Серная кислота аккумуляторная ГОСТ 667-73
Серная кислота аккумуляторная. Технические условия (с Изменениями N 1, 2, 3) ГОСТ 667-73
ГОСТ 667-73
Группа Л12
ГОСУДАРСТВЕННЫЙ СТАНДАРТ СОЮЗА ССР
КИСЛОТА СЕРНАЯ АККУМУЛЯТОРНАЯ
Технические условия
Battery sulphuric acid.
Specifications
ОКП 21 2111
Срок действия с 01.01.75
до 01.01.95*
______________________________
* Ограничение срока действия снято
по протоколу N 4-93 Межгосударственного Совета
по стандартизации, метрологии и сертификации
(ИУС N 4, 1994 год). - Примечание изготовителя базы данных.
ИНФОРМАЦИОННЫЕ ДАННЫЕ
1. РАЗРАБОТАН И ВНЕСЕН Министерством по производству минеральных удобрений
РАЗРАБОТЧИКИ
В.Ф.Кармышов, П.М.Зайцев, А.Я.Сырченков, Ю.В.Филатов. Н.Г.Рокова, Е.И.Макарова, М.М.Шаров, А.А.Коршук, Н.С.Сквирская, А.В.Федосеева
2. УТВЕРЖДЕН И ВВЕДЕН В ДЕЙСТВИЕ Постановлением Государственного комитета стандартов Совета Министров СССР от 30.07.73 N 1864
3. ВЗАМЕН ГОСТ 667-53
4. ССЫЛОЧНЫЕ НОРМАТИВНО-ТЕХНИЧЕСКИЕ ДОКУМЕНТЫ
|
Обозначение НТД, на который дана ссылка |
Номер пункта, подпункта |
|
ГОСТ 8.234-77 |
3.3.1 |
|
ГОСТ 12.1.007-76 |
5.3 |
|
3.10.1 |
|
|
ГОСТ 127-76 |
2.1.2 |
|
ГОСТ 380-88 |
4.1; 4.6 |
|
3.8.1 |
|
|
ГОСТ 1770-74 |
3.2; 3.13.1 |
|
3.7.1 |
|
|
3.6.1; 3.7.1; 3.11.1 |
|
|
3.4.1; 3.10.1; 3.11.1 |
|
|
3.6.1 |
|
|
3.4.1; 3.6.1; 3.7.1; 3.10.1 |
|
|
ГОСТ 4212-76 |
3.4.1; 3.8.1 |
|
3.8.1 |
|
|
3.10.1 |
|
|
3.3.1; 3.7.1 |
|
|
3.8.1; 3.10.1; 3.11.1 |
|
|
3.4.1 |
|
|
ГОСТ 4517-87 |
3.2; 3.7.1; 3.10.1 |
|
ГОСТ 4919.1-77 |
3.3.1; 3.7.1 |
|
ГОСТ 5556-81 |
3.7.1 |
|
ГОСТ 5632-72 |
4.1 |
|
3.3.1 |
|
|
3.9.1 |
|
|
ГОСТ 6563-75 |
3.5.1a |
|
3.2 |
|
|
3.3.1 |
|
|
ГОСТ 7328-82 |
3.2 |
|
ГОСТ 9147-80 |
3.3.1; 3.5.1a |
|
3.11.1 |
|
|
ГОСТ 10354-82 |
4.1 |
|
ГОСТ 11293-78 |
3.11.1 |
|
ГОСТ 12026-76 |
3.2 |
|
ГОСТ 14192-77 |
4.2 |
|
3.6.1 |
|
|
ГОСТ 18481-81 |
3.3.1 |
|
ГОСТ 18573-86 |
4.1 |
|
ГОСТ 19433-88 |
2.1.1; 4.2 |
|
ГОСТ 19908-90 |
3.5.1a |
|
ГОСТ 20292-74 |
3.2; 3.3.1 |
|
3.9.1; 3.12.1 |
|
|
3.3.1 |
|
|
3.7.1 |
|
|
ГОСТ 24104-88 |
3.2 |
|
ГОСТ 25336-82 |
3.2; 3.3.1; 3.6.1 |
|
ГОСТ 25794.1-83 |
3.3.1 |
5. Срок действия продлен до 01.01.95 Постановлением Госстандарта СССР от 21.12.88 N 4382
6. ПЕРЕИЗДАНИЕ (октябрь 1991 г.) с Изменениями N 1, 2, 3, утвержденными в ноябре 1979 г., марте 1985 г., декабре 1988 г. (ИУС 1-80, 6-85, 4-89)
Настоящий стандарт распространяется на концентрированную аккумуляторную серную кислоту, предназначенную после разбавления ее дистиллированной водой в качестве электролита для заливки свинцовых аккумуляторов.
