТ 9147-80;

колбы с тубусом по ГОСТ 25336-82 вместимостью 100-250 см3;

стаканы химические по ГОСТ 25336-82 вместимостью 250 см3.

3.8, 3.8.1. (Измененная редакция, Изм. N 3).

3.8.2. Проведение анализа

25 г роданистого аммония, взвешенного с погрешностью не более 0,01 г, растворяют в 100 см3 воды в стакане, который накрывают часовым стеклом, помещают на кипящую водяную баню и выдерживают в течение 1 ч, затем раствор отфильтровывают через предварительно высушенный до постоянной массы и взвешенный с погрешностью не более 0,0002 г бумажный фильтр "белая лента". Остаток на фильтре и стакан промывают горячей водой до исчезновения красной окраски при добавлении к промывной воде раствора хлорного железа (или азотнокислого).

Фильтр с остатком сушат в сушильном шкафу при 105-110 °С до постоянной массы и взвешивают с погрешностью не более 0002 г.

Если фильтрование протекает очень медленно, можно фильтровать под вакуумом, используя для этой цели фарфоровые воронки и колбы для фильтрования под вакуумом.

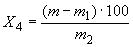
3.8.3. Обработка результатов

Массовую долю нерастворимых в воде веществ (X4) в процентах вычисляют по формуле где m - масса фильтра с остатком, г;
m1 - масса пустого фильтра, г;

m2 - навеска роданистого аммония, г.

За результат анализа принимают среднее арифметическое двух параллельных определений, допускаемые расхождения между которыми не должны превышать 0,05%, при доверительной вероятности P=0,95.

(Измененная редакция, Изм. N 2).

3.9. Определение массовой доли веществ, окисляемых йодом.

Метод применяется в интервале значений массовой доли веществ, окисляемых йодом, от 0,03 до 0,15%.

(Измененная редакция, Изм. N 3).

3.9.1. Реактивы, растворы и посуда:

йод по ГОСТ 4159-79, раствор c(1/2J2)=0,01 моль/дм3;

Калий йодистый по ГОСТ 4232-74;

кислота серная по ГОСТ 4204-77, раствор массовой концентрации 0,1 г/см3;

крахмал растворимый по ГОСТ 10163-76, раствор массовой концентрации 0,005 г/см3;

Вода дистиллированная по ГОСТ 6709-72-->ГОСТ 6709-72;

воронка по ГОСТ 25336-82, тип В;

колба по ГОСТ 25336-82, тип Кн или КнКш, вместимостью 250 см3;

цилиндры по ГОСТ 1770-74, исполнения 1 или 3, вместимостью 5 или 10 и 50 или 100 см3;

бюретка по ГОСТ 20292-74, исполнения 1-3, вместимостью 25 см3;

бумага фильтровальная лабораторная по ГОСТ 12026-76 или фильтры бумажные "белая лента", при доверительной вероятности P=0,95.

(Измененная редакция, Изм. N 2).

3.9.2. Проведение анализа

4 г роданистого аммония, взвешенного с погрешностью не более 0,01 г, растворяют в 50 смводы, фильтруют в колбу, промывают остаток на фильтре несколько раз водой. Общий объем фильтрата должен быть около 100 см3. К фильтрату прибавляют 1 см3 раствора серной кислоты, 1,5 г йодистого калия, взвешенного с погрешностью не более 0,1 г, взбалтывают, оставляют в покое 1 мин, затем прибавляют 2 см3 раствора крахмала и титруют из бюретки раствором йода до появления синей окраски. Одновременно проводят контрольный опыт.

3.9.3. Обработка результатов

Массовую долю веществ, окисляемых йодом в пересчете на S2- (X5) в процентах, вычисляют по формуле где V - объем раствора точно  c(1/2J2)=0,01 моль/дм3, израсходованный на титрование анализируемого раствора, см3;
V1 - объем раствора точно  c(1/2J2)=0,01 моль/дм3, израсходованный на титрование контрольного раствора, см3;

m - масса навески анализируемой пробы, г;

0,00016 - масса серы, соответствующая 1 см3 точно  c(1/2J2)=0,01 моль/дм3.

За результат анализа принимают среднее арифметическое двух параллельных определений, допускаемые расхождения между которыми не должны превышать 0,005%.

3.10. Результаты анализов округляют по СТ СЭВ 543-77 да значащих цифр в соответствии с таблицей технических требований.

(Введен дополнительно, Изм. N 2).

4. УПАКОВКА, МАРКИРОВКА, ТРАНСПОРТИРОВАНИЕ И ХРАНЕНИЕ

4.1. Технический роданистый аммоний упаковывают в полиэтиленовые мешки по ГОСТ 17811-78, затем вкладывают в бумажные четырехслойные битумированные или ламинированные полиэтиленом мешки по ГОСТ 2226-88*.
________________
* На территории Российской Федерации действует ГОСТ Р 53361-2009. - Примечание изготовителя базы данных.
 
Масса роданистого аммония с упаковкой должна быть не более 40 кг.

Полиэтиленовые мешки должны быть запаяны, а бумажные - прошиты машинным способом.

(Измененная редакция, Изм. N 3).

4.2. Транспортная маркировка - по ГОСТ 14192-77* с указанием манипуляционного знака "Боится сырости" и следующих дополнительных данных:
________________
* На территории Российской Федерации действует ГОСТ 14192-96. - Примечание изготовителя базы данных. 

наименования и сорта продукта;

даты изготовления и номера партии;

обозначения настоящего стандарта.

4.1-4.2. (Измененная редакция, Изм. N 2).

4.3. (Исключен, Изм. N 1).

4.4. Технический роданистый аммоний транспортируют в крытых железнодорожных вагонах повагонными отправками в соответствии с правилами перевозок грузов, действующими на железнодорожном транспорте.

(Измененная редакция, Изм. N 2).

4.5. Технический роданистый аммоний хранят в упакованном виде в закрытых складских помещениях.

4.6. Упакованный технический роданистый аммоний должен транспортироваться пакетами по ГОСТ 26663-85. Допускается по согласованию с потребителем транспортирование упакованного в мешки роданистого аммония в непакетированном виде. Погрузка (разгрузка) мешков непакетированного роданистого аммония осуществляется у поставщика (потребителя) с помощью транспортера.

(Измененная редакция, Изм. N 3).

5. ГАРАНТИИ ИЗГОТОВИТЕЛЯ

5.1. Изготовитель гарантирует соответствие качества технического роданистого аммония требованиям настоящего стандарта при соблюдении условий хранения и транспортирования.

5.2. Гарантийный срок хранения продукта - 6 месяцев со дня изготовления.

5.1-5.2. (Измененная редакция, Изм. N 2).

Раздел 6. (Исключен, Изм. N 2).




официальное издание
М.: Издательство стандартов, 1987