Новости Нефтегазовая пром.
Выставки Наука и технология


2-Аминотолуол технический ГОСТ 10205-73

2-Аминотолуол технический. Технические условия (с Изменениями N 1, 2) ГОСТ 10205-73


ГОСТ 10205-73*

Группа Л21

     
     
МЕЖГОСУДАРСТВЕННЫЙ СТАНДАРТ

2-АМИНОТОЛУОЛ ТЕХНИЧЕСКИЙ

Технические условия

Technical 2-aminotoluene. Specifications


ОКП 24 7143 0100 04

Дата введения 1974-07-01



Постановлением Государственного комитета стандартов Совета Министров СССР от 25.07.73 N 1820 дата введения установлена 01.07.74

Ограничение срока действия снято Постановлением Госстандарта от 04.04.91 N 440

ВЗАМЕН ГОСТ 10205-62

* ПЕРЕИЗДАНИЕ (ноябрь 1998 г.) с Изменениями N 1, 2, утвержденными в апреле 1981 г., апреле 1991 г. (ИУС 7-81, 7-91).

Настоящий стандарт распространяется на технический 2-аминотолуол, применяемый в качестве полупродукта в производстве красителей и в других органических синтезах. 

Формулы:

эмпирическая C7H9N

структурная  


Молекулярная масса (по международным атомным массам 1971 г.) - 107,15.

Требования настоящего стандарта являются обязательными. 

(Измененная редакция, Изм. N 1, 2).

1. ТЕХНИЧЕСКИЕ ТРЕБОВАНИЯ

1.1. Технический 2-аминотолуол должен быть изготовлен в соответствии с требованиями настоящего стандарта по технологическому регламенту, утвержденному в установленном порядке.

1.2. По физико-химическим показателям технический 2-аминотолуол должен соответствовать требованиям и нормам, указанным в таблице.

Наименование показателя

Норма

1. Внешний вид

Прозрачная маслянистая, светло-желтая жидкость, окрашивающаяся при хранении до красновато-коричневого цвета

2. Массовая доля 2-аминотолуола, %, не менее

99,3

3. Массовая доля 2-нитротолуола, %, не более

0,1

4. Массовая доля 3-аминотолуола, %, не более

0,3

5. Массовая доля 4-аминотолуола, %, не более

0,05

6. Массовая доля анилина, %, не более

0,1

7. Растворимость в соляной кислоте

Раствор прозрачный, допускается слабая опалесценция

2а. ТРЕБОВАНИЯ БЕЗОПАСНОСТИ

2а.1. Технический 2-аминотолуол - горючая маслянистая жидкость труднорастворимая в воде.

Температура вспышки в открытом тигле 81 °С, температура воспламенения в открытом тигле 95 °С, температура самовоспламенения 481 °С.

2а.2. Меры предупреждения загораний: герметизация емкостей для хранения продукта и удаление их от источников тепла и открытого огня.

Загоревшийся продукт следует тушить распыленной водой, химической и воздушно-химической пеной, инертными газами.

2а.3. 2-аминотолуол - вещество умеренно опасное, 3-й класс опасности по ГОСТ 12.1.005-88.

Предельно допустимая концентрация (ПДК) 2-аминотолуола в воздухе рабочей зоны - 3 мг/м3.

2а.4. Помещение, в котором проводится работа с продуктом, должно быть оборудовано общеобменной приточно-вытяжной вентиляцией. Технологический процесс должен быть автоматизирован, а оборудование - герметизировано. Ежесменно следует проводить влажную уборку помещений.

2а.5. При отборе проб, испытании и применении продукта следует использовать индивидуальные средства защиты от попадания на кожные покровы, слизистые оболочки глаз, в органы дыхания и пищеварения.

2а.6. При анализе технического 2-аминотолуола применяются хлороформ и трифторуксусный ангидрид, обладающие наркотическим и токсикологическим действием. Хлороформ под действием света и высоких температур разлагается с образованием фосгена.

Все работы, связанные с применением хлороформа, проводят в вытяжном шкафу.

Раздел 2а. (Введен дополнительно, Изм. N 2).

2. ПРАВИЛА ПРИЕМКИ

2.1. Правила приемки - по ГОСТ 6732.1-89. 

(Измененная редакция, Изм. N 1, 2).

2.2, 2.3. (Исключены, Изм. N 1).

3. МЕТОДЫ АНАЛИЗА

3.1. Отбор проб - по ГОСТ 6732.2-89. Масса средней пробы должна быть не менее 0,5 дм3.

3.2. Перед каждым анализом среднюю пробу тщательно перемешивают. 

3.1, 3.2. (Измененная редакция, Изм. N 1).

3.3а. Общие указания по проведению анализа - по ГОСТ 27025-86. 

(Введен дополнительно, Изм. N 2).

