Новости Нефтегазовая пром.
Выставки Наука и технология


Железный купорос технический ГОСТ 6981-94

Железный купорос технический. Технические условия ГОСТ 6981-94


ГОСТ 6981-94

Группа Л14

     
     
МЕЖГОСУДАРСТВЕННЫЙ СТАНДАРТ

     
     
Железный купорос ТЕХНИЧЕСКИЙ

     
Технические условия

     
Green vitriol for industrial use.
Specifications



ОКС 71.060.50
ОКП 21 4122

Дата введения 1997-01-01

     
     
Предисловие

1 РАЗРАБОТАН Институтом черной металлургии Академии наук Украины

ВНЕСЕН Техническим секретариатом Межгосударственного Совета по стандартизации, метрологии и сертификации

2 ПРИНЯТ Межгосударственным Советом по стандартизации, метрологии и сертификации 21 октября 1994 г.

За принятие проголосовали:

Наименование государства

Наименование национального органа по стандартизации

Азербайджанская Республика

Азгосстандарт

Республика Армения

Армгосстандарт

Республика Белоруссия

Белстандарт

Республика Грузия

Грузстандарт

Республика Казахстан

Госстандарт Республики Казахстан

Киргизская Республика

Киргизстандарт

Республика Молдова

Молдовастандарт

Российская Федерация

Госстандарт России

Республика Узбекистан

Узгосстандарт

Украина

Госстандарт Украины

3 Постановлением Комитета Российской Федерации по стандартизации, метрологии и сертификации от 21.05.96 N 321 межгосударственный стандарт ГОСТ 6981-94 введен в действие непосредственно в качестве государственного стандарта с 1 января 1997 г.

4 ВЗАМЕН ГОСТ 6981-75

     1 ОБЛАСТЬ ПРИМЕНЕНИЯ


Настоящий стандарт распространяется на купорос железный технический (железа (II) сульфат гептагидрат) (далее - Железный купорос), получаемый путем утилизации отработанных сернокислотных травильных растворов, предназначенный для применения в химической промышленности, цветной металлургии, электроэнергетике.

Формула: FeSO4x7H2O

Относительная молекулярная масса (по международным атомным массам 1983 г.) - 278,01.

2 НОРМАТИВНЫЕ ССЫЛКИ


В настоящем стандарте использованы ссылки на следующие стандарты:

ГОСТ 12.1.005-88 ССБТ. Общие санитарно-гигиенические требования к воздуху рабочей зоны

ГОСТ 12.1.007-76 ССБТ. Вредные вещества. Классификация и общие требования безопасности

ГОСТ 12.3.009-76 ССБТ. Работы погрузочно-разгрузочные. Общие требования безопасности

ГОСТ 12.4.021-75 ССБТ. Системы вентиляционные. Общие требования

ГОСТ 12.4.023-84 ССБТ. Щитки защитные лицевые. Общие технические требования и методы контроля

ГОСТ 12.4.028-76 ССБТ. Респираторы ШБ-1 "Лепесток". Технические условия

ГОСТ 1770-74 Посуда мерная лабораторная стеклянная. Цилиндры, мензурки, колбы, пробирки. Технические условия

ГОСТ 4204-77 Кислота серная. Технические условия

ГОСТ 4220-75 калий двухромовокислый. Технические условия

ГОСТ 4328-77 Натрия гидроокись. Технические условия

ГОСТ 4919.1-77 Реактивы и особо чистые вещества. Методы приготовления растворов индикаторов

ГОСТ 6552-80 Кислота ортофосфорная. Технические условия

ГОСТ 6709-72-->ГОСТ 6709-72 Вода дистиллированная. Технические условия

ГОСТ 9147-80 Посуда и оборудование лабораторные фарфоровые. Технические условия

ГОСТ 14192-77 Маркировка грузов*
________________
* Действует ГОСТ 14192-96, здесь и далее по тексту.