Формула H2SO4
Молекулярная масса (по международным атомным массам 1971 г.) - 98,08.
1. ТЕХНИЧЕСКИЕ ТРЕБОВАНИЯ
1.1. Аккумуляторная Серная кислота должна изготовляться в соответствии с требованиями настоящего стандарта по технологическому регламенту, утвержденному в установленном порядке.
1.2. По физико-химическим показателям аккумуляторная Серная кислота должна соответствовать нормам, указанным в таблице.
Примечание. По согласованию с потребителем для предприятий, работающих на колчедане и выпускающих продукт 1-го сорта, допускается массовая доля мышьяка не более 0,0001%.
(Измененная редакция, Изм. N 2, 3).
2. ПРАВИЛА ПРИЕМКИ
2.1. Аккумуляторная Серная кислота должна поставляться партиями. Партией считают количество однородного по своим качественным показателям продукта, направляемое в один адрес и сопровождаемое одним документом о качестве. При отгрузке продукта в цистернах или контейнерах каждую цистерну, контейнер считают за партию. Масса партии для розничной торговли - не более 10 т.
(Измененная редакция, Изм. N 2).
2.1.1. Документ о качестве продукта должен содержать:
наименование предприятия-изготовителя или его товарный знак;
наименование продукта, сорт;
номер партии;
массу нетто;
дату отгрузки;
обозначение настоящего стандарта;
штамп технического контроля;
результаты анализа или подтверждение о соответствии продукта требованиям настоящего стандарта;
подтверждение о нанесении на упаковку знака опасности по ГОСТ 19433-88.
2.1.2. На предприятиях-изготовителях, работающих на природной и газовой сере по ГОСТ 127-76, массовую долю мышьяка, хлористых соединений и меди не определяют.
Определение массовой доли суммы тяжелых металлов в пересчете на свинец изготовитель проводит не реже одного раза в месяц.
2.1.1-2.1.2. (Измененная редакция, Изм. N 3).
2.2. Для контроля качества аккумуляторной серной кислоты пробы отбирают от каждой цистерны, контейнера, резервуара или от 5% бутылей, но не менее чем от трех при малых партиях (менее 60 бутылей).
Допускается результаты анализа качества серной кислоты, находящейся в предварительно проверенной емкости на складе изготовителя, распространять на все формируемые из нее партии.
(Измененная редакция, Изм. N 3).
2.3. При получении неудовлетворительных результатов анализа хотя бы по одному из показателей проводят повторный анализ от удвоенного количества проб или единиц продукции, взятых от той же партии. Результаты повторного анализа являются окончательными и распространяются на всю партию.
3. МЕТОДЫ АНАЛИЗА
3.1. Отбор проб
Точечные пробы из каждой цистерны, контейнера, резервуара отбирают пробоотборником из нержавеющей стали 10X17H13М2Т (черт.1) или другого кислотостойкого материала, не ухудшающего качества отбираемой серной кислоты, прикрепленным к цепи или тросику, изготовленным из кислотостойкой стали, медленно погружая его до дна.
Черт.1. Пробоотборник из нержавеющей стали
Пробоотборник из нержавеющей стали
Крышку трубы и дно скреплять сваркой
Черт.1
Точечные пробы из бутылей отбирают стеклянной трубкой (с резиновой грушей), достающей до дна бутыли.
Объем точечной пробы - не менее 0,5 дм3; из бутылей - не менее 0,1 дм3.
Отобранные точечные пробы сливают в закрывающуюся емкость из нержавеющей стали или другого кислотостойкого материала, не ухудшающего качества серной кислоты. Полученную пробу тщательно перемешивают стеклянной палочкой и отбирают среднюю пробу объемом не менее 0,5 дм3 в сухую склянку вместимостыю 0,5-1,0 дм3 с притертой стеклянной пробкой.
На склянку наклеивают этикетку с обозначением:
наименования продукта,
номера партии,
даты отбора пробы.
Допускается нанесение их непосредственно на склянку.
3.2. Общие требования
При проведении анализов применяют:
реактивы квалификации не ниже "ч.д.а.";
воду дистиллированную по ГОСТ 6709-72-->ГОСТ 6709-72, нейтрализованную по метиловому красному;
воду дистиллированную, не содержащую углекислоты, готовят по ГОСТ 4517-87;
посуду и оборудование лабораторные стеклянные по ГОСТ 25336-82;
цилиндры, мензурки, колбы мерные (2-го класса точности) по ГОСТ 1770-74;
бюретки, пипетки по ГОСТ 20292-74, 2-го класса точности;
допускается использование стеклянных мер вместимости аналогичного типа;
весы лабораторные общего назначения по ГОСТ 24104-88 2-го класса точности с наибольшим пределом взвешивания 200 г и 4-го класса точности с наибольшим пределом взвешивания 500 г;
набор гирь по ГОСТ 7328-82;
фотоколориметр типа ФЭК-56 М, КФК-2 или другого типа, обеспечивающий заданную чувствительность и точность;
термометр типа П-4 t=(0-100) °С или другой аналогичный термометр;
бумага фильтровальная по ГОСТ 12026-76 или аналогичная;
бумага универсальная индикаторная для определения pH раствора.
(Измененная редакция, Изм. N 3).
3.3. Определение массовой доли моногидрата
Метод основан на титровании пробы серной кислоты раствором гидроокиси натрия в присутствии индикатора метилового красного.
(Измененная редакция, Изм. N 3).
3.3.1. Реактивы, растворы, посуда, аппаратура:
кислота янтарная по ГОСТ 6341-75;
кислота щавелевая по ГОСТ 22180-76;
фенолфталеин, раствор с массовой долей 1%, готовят по ГОСТ 4919.1-77;
метиловый красный, спиртовой раствор с массовой долей 1%, готовят по ГОСТ 4919.1-77;
поглотитель химический известковый ХП-И по ГОСТ 6755-88, аскарид или другой поглотитель, обеспечивающий защиту от двуокиси углерода.
Натрия гидроокись по ГОСТ 4328-77, раствор концентрации c(NaOH)=0,5 моль/дм3 (0,5 н.), готовят следующим образом: по ГОСТ 25794.1-83 готовят раствор с массовой долей гидроокиси натрия 50%. Прозрачный раствор сливают сифоном и определяют его концентрацию с помощью ареометра.
Затем вычисляют необходимое количество полученного раствора для приготовления 1 дм3 0,5 моль/дм3 раствора. Концентрированный раствор гидроокиси натрия в количестве, найденном расчетом, медленно, по стенкам, во избежание сильного разбрызгивания, наливают в колбу из термостойкого стекла в воду, прокипяченную в течение 15 мин. Колбу закрывают пробкой, снабженной U-образной трубкой, заполненной известковым химическим поглотителем, и охлаждают;
бюретка 4-2-50 или 3-2-50-0,1 по ГОСТ 20292-74 должна быть поверена по ГОСТ 8.234-77 с интервалом 5 см3;
сушильный электрошкаф типа СНОЛ-2,5 2,5 2,5/2,5 или аналогичный;
ареометр АОН-1 1480-1540 по ГОСТ 18481-81 или аналогичный;
эксикатор по ГОСТ 25336-82;
видоизмененная пипетка Лунге-Рея, стаканчик для взвешивания или стеклянная ампула вместимостью (2-3) см3 с длинным капилляром;
воронка Бюхнера по ГОСТ 9147-80;
колба с тубусом по ГОСТ 25336-82;
чашка ЧБН-2 по ГОСТ 25336-82 (чашка Петри) пли стаканчик СН-85/15 по ГОСТ 25336-82;
газовая горелка для запаивания ампул или спиртовка по ГОСТ 25336-82.
(Измененная редакция, Изм. N 2, 3).
3.3.1a. Подготовка к анализу
Коэффициент поправки раствора гидроокиси натрия определяют по навеске перекристаллизованных янтарной или щавелевой кислот. Перекристаллизацию янтарной кислоты проводят следующим образом: 100 г янтарной кислоты взвешивают с точностью до первого десятичного знака и растворяют при кипячении в 170 см3 воды. Горячий раствор быстро фильтруют на стеклянной воронке с обрезанным носиком через фильтровальную бумагу и охлаждают при непрерывном перемешивании. Выделившиеся кристаллы отфильтровывают на воронке Бюхнера и повторно перекристаллизовывают, растворяя при кипячении в 140 см3 воды. Полученные кристаллы янтарной кислоты высушивают в сушильном шкафу при температуре (100,0±2,5) °С до постоянной массы. Препарат используют свежеприготовленным. Перекристаллизацию щавелевой кислоты проводят следующим образом: 50 г щавелевой кислоты взвешивают с точностью до первого десятичного знака и растворяют при кипячении в 85 см3 воды. Горячий раствор быстро фильтруют на воронке с обрезанным носиком через фильтровальную бумагу и охлаждают, непрерывно перемешивая. Выделившиеся кристаллы отфильтровывают на воронке Бюхнера и повторяют перекристаллизацию, растворяя при кипячении в 70 см3 воды. Затем раствор охлаждают, непрерывно перемешивая. Выделившиеся кристаллы отфильтровывают на воронке Бюхнера, отжимают между листами фильтровальной бумаги и высушивают на воздухе в течение 30 мин (кристаллы не должны прилипать к стеклянной палочке). Кристаллы щавелевой кислоты переносят, рассыпая тонким слоем, в чашку Петри или стаканчик для взвешивания, помещают в сушильный шкаф и выдерживают при температуре (100,0±2,5) °С в течение 3 часов, периодически перемешивая. Далее чашку Петри или стаканчик с кристаллами щавелевой кислоты помещают в эксикатор с дистиллированной водой, где выдерживают не менее 2-х суток. Крышка эксикатора должна быть закрыта негерметично (между крышкой и эксикатором прокладывают фильтровальную бумагу толщиной в 2-4 сложения). Полученные кристаллы дигидрата щавелевой кислоты хранят в стеклянной банке с притертой пробкой. Препарат устойчив в течение месяца.
1 г янтарной или щавелевой кислоты взвешивают, результат взвешивания в граммах записывают с точностью до четвертого десятичного знака и растворяют при нагревании до кипения в 50 см3 воды, не содержащей углекислоты.
Раствор титруют в горячем состоянии гидроокисью натрия в присутствии фенолфталеина до неисчезающего в течение 50-60 с розового окрашивания.
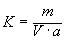
Поправочный коэффициент (K) 0,5 моль/дм3 раствора гидроокиси натрия вычисляют по формуле
где m - масса навески установочного вещества, г;
V - объем раствора гидроокиси натрия, израсходованного на титрование, см3;
a - масса установочного вещества, соответствующая 1 см3 точно 0,5 моль/дм3 раствора гидроокиси натрия, г.
Для янтарной кислоты a=0,02952 г, для щавелевой a=0,03152 г.
Поправочный коэффициент рассчитывают как среднее арифметическое результатов трех параллельных определений, допускаемое расхождение между которыми не должно превышать 0,0010 при доверительной вероятности P=0,95.
В случае возникновения разногласий при определении массовой доли моногидрата определение поправочного коэффициента гидроокиси натрия проводят по щавелевой кислоте.
(Измененная редакция, Изм. N 3).
3.3.2. Проведение анализа
Навеску пробы серной кислоты массой 0,7-1,0 г взвешивают в видоизмененной пипетке Лунге-Рея, в бюксе, ампуле или в стаканчике, результат взвешивания в граммах записывают с точностью до четвертого десятичного знака, переносят в коническую колбу вместимостью 250 см3, в которую предварительно налито 50 см3 воды, нейтрализованной по метиловому красному, и титруют раствором гидроокиси натрия в присутствии метилового красного до перехода красной окраски раствора в желтую.
3.3.3. Массовую долю моногидрата в процентах (X) вычисляют по формуле
где V - объем 0,5 моль/дм3 раствора гидроокиси натрия, израсходованный на титрование, см3;
0,02452 - масса серной кислоты, соответствующая 1 см3 точно 0,5 моль/дм3 раствора гидроокиси натрия, г;
m - масса навески анализируемой кислоты, г;
K - коэффициент поправки 0,5 моль/дм3 раствора гидроокиси натрия.
За результат анализа принимают среднее арифметическое результатов двух параллельных определений, допускаемое расхождение между которыми не должно превышать 0,4% при доверительной вероятности P=0,95.
3.3.2; 3.3.3.( Измененная редакция, Изм. N 2, 3).
3.4. Определение массовой доли железа
Метод основан на образовании ионами железа I и III в аммиачной среде с сульфосалициловой кислотой комплексов, окрашенных в желтый цвет и имеющих одинаковый коэффициент поглощения.
(Измененная редакция, Изм. N 3).
3.4.1. Реактивы и растворы:
кислота сульфосалициловая по ГОСТ 4478-78, раствор с массовой долей 30%;
кислота серная по ГОСТ 4204-77; (1/2H2SO4)=0,1* моль/дм3 (0,1 н. раствор);
______________
* Формула соответствует оригиналу. - Примечание изготовителя базы данных.
квасцы железоаммонийные;
аммиак водный по ГОСТ 3760-79, раствор с массовой долей 10%;
раствор железа, содержащий 1 мг Fe3+ в 1 см3; готовят по ГОСТ 4212-76 (раствор А).
25 см3 раствора А помещают в мерную колбу вместимостью 1 дм3, доводят объем раствора до метки раствором серной кислоты и перемешивают (раствор Б); 1 см3 раствора Б содержит 0,025 мг Fe3+ (раствор готовят в день его применения).
(Измененная редакция, Изм. N 2,3).
3.4.2. Построение градуировочного графика
Для построения градуировочного графика готовят образцовые растворы. В мерные колбы вместимостью 100 см3 вносят бюреткой 1; 2; 4; 6; 8 и 10 см3 раствора Б, что соответствует содержанию в них 0,025; 0,050; 0,100; 0,150; 0,200 и 0,250 мг железа.
Затем приливают в каждую колбу по 2 см3 раствора сульфосалициловой кислоты и 15 см3 аммиака. Объем раствора в каждой колбе доводят до метки водой и перемешивают. Оптическую плотность полученных образцовых растворов измеряют в фотоколориметре при длине волны 440 нм (синий светофильтр) в кюветах с толщиной поглощающего свет слоя 20 мм, используя в качестве раствора сравнения раствор, содержащий все реактивы, кроме раствора Б. По данным значений оптических плотностей строят градуировочный график, откладывая по оси абсцисс содержащиеся в образцовых растворах количества железа в миллиграммах, а по оси ординат - соответствующие им значения оптических плотностей.
При переходе к работе с новыми реактивами градуировочный график необходимо проверить.
(Измененная редакция, Изм. N 3).
3.4.3. Проведение анализа
В мерную колбу вместимостью 100 см3 наливают 50 см3 воды и вносят 10 см3 анализируемой кислоты. По охлаждении объем раствора доводят до метки водой и перемешивают. 10 см3 полученного раствора переносят в мерную колбу вместимостью 100 см3, приливают 2 см3 раствора сульфосалициловой кислоты и 15-20 см3 раствора аммиака (аммиак должен быть в избытке, поэтому количество его можно увеличить до явного запаха).
Раствор перемешивают, охлаждают до комнатной температуры, доводят водой до метки и перемешивают. Затем проводят измерения на фотоэлектроколориметре, как указано при построении градуировочного графика.
3.4.4. Обработка результатов
Массовую долю железа (X1) в процентах вычисляют по формуле
где m - масса железа, найденная по градуировочному графику, мг;
p - плотность анализируемой кислоты, г/см3.
За результат анализа принимают среднее арифметическое двух параллельных определений, допускаемые расхождения между которыми не должны превышать 0,001% при доверительной вероятности P=0,95.
(Измененная редакция, Изм. N 2, 3).
3.5. Определение массовой доли остатка прокаливания
Метод основан на выпаривании пробы серной кислоты и прокаливании остатка при температуре от 800 до 850 °С до постоянной массы.
(Измененная редакция, Изм. N 3).
3.5.1a. Аппаратура
Электропечь камерная для аналитических работ типа СНОЛ-1,6.2,5.1/11,0 или аналогичная.
Чашка выпарительная по ГОСТ 9147-80 или чашка из прозрачного кварцевого стекла по ГОСТ 19908-90, или чашка плоскодонная платиновая по ГОСТ 6563-75.
(Измененная редакция, Изм. N 3).
3.5.1. Проведение анализа
Перед определением пробу анализируемой кислоты тщательно перемешивают. В предварительно прокаленную и взвешенную (результат записывают с точностью до четвертого десятичного знака) фарфоровую, кварцевую или платиновую чашку помещают около 10 г (5-6 см3) анализируемой кислоты и взвешивают, результат записывают с точностью до второго десятичного знака. Затем чашку с содержимым ставят на песчаную баню и кислоту упаривают до образования сухого остатка, который прокаливают в муфельной печи в течение 30 мин при (800-850) °С, охлаждают в эксикаторе и взвешивают, результат записывают с точностью до четвертого десятичного знака.
(Измененная редакция, Изм. N 2, 3).
3.5.2. Обработка результатов
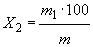
Массовую долю прокаленного остатка (X2) в процентах вычисляют по формуле
где m - масса навески серной кислоты, г;
m1 - масса прокаленного остатка, г.
За результат анализа принимают среднее арифметическое двух параллельных определений, допускаемые расхождения между которыми не должны превышать 0,007% при доверительной вероятности P=0,95.
(Измененная редакция, Изм. N 2, 3).
3.6. Определение массовой доли окислов азота
Метод основан на взаимодействии окислов азота с сульфаниламидом и получении азосоединения, образующего с гидробромидом N-этил-1-нафтиламином азокраситель малинового цвета, интенсивность окраски которого пропорциональна содержанию окислов азота.
3.6.1. Реактивы, растворы и средства измерения:
кислота соляная по ГОСТ 3118-77, раствор, разбавленный 1:1;
кислота серная по ГОСТ 4204-77;
сульфаниламид (стрептоцид белый, медицинский, порошок), раствор с массовой долей 0,2%, хранят в темном месте;
спирт этиловый ректификованный технический по ГОСТ 18300-87;
N-этил-1-нафтиламин гидробромид, спиртовый раствор с массовой долей 0,3% хранят в темном месте;
Натрий азотистокислый по ГОСТ 4197-74, раствор, содержащий 0,1 мг окислов азота (N2O3) в 1 см3 (раствор А), готовят следующим образом: в мерной колбе вместимостью 1 дм3 растворяют в воде 0,1816 г азотистокислого натрия, доводят объем раствора водой до метки и тщательно перемешивают;
10 см3 раствора А разбавляют водой до объема 1 дм3 и тщательно перемешивают (раствор Б); 1 см3 раствора Б содержит 0,001 мг оксилов* азота. Раствор Б готовят в день его применения;
_________________
* Текст соответствует оригиналу. - Примечание изготовителя базы данных.
фосфорный ангидрид или фосфор (У) окись;
асбестовая вата или пемза;
склянка Дрекселя по ГОСТ 25336-82;
газовый счетчик барабанный ГСБ-400 или электроаспиратор ЭА-30 или любой другой аналогичного типа;
U-образная трубка по ГОСТ 25336-82.
3.6.2. Построение градуировочного графика
В мерные колбы вместимостью 2,5 см3 помещают 5 см3 воды, 1 см3 раствора соляной кислоты, 5 см3 раствора сульфаниламида, 1 см3 раствора N-этил-1-нафтиламина гидробромида и микробюреткой приливают 0,1; 0,2; 0,4; 0,6; 0,8 см3 раствора Б, что соответствует содержанию 0,1; 0,2; 0,4; 0,6; 0,8 мкг окислов азота. Содержимое колб доливают до метки водой, тщательно перемешивают и оставляют стоять 45 мин до полного развития окраски. Оптическую плотность полученных растворов относительно "холостой" пробы измеряют на фотоколориметре со светофильтром N 5 при
490 нм в кювете с толщиной поглощающего свет слоя 50 мм.
"Холостую" пробу готовят в мерной колбе вместимостью 50 см3, добавляя все реактивы в двойном количестве, кроме раствора Б.
По полученным данным строят градуировочный график, откладывая по оси абсцисс массу окислов азота в микрограммах, а по оси ординат - соответствующие им оптические плотности.
3.6.3. Проведение анализа
Перед проведением анализа из пробы серной кислоты отдувают двуокись серы следующим образом: 50-70 см3 анализируемой серной кислоты помещают в чистую сухую склянку Дрекселя и продувают в течение 30 мин воздухом со скоростью 0,5 дм3/мин, который предварительно пропускают через два поглотителя: склянку Дрекселя, заполненную серной кислотой и U-образную трубку со смесью пятиокиси фосфора с асбестом или кусочками пемзы.
В мерную колбу вместимостью 500 см3 помещают приблизительно 400 см3 воды и при помощи пипетки, погружая конец ее в воду, вносят в колбу 10 см3 анализируемой кислоты, быстро охлаждают, объем раствора доводят водой до метки и тщательно перемешивают.
В мерную колбу вместимостью 25 см3 помещают все реактивы (п.3.6.2) и вносят 10 см3 приготовленного раствора анализируемой кислоты. Содержимое колбы доливают до метки водой, тщательно перемешивают и оставляют стоять 45 мин до полного развития окраски, после чего фотометрируют относительно "холостой" пробы, как описано в п.3.6.2.
Допускается визуальное сравнение окраски анализируемого раствора со шкалой стандартов.
3.6.4. Обработка результатов
Массовую долю окислов азота (X3) в процентах вычисляют по формуле
где m - масса окислов азота, найденная по градуировочному графику, мкг;
p - плотность анализируемой кислоты, г/см3.
За результат анализа принимают среднее арифметическое результатов двух параллельных определений, допускаемое расхождение между которыми не должно превышать 0,00001% при доверительной вероятности P=0,95.
Примечание. Если анализируется Серная кислота, полученная из серы по "короткой схеме", то отдувка двуокиси серы не требуется.
При разногласиях в оценке массовой доли окислов азота анализ проводят фотоколориметрическим методом.
3.6.1-3.6.4 (Измененная редакция, Изм. N 3).
3.7. Определение массовой доли мышьяка
Метод основан на восстановлении соединений мышьяка (V и III) до мышьяковистого водорода, который улавливают бумагой, пропитанной раствором бромида или хлорида ртути. Образующееся комплексное соединение окрашивает бумагу в желто-коричневый цвет, интенсивность которого зависит от содержания мышьяка.
(Измененная редакция, Изм. N 3).
3.7.1. Реактивы и растворы:
кислота соляная по ГОСТ 3118-77;
кислота серная по ГОСТ 4204-77; концентрированный и раствор с массовой долей 10%;
натрия гидроокись по ГОСТ 4328-77, раствор с массовой долей 25%;
цинк гранулированный;
Свинец уксуснокислый раствор с массовой долей 5%;
метиловый красный (индикатор); готовят по ГОСТ 4919.1-77;
вата гигроскопическая по ГОСТ 5556-81;
парафины нефтяные по ГОСТ 23683-89 или парафины для лабораторных целей;
бумага бромнортутная или хлорнортутная; готовят по ГОСТ 4517-87;
олово двухлористое, раствор; готовят следующим образом: 25 г двухлористого олова растворяют в 20 см3 соляной кислоты при нагревании на водяной бане и разбавляют водой до 200 см3;
ангидрид мышьяковистый по ГОСТ 1973-77; раствор мышьяка, содержащий 0,001 мг As в 1 см3 (раствор А); готовят следующим образом: 0,1320 г мышьяковистого ангидрида взвешивают, результат записывают с точностью до четвертого десятичного знака, переносят в стакан, растворяют в 25 см3 раствора гидроокиси натрия и нейтрализуют 10%-ным раствором серной кислоты в присутствии метилового красного. Раствор количественно переносят в мерную колбу вместимостью 1 дм3 добавляют 10 см3 концентрированной серной кислоты, перемешивают и добавляют воду до метки. 10 см3 полученного раствора переносят в мерную колбу вместимостью 1 дм3, добавляют до метки и перемешивают.
(Измененная редакция, Изм. N 2, 3).
3.7.2. Приготовление шкалы окрасок
Для приготовления шкалы окрасок используют прибор (см. черт.2), состоящий из склянки, в которую на резиновой пробке вставлена стеклянная трубка с отрезанной верхней частью.
Черт.2. Прибор для приготовления шкалы окрасок
1 - склянка;
2 - резиновая пробка; 3 - стеклянная трубка
Черт.2
В нижнюю часть трубки помещают тампон из ваты, предварительно смоченной раствором уксуснокислого свинца и отжатый почти досуха. Поверх этого тампона кладется еще небольшой кусочек сухой ваты, пропитанный раствором уксуснокислого свинца.
На верхний срез трубки помещают квадрат бромнортутной бумаги и прижимают его отрезанной частью трубки с помощью резинок, одеваемых на стеклянные крючки. Края трубок должны быть отшлифованы.
В склянки приборов, на которые на уровне 60 см3 нанесены метки, наливают 3; 5; 7; 9 и 10 см3 раствора А, что соответствует содержанию в них 0,003; 0,005; 0,007; 0,009; и 0,010 мг мышьяка.
Во все склянки наливают по 5 см3 концентрированной серной кислоты и 1 см3 раствора двухлористого олова. Объемы растворов доводят водой до метки, опускают в банки по 5-6 г гранулированного цинка и быстро закрывают пробками, в которые вставлены заранее приготовленные трубки.
Через 1-1,5 ч снимают квадраты бромнортутной бумаги и погружают их в расплавленный парафин.
Шкалу хранят в темном месте в течение трех месяцев.
3.7.3 Проведение анализа
В склянку прибора наливают 10 см3 воды, 5 см3 анализируемой кислоты, 1 см3 двухлористого олова, доводят объем раствора в склянке до метки водой. Затем опускают 5-6 г гранулированного цинка и быстро закрывают пробкой, в которую вставлена трубка с бромнортутной бумажкой.
Через 1-1,5 ч снимают окрашенный квадрат бромнортутной бумаги, погружают его в расплавленный парафин и по охлаждении сравнивают со шкалой окрасок.
3.7.4. Обработка результатов
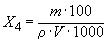
Массовую долю мышьяка (X4) в процентах вычисляют по формуле
где m - масса мышьяка, найденная по шкале окрасок, мг;
p - плотность анализируемой кислоты, г/см3;
V - объем кислоты, взятый для анализа, см3.
За результат анализа принимают среднее арифметическое двух параллельных определений, допускаемые расхождения между которыми не должны превышать 0,00001% при доверительной вероятности P=0,95.
(Измененная редакция, Изм. N 2).
3.8. Определение массовой доли хлористых соединений
Метод основан на визуальном определении соединений хлора в виде хлористого серебра, при сравнении интенсивности помутнения раствора анализируемой кислоты со шкалой стандартов.
(Измененная редакция, Изм. N 3).
3.8.1. Реактивы и растворы:
кислота азотная по ГОСТ 4461-77, разбавленная 1:10;
Натрий хлористый по ГОСТ 4233-77;
Серебро азотнокислое по ГОСТ 1277-75, раствора c(AgNO3)=0,1 моль/дм3 (0,1 н. раствор);
раствор, содержащий 1 мг Сl в 1 см3, готовят по ГОСТ 4212-76 (раствор А);
10 см3 раствора А помещают в мерную колбу вместимостью 1 дм3, доводят объем раствора водой до метки, тщательно перемешивают (раствор Б). 1 см3 раствора Б содержит 0,01 мг Сl (раствор готовят в день его применения).
(Измененная редакция, Изм. N 2, 3).
3.8.2. Приготовление растворов сравнения
В цилиндры с притертыми пробками вместимостью 100 см3 наливают по 50 см3 воды и при помощи бюретки 2; 4; 6; 8 и 10 см3 раствора Б, что соответствует содержанию в них 0,02; 0,04; 0,06; 0,08 и 0,10 мг хлора.
К растворам прибавляют по 2 см3 азотной кислоты и по 2 см3 раствора азотнокислого серебра. Объемы растворов доводят водой до 100 см3 и перемешивают. Растворы сравнения готовят одновременно с анализируемым раствором.
3.8.3. Проведение анализа
Проводят качественную пробу на содержание в кислоте хлор-иона. Для этого в цилиндр вместимостью 100 см3 вливают 50 см3 воды, 2 см3 раствора азотной кислоты, 2 см3 раствора азотнокислого серебра и 10 см3 анализируемой кислоты. Полученный раствор на 15 мин оставляют в покое и наблюдают, остается ли раствор прозрачным или образовалось помутнение от наличия в кислоте ионов хлора. В последнем случае готовят растворы сравнения, как изложено в п.3.8.2. В цилиндр с притертой пробкой вместимостью 100 см3 вливают 50 см3 воды и пипеткой вносят 10 см3 анализируемой кислоты. Раствор охлаждают и приливают к нему 2 см3 раствора азотной кислоты и 2 см3 раствора азотнокислого серебра. Объем раствора доводят водой до 100 см3, оставляют в течение 15 мин в покое и сравнивают интенсивности помутнения анализируемого раствора и растворов сравнения.
3.8.4. Обработка результатов
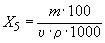
Массовую долю хлористых соединений (X5) в процентах вычисляют то формуле
где m - масса хлора в растворе сравнения, интенсивность помутнения которой совпала с интенсивностью помутнения анализируемого раствора, мг;
v - объем анализируемой кислоты, взятый для анализа, см3;
p - плотность кислоты, г/см3.
За результат анализа принимают среднее арифметическое двух параллельных определений, допускаемые расхождения между которыми не должны превышать 0,0001% при доверительной вероятности P=0,95.
(Измененная редакция, Изм. N 2, 3).
3.9. Определение массовой доли марганца
Метод основан на окислении марганца йоднокислым калием до марганцовой кислоты, интенсивность окраски которой сравнивают визуально с окраской стандартных растворов.
(Измененная редакция, Изм. N 3).
3.9.1. Реактивы и растворы:
кислота ортофосфорная по ГОСТ 6552-80;
Калий йоднокислый;
Калий марганцовокислый по ГОСТ 20490-75; х.ч., раствор готовят следующим образом: 2,8760 г марганцовокислого калия помещают в мерную колбу вместимостью 1 дм3, растворяют в воде и объем раствора доводят водой до метки (раствор А), 1 см3 раствора А разбавляют водой в мерной колбе до 100 см3 (раствор Б). 1 см3 раствора Б содержит 0,01 мг марганца. Раствор Б готовится перед его применением.
3.9.2. Проведение анализа
В стакан вместимостью 300 см3 наливают 75 cм3 вoды, 20 см3 анализируемой кислоты, 5 см3 фосфорной кислоты и добавляют 0,5 г йоднокислого калия. Раствор кипятят в течение 5 мин и после охлаждения переносят в цилиндр для колориметрирования.
Кислота соответствует требованиям настоящего стандарта, если окраска анализируемого раствора окажется не интенсивнее окраски образцового раствора, приготовленного в тех же условиях и содержащего в том же объеме: для продукции высшего сорта - 0,02 мг Mn, для первого сорта - 0,04 мг Mn, 5 см3 фосфорной кислоты и 0,5 г йоднокислого калия.
3.9.1; 3.9.2. (Измененная