3.3. Внешний вид определяют просмотром в проходящем свете 50 см3 2-аминотолуола в пробирке П3-50ХС по ГОСТ 25336-82.

3.4. Массовую долю технического 2-аминотолуола определяют по разности, вычитая из 100% сумму примесей 2-нитротолуол, 3-аминотолуол, 4-аминотолуол, анилин и воду, содержащихся в продукте. Предварительно содержание воды определяют по ГОСТ 14870-77 (метод Фишера).

3.3, 3.4. (Измененная редакция, Изм. N 2).

3.5. Определение массовой доли анилина, 2-нитротолуола, 3-аминотолуола и 4-аминотолуола проводят методом газожидкостной хроматографии с применением "внутреннего эталона". В качестве "внутреннего эталона" применяют 1, 2-дихлорбензол.

(Измененная редакция, Изм. N 1).

3.5.1. Аппаратура и реактивы

Хроматограф газовый с детектором ионизации в пламени.

Колонка газохроматографическая стеклянная длиной 3 м, внутренним диаметром 2-3 мм.

Фазы неподвижные: эфир полифениловый 5Ф4Э для хроматографии и нитрилсилоксановый каучук НСКТ-33.

Носитель твердый - хроматон N-AW-DMCS с частицами размерами 0,200-0,250 мм или 0,250-0,315 мм.

Воздух сжатый для питания контрольно-измерительных приборов.

Водород технический по ГОСТ 3022-80, марка А.

Азот газообразный технический по ГОСТ 9293-74.

Хлороформ технический по ГОСТ 20015-88

1,2-Дихлорбензол, ч. 

Ангидрид трифторуксусный, ч. 

Микрошприц вместимостью 10 мкл.

Весы лабораторные общего назначения с наибольшим пределом взвешивания 200 г и погрешностью ±0,7500 мг.

Стаканчик для взвешивания по ГОСТ 25336-82.

Линейка измерительная металлическая по ГОСТ 25706-83.

Лупа измерительная 10-кратного увеличения по ГОСТ 25706-83.

Баня песчаная.

Чашка ЧВК или ЧВП по ГОСТ 25336-82.

(Измененная редакция, Изм. N 1, 2).

3.5.2. Подготовка к анализу

3.5.2.1. Приготовление насадки

К хроматону, помещенному в фарфоровую чашку и смоченному хлороформом, приливают раствор, содержащий полифениловый эфир из расчета 9,5% от массы хроматона и нитрилсилоксановый каучук - 3% от массы хроматона в хлороформе. Объем хлороформа должен быть таким, чтобы весь хроматон был покрыт раствором. Затем чашку с содержимым помещают на песчаную баню, предварительно нагретую до 75-80 °С, и хлороформ полностью испаряют при постоянном осторожном перемешивании.

3.5.2.2. Условия проведения анализа

Включение хроматографа и вывод его на рабочий режим производят в соответствии с инструкцией, прилагаемой к прибору.

Хроматограммы снимают при рабочих условиях, указанных ниже.

Температура термостата колонки, °С

160-165

Температура испарителя, °С

200

Скорость потока газа-носителя (азота), см3/мин

10-25

Скорость потока водорода, см3/мин

20-30

Скорость движения диаграммной ленты, мм/ч

200

Соотношение скорости водорода и воздуха указано в инструкции к прибору. 

3.5.2-3.5.2.2. (Измененная редакция, Изм. N 1).

3.5.2.3. Градуировка прибора

Градуировочный коэффициент для каждой определяемой примеси определяют, анализируя 5-10 искусственных бинарных смесей, приготовленных следующим образом: соизмеримые количества (в пределах 1,0000 г) определяемой примеси и 1,2-дихлорбензола взвешивают в стаканчике, приливают 3 см3 хлороформа и перемешивают.

0,1 см3 полученного раствора обрабатывают в отдельном стаканчике 0,3 см3 трифторуксусного ангидрида, кроме смеси 1,2-дихлорбензола и 2-нитротолуола. Анализ искусственной смеси проводят при условиях, указанных в п.3.5.2.2.

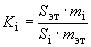
Градуировочный коэффициент для каждой определяемой примеси (Ki) вычисляют по формуле где Sэт - площадь пика "внутреннего эталона", мм2;

mi - масса определяемого компонента в искусственной бинарной смеси, г; 

Si - площадь пика определяемого компонента, мм2;

mэт - масса "внутреннего эталона", г.

При наличии неидентифицированной примеси ее массовую долю вычисляют по площади пика, принимая градуировочный коэффициент равным 1.

Площадь пика вычисляют как произведение высоты каждого пика на его ширину, измеренную на середине высоты.

Высоту пика измеряют металлической линейкой, а ширину - измерительной лупой.

3.5.3. Проведение анализа

Для четкого разграничения на хроматограмме пиков 2-аминотолуол и другие амины, содержащиеся в продукте, предварительно переводят в амиды:

2-аминотолуол в 2-толуил-N-трифторацетамид;

3-аминотолуол в 3-толуил-N-трифторацетамид;

анилин в трифторацетанилид;

4-аминотолуол в 4-толуидин-N-трифторацетамид.

Около 2,0000 г анализируемого 2-аминотолуола взвешивают в стаканчике, добавляют микрошприцем около 0,0100 г 1,2-дихлорбензола и снова взвешивают. Раствор перемешивают стеклянной палочкой. Затем 0,1 см3 полученного раствора помещают в чистый сухой стаканчик, приливают 0,3 см3 хлороформа и осторожно, по одной капле, добавляют 0,3 см3 трифторуксусного ангидрида. Стаканчик закрывают крышкой и несколько раз энергично встряхивают. 1 мкл подготовленной пробы вводят в испаритель хроматографа.

Порядок выхода компонентов указан на хроматограмме (см. чертеж).

Черт. Типовая хроматограмма 2-аминотолуола

Типовая хроматограмма 2-аминотолуола


1 - трифторуксусный ангидрид; 2 - хлороформ; 3 - 1,2-дихлорбензол; 4 - неидентифицированная примесь; 5 - N-трифторацетанилид; 6 - 2-толуил-N-трифторацетамид; 7 - 2-нитротолуол; 8 - 3-толуил-N-трифторацетамид; 9 - 4-толуил-N-трифторацетамид

3.5.4. Обработка результатов

Массовую долю анилина, 2-нитротолуола, 3-аминотолуола и 4-аминотолуола и неидентифицированной примеси (Xi) в процентах вычисляют по формуле где Si - площадь пика определяемого компонента в анализируемой пробе, мм2

mэт - масса навески "внутреннего эталона", г; 

Ki - градуировочный коэффициент определяемого компонента;

Sэт - площадь пика "внутреннего эталона", мм2

m - масса навески анализируемого продукта, г.

За результат анализа принимают среднее арифметическое результатов двух параллельных определений, абсолютное расхождение между которыми не превышает допускаемое расхождение, равное 0,01%.

Допускаемая абсолютная суммарная погрешность результата анализа ±0,02% при доверительной вероятности P=0,95.

3.5.2.3-3.5.4. (Измененная редакция, Изм. N 1, 2).

3.6. Определение растворимости в соляной кислоте

3.6.1. Аппаратура и реактивы 

кислота соляная по ГОСТ 3118-77, х.ч. 

Вода дистиллированная по ГОСТ 6709-72-->ГОСТ 6709-72.

Весы лабораторные общего назначения с наибольшим пределом взвешивания 500 г и погрешностью ±1,5000 мг.

3.6.2. Проведение анализа

Около 20,00 г анализируемого 2-аминотолуола помещают в коническую узкогорлую колбу вместимостью 500 см3, растворяют в смеси 200 см3 воды и 36 см3 соляной кислоты и рассматривают раствор в проходящем свете.

(Измененная редакция, Изм. N 2).

4. УПАКОВКА, МАРКИРОВКА, ТРАНСПОРТИРОВАНИЕ И ХРАНЕНИЕ

4.1. Упаковка - по ГОСТ 6732.3-89.

2-Аминотолуол упаковывают в стальные сварные герметичные бочки по ГОСТ 6247-79 любого типа вместимостью 100-200 дм3 или в вагоны-цистерны по ГОСТ 10674-82, принадлежащие грузоотправителю.

(Измененная редакция, Изм. N 1, 2).

4.2. Маркировка - по ГОСТ 6732.4-89 с нанесением манипуляционного знака "Герметичная упаковка" по ГОСТ 14192-96 и знака опасности по ГОСТ 19433-88 (класс 6, подкласс 6.1, черт.6а, классификационный шифр 6162), серийного номера ООН 1708.

4.3. Транспортирование - по ГОСТ 6732.5-89 со следующим дополнением: технический 2-аминотолуол транспортируют транспортом любого вида, кроме воздушного.

4.2, 4.3. (Измененная редакция, Изм. N 2).

4.4. Технический 2-аминотолуол хранят в упаковке изготовителя в крытых складских помещениях.

(Измененная редакция, Изм. N 1).

5. ГАРАНТИИ ИЗГОТОВИТЕЛЯ

5.1. Изготовитель гарантирует соответствие технического 2-аминотолуола требованиям настоящего стандарта при соблюдении условий транспортирования и хранения.

5.2. Гарантийный срок хранения технического 2-аминотолуола - один год со дня изготовления.

5.1, 5.2. (Измененная редакция, Изм. N 2).

Раздел 6. (Исключен, Изм. N 2).




официальное издание
М.: ИПК Издательство стандартов, 1999