ГОСТ 17811-78 Мешки полиэтиленовые для химической продукции. Технические условия

ГОСТ 20490-75 Калий марганцовокислый. Технические условия

ГОСТ 21650-76 Средства скрепления тарно-штучных грузов в транспортных пакетах. Общие требования

ГОСТ 24104-88 Весы лабораторные общего назначения и образцовые. Общие технические условия*
_______________
* На территории Российской Федерации действует ГОСТ 24104-2001, здесь и далее по тексту.

ГОСТ 24597-81 Пакеты тарно-штучных грузов. Основные параметры и размеры

ГОСТ 25794.1-83 Реактивы. Методы приготовления титрованных растворов для кислотно-основного титрования

ГОСТ 25794.2-83 Реактивы. Методы приготовления титрованных растворов для окислительно-восстановительного титрования

ГОСТ 27574-87 Костюмы женские для защиты от общих производственных загрязнений и механических воздействий. Технические условия

ГОСТ 27575-87 Костюмы мужские для защиты от общих производственных загрязнений и механических воздействий. Технические условия

ГОСТ 29169-91 (ИСО 648-77) Посуда лабораторная стеклянная. Пипетки с одной отметкою

ГОСТ 29227-91 (ИСО 835-1-81) Посуда лабораторная стеклянная. Пипетки градуированные. Часть 1. Общие требования

ГОСТ 29228-91 (ИСО 835-2-81) Посуда лабораторная стеклянная. Пипетки градуированные. Часть 2. Пипетки градуированные без установленного времени ожидания

ГОСТ 29229-91 (ИСО 835-3-81) Посуда лабораторная стеклянная. Пипетки градуированные. Часть 3. Пипетки градуированные с временем ожидания 15 с

ГОСТ 29230-91 (ИСО 835-4-81) Посуда лабораторная стеклянная. Пипетки градуированные. Часть 4. Пипетки выдувные

ГОСТ 29253-91 (ИСО 385-3-84) Посуда лабораторная стеклянная. Бюретки. Часть 3. Бюретки с временем ожидания 30 с

3 ТЕХНИЧЕСКИЕ ТРЕБОВАНИЯ

3.1 Железный купорос должен быть изготовлен в соответствии с требованиями настоящего стандарта по технологическому регламенту, утвержденному в установленном порядке.

3.2 По физико-химическим показателям Железный купорос должен соответствовать нормам, указанным в таблице 1.

Таблица 1

Наименование показателя

Норма

1-й сорт
ОКП 21 4122 0130

2-й сорт
ОКП 21 4122 0140

1 Внешний вид

Кристаллы, зеленовато-голубые

2 Массовая доля сульфата железа (II), %, не менее

53

47

3 Массовая доля свободной серной кислоты, %, не более

0,3

1,0

4 Массовая доля нерастворимых в воде веществ, %, не более

0,2

1,0

3.3 Показатели, устанавливаемые по требованию потребителя

3.3.1 В железном купоросе первого сорта определяется массовая доля сернокислого железа (III). Нормы этого показателя не являются браковочными.

3.3.2 В железном купоросе, предназначенном для комбикормовой промышленности, определяются массовые доли свинца, кадмия, ртути, фтора и мышьяка.

4 ТРЕБОВАНИЯ БЕЗОПАСНОСТИ

4.1 Железный купорос является кристаллическим веществом. При попадании в организм человека оказывает общетоксическое действие, вызывает желудочно-кишечные расстройства, раздражает кожный покров и слизистую оболочку.

Вид опасности - отравление аэрозолями железного купороса.

4.2 По степени воздействия на организм человека относится к веществам третьего класса опасности.

Предельно допустимая концентрация аэрозоля сульфата железа (II) в воздухе рабочей зоны производственных помещений - 2 мг/м3.

4.3 Железный купорос негорюч, пожаро- и взрывобезопасен.

4.4 При работе с железным купоросом должны соблюдаться общие требования безопасности по ГОСТ 12.1.007.

4.5 Контроль воздуха рабочей зоны производится в соответствии с ГОСТ 12.1.005.

Периодичность контроля сульфата железа (II) в воздухе рабочей зоны устанавливается в соответствии с ГОСТ 12.1.005.

4.6 Производственные помещения и лаборатории, в которых ведется работа с железным купоросом, оборудуют приточно-вытяжной вентиляцией по ГОСТ 12.4.021.

Технологическое оборудование должно быть герметичным.

4.7 Работающие с железным купоросом должны быть обеспечены санитарно-бытовыми помещениями, снабженными горячей водой в соответствии с нормами, предусмотренными для производственных процессов группы IIIб, специальной одеждой по ГОСТ 27574 и ГОСТ 27575, щитками защитными по ГОСТ 12.4.023 и специальной обувью.

Для защиты органов дыхания должен применяться респиратор типа "Лепесток" по ГОСТ 12.4.028.

Работающие с железным купоросом должны быть обеспечены индивидуальными средствами защиты.

4.8 Требования безопасности при погрузочно-разгрузочных работах - по ГОСТ 12.3.009.

5 ПРАВИЛА ПРИЕМКИ

5.1 Железный купорос принимают партиями. Партией считают количество железного купороса, однородного по своим качественным показателям, оформленного одним документом о качестве.

Документ должен содержать:

- товарный знак или наименование предприятия-изготовителя и его товарный знак;

- наименование и сорт продукции;

- номер партии и дату изготовления;

- массу (нетто) партии;

- результаты проведенных анализов;

- обозначение настоящего стандарта.

5.2 Для контроля качества упакованного железного купороса от партии отбирают 1% упаковочных единиц, но не менее трех от партии, состоящей из менее чем 60 упаковочных единиц.

Для контроля качества железного купороса, отгружаемого насыпью, у изготовителя пробы отбирают со склада в десяти точках, равномерно расположенных по всему объему; у потребителя пробы отбирают не менее чем в трех точках каждого железнодорожного вагона или автомашины.

Для контроля качества железного купороса, находящегося на потоке, отбирают пробу массой 0,5 кг от каждого выпуска.

5.3 При получении неудовлетворительных результатов анализа хотя бы по одному из показателей проводят повторный анализ на удвоенном количестве точечных проб той же партии.

Результаты повторного анализа распространяются на всю партию.

6 МЕТОДЫ АНАЛИЗА

6.1 Отбор проб

6.1.1 Точечные пробы железного купороса отбирают щупом, погружая его на 3/4 глубины по вертикальной оси или диагонали. Масса точечной пробы должна быть не менее 0,5 кг.

6.1.2 Отобранные точечные пробы соединяют, тщательно перемешивают, сокращают квартованием. Масса средней пробы, используемой для анализа, должна быть не менее 1 кг.

Среднюю пробу помещают в чистую стеклянную банку с плотно пригнанной пробкой, на которую наклеивают этикетку с указанием:

- товарного знака или наименования и товарного знака предприятия-изготовителя;

- наименования продукции;

- номера партии;

- даты отбора проб.

Срок хранения средней пробы - 30 дней.

6.2 Общие требования

6.2.1 Массовую долю сульфата железа (II) и других компонентов железного купороса определяют в двух параллельных навесках. Одновременно проводят два контрольных опыта на чистоту реактивов.

6.2.2 Для проведения анализа применяют:

- цилиндры и мерные колбы по ГОСТ 1770;

- бюретки, пипетки по ГОСТ 29253, ГОСТ 29227 - ГОСТ 29230, ГОСТ 29169;

- фарфоровые тигли - ГОСТ 9147;

- реактивы квалификации ч.д.а. или х.ч.

6.2.3 Методы приготовления титрованных растворов по ГОСТ 25794.1, ГОСТ 25794.2.

6.2.4 Для приготовления водных растворов реактивов и проведения анализов применяют дистиллированную воду по ГОСТ 6709.

6.2.5 Взвешивание навесок проводят на лабораторных весах общего назначения по ГОСТ 24104 2-го и 3-го классов точности с наибольшими пределами взвешивания 200 и 500 г или 1 кг.

Допускается применение других весов, отвечающих указанным требованиям.

6.3 Внешний вид железного купороса определяют визуально.

6.4 Определение массовой доли сульфата железа (II) (40-60%)

6.4.1 Определение массовой доли сульфата железа (II) с применением двухромовокислого калия.

6.4.1.1 Сущность метода

Метод основан на титровании ионов двухвалентного железа раствором двухромовокислого калия. В качестве индикатора применяют дифениламиносульфонат натрия (дифениламин - 4 сульфокислоты натриевая соль).

6.4.1.2 Реактивы и растворы:

- кислота серная по ГОСТ 4204, разбавленная 1:4;

- кислота ортофосфорная - ГОСТ 6552;

- калий двухромовокислый - ГОСТ 4220, раствор концентрации c(1/6K2Cr2O7)=0,1 моль/дм3 (0,1 н.); готовят из фиксанала или навески по ГОСТ 25794.2;

- дифениламиносульфонат натрия: 0,2 г дифениламиносульфоната натрия растворяют в 1 дм3 серной кислоты (1:4), выдержанной в течение суток. После этого добавляют 125 см3 ортофосфорной кислоты.

6.4.1.3 Проведение анализа

Навеску железного купороса массой 0,5 г растворяют в 100 см3 дистиллированной воды, прибавляют 20 см3 раствора дифениламиносульфоната натрия и титруют раствором двухромовокислого калия до появления темно-фиолетовой окраски, устойчивой в течение нескольких секунд.

6.4.1.4. Обработка результатов

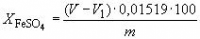
Массовую долю сульфата железа (II) (), %, вычисляют по формуле (1) где V - объем раствора двухромовокислого калия, израсходованный на титрование анализируемого раствора, см3;
V1 - объем раствора двухромовокислого калия, израсходованный на титрование раствора контрольного опыта, см3;

m - масса навески железного купороса, г;

0,01519 - масса сульфата железа (II), соответствующая 1 см3 раствора двухромовокислого калия молярной концентрации точно 0,1 моль/дм3, г.

За результат анализа принимают среднее арифметическое результатов двух параллельных определений, допускаемые расхождения между которыми (при доверительной вероятности 0,95) не превышают 0,5%.

6.4.2 Определение массовой доли сульфата железа (II) с применением марганцовокислого калия.

6.4.2.1 Сущность метода

Метод основан на титровании ионов двухвалентного железа раствором марганцовокислого калия.

6.4.2.2 Реактивы и растворы:

- кислота серная по ГОСТ 4204, разбавленная 1:4;

- Калий марганцовокислый - ГОСТ 20490, раствор концентрации c(1/5KMnO4)=0,1 моль/дм3 (0,1 н.); готовят из фиксанала или навески по ГОСТ 25794.2.

6.4.2.3 Проведение анализа

Навеску железного купороса массой 1 г растворяют в 50 см3 прокипяченной и охлажденной перед выполнением анализа воды, прибавляют 30 см3 раствора серной кислоты и титруют раствором марганцовокислого калия до розовой окраски, устойчивой в течение 0,5-1 мин.

6.4.2.4 Обработка результатов

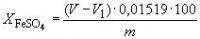
Массовую долю сульфата железа (II) (), %, вычисляют по формуле (2) где V - объем раствора марганцовокислого калия, израсходованный на титрование анализируемого раствора, см3;

V1 - объем раствора марганцовокислого калия, израсходованный на титрование раствора контрольного опыта, см3;

m - масса навески железного купороса, г.

0,01519 - масса сульфата железа (II), соответствующая 1 см3 раствора марганцовокислого калия молярной концентрации точно 0,1 моль/дм3, г.

За результат анализа принимают среднее арифметическое результатов двух параллельных определений, допускаемые расхождения между которыми (при доверительной вероятности P=0,95) не превышают 0,7%.

Допускается применение других методов определения массовой доли сульфата железа (II), обеспечивающих точность анализа, предусмотренную настоящим стандартом.

Метод с использованием двухромовокислого калия является арбитражным.

6.5 Определение массовой доли свободной серной кислоты (0,1-2%)

6.5.1 Сущность метода

Метод основан на реакции нейтрализации свободной серной кислоты раствором гидроксида натрия при наличии индикатора.

6.5.2 Реактивы и растворы:

- натрия гидроксид по ГОСТ 4328, раствор концентрации c(NaOH)=0,1 моль/дм3 (0,1 н.); готовят из фиксанала или навески по ГОСТ 25794.1;

- метиловый оранжевый (индикатор), водный раствор концентрации 0,001 г/см3 готовят по ГОСТ 4919.1.

6.5.3 Проведение анализа

Навеску железного купороса массой 20 г растворяют в 150 см3 прокипяченной и охлажденной непосредственно перед выполнением анализа воды, переливают в мерную колбу вместимостью 250 см3 и доводят объем до метки водой. Раствор фильтруют через обеззоленный фильтр "белая лента", отбрасывая первые порции фильтрата. В коническую колбу вместимостью 500 см3 берут аликвотный объем 100 см3 анализируемого раствора, добавляют 2-3 капли метилового оранжевого и титруют раствором гидроксида натрия до перехода окраски из розовой в желтую.

6.5.4 Обработка результатов

Массовую долю свободной серной кислоты (), %, вычисляют по формуле (3) где V - объем раствора гидроксида натрия, израсходованный на титрование анализируемого раствора, см3;
V1 - объем раствора гидроксида натрия, израсходованный на титрование раствора контрольного опыта, см3;

m - масса навески железного купороса, г;

0,0049 - масса серной кислоты, соответствующая 1 см3 раствора гидроксида натрия молярной концентрации точно 0,1 моль/дм3, г;

250 - исходный объем анализируемого раствора, см3;

100 - объем аликвотной части анализируемого раствора, взятый для титрования, см3.

За результат анализа принимают среднее арифметическое результатов двух параллельных определений, допускаемые расхождения между которыми (при доверительной вероятности P=0,95) не должны превышать значений, указанных в таблице 2.

Таблица 2

В процентах

Массовая доля свободной серной кислоты

Допускаемые расхождения

От 0,1 до 0,2

0,05

" 0,2 " 0,5

0,10

" 0,5 " 1,0

0,15

" 1,0 " 2,0

0,20

6.6 Определение массовой доли нерастворимых в воде веществ (0,1-2%)

6.6.1 Сущность метода

Метод основан на отделении нерастворимых в воде веществ и взвешивании их после высушивания.

6.6.2 Реактивы

Кислота серная по ГОСТ 4204, разбавленная 1:100.

6.6.3 Проведение анализа

Навеску железного купороса массой 10 г растворяют в 100 см3 воды, предварительно подкисленной 1 см3 серной кислоты. Фильтруют через обеззоленный фильтр "белая лента", предварительно высушенный при температуре (105±5) °С до постоянной массы. Промывают стакан и фильтр 8-10 раз серной кислотой, разбавленной 1:100, затем 8-10 раз водой. Фильтр с осадком сушат в сушильном шкафу при температуре (105±5) °С до постоянной массы.

6.6.4 Обработка результатов

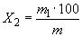
Массовую долю нерастворимых в воде веществ (X2), %, вычисляют по формуле (4) где m1 - масса высушенного осадка, г;
m - масса навески железного купороса, г.

За результат анализа принимают среднее арифметическое результатов двух параллельных определений, допускаемые расхождения между которыми (при доверительной вероятности P=0,95) не должны превышать значений, указанных в таблице 3.


Таблица 3

В процентах

Массовая доля нерастворимых в воде веществ

Допускаемые расхождения

От 0,1 до 0,2

0,04

" 0,2 " 0,5

0,08

" 0,5 " 1,0

0,10

" 1,0 " 2,0

0,20

6.7 Определение массовых долей сульфата железа (III), свинца, кадмия, ртути, фтора и мышьяка проводят по методикам, согласованным между предприятием-изготовителем и предприятием-потребителем.

7 УПАКОВКА, МАРКИРОВКА, ТРАНСПОРТИРОВАНИЕ И ХРАНЕНИЕ

7.1 Железный купорос упаковывают в полиэтиленовые мешки по ГОСТ 17811 или мягкие контейнеры разового использования типа МКР-1,0С или МКР-1,0М (с 15 апреля по 15 октября).

Масса каждого мешка - не более 50 кг, контейнера - не более 1000 кг.

На каждую упаковочную единицу должен быть приклеен бумажный ярлык с указанием:

- товарного знака или наименования предприятия-изготовителя и его товарного знака;

- наименования и сорта продукции;

- массы нетто;

- номера партии;

- даты изготовления;

- обозначения настоящего стандарта.

Продукт, упакованный в мешки, транспортируют в пакетах в соответствии с правилами перевозок грузов, действующими на данном виде транспорта.

Допускается по согласованию изготовителя с потребителем продукт, упакованный в мешки, транспортировать без пакетирования.

При пакетировании используют плоские поддоны. Габаритные размеры и масса брутто транспортного пакета должны соответствовать ГОСТ 24597. Средства скрепления грузов - по ГОСТ 21650.

Железный купорос транспортируют автомобильным или железнодорожным транспортом в соответствии с правилами перевозки грузов, действующими на транспорте данного вида.

Продукт, упакованный в мешки, транспортируют в крытых транспортных средствах; при перевозке по железной дороге - только прямым железнодорожным сообщением повагонными отправками.

Железный купорос, упакованный в контейнеры, транспортируют на открытом подвижном составе, в контейнерах типа МКР-1,0С - без перегрузок в пути следования.

По согласованию изготовителя с потребителем транспортирование железного купороса осуществляют насыпью в крытых транспортных средствах.

Норма влаги, безопасной в отношении смерзания железного купороса, при перевозке насыпью в крытых железнодорожных вагонах - не более 5,0%. Отправитель обеспечивает мероприятия по профилактике против смерзания железного купороса в соответствии с правилами перевозок по железной дороге.

Определение влаги железного купороса - в соответствии с приложением А.

7.2 Транспортная маркировка железного купороса - по ГОСТ 14192 с нанесением манипуляционного знака "Беречь от влаги".

Кроме того, на транспортную тару наносят следующие данные:

- товарный знак или наименование и товарный знак предприятия-изготовителя ;

- наименование и сорт продукции;

- дату изготовления;

- номер партии;

- обозначение настоящего стандарта.

7.3 Железный купорос хранят в крытых помещениях. Срок хранения не ограничен.

ПРИЛОЖЕНИЕ А (обязательное). ОПРЕДЕЛЕНИЕ МАССОВОЙ ДОЛИ ВЛАГИ ЖЕЛЕЗНОГО КУПОРОСА, БЕЗОПАСНОЙ В ОТНОШЕНИИ СМЕРЗАНИЯ (W(0))

ПРИЛОЖЕНИЕ А
(обязательное)

     
ОПРЕДЕЛЕНИЕ МАССОВОЙ ДОЛИ ВЛАГИ ЖЕЛЕЗНОГО КУПОРОСА, 
БЕЗОПАСНОЙ В ОТНОШЕНИИ СМЕРЗАНИЯ (W0)


Навеску железного купороса массой 1,0 г помещают в высушенный до постоянной массы и взвешенный стеклянный бюкс. Высушивают в сушильном шкафу при температуре 65-70 °С до постоянной массы (высушенный продукт представляет собой моногидрат сульфата железа (II) FeSO4·H2O).

Далее охлаждают в эксикаторе и взвешивают.

Массовую долю общей (свободной и химически связанной) влаги в продукте (W), %, вычисляют по формуле (А.1) где m1 - масса бюксы с навеской до высушивания, г;
m2 - масса бюксы с навеской после высушивания, г;

m - масса навески железного купороса, г.

За результат анализа принимают среднее арифметическое результатов двух параллельных определений, допускаемые расхождения между которыми (при доверительной вероятности P=0,95) не превышают 0,7%.

Массовую долю влаги (W0), %, безопасной в отношении смерзания железного купороса, вычисляют по формуле (A.2) где Wкр. - среднестатистическая критическая влага продукта (при которой продукт смерзается при температуре ниже 0 °С):

Wкр.=44%.





официальное издание
М.: ИПК Издательство стандартов, 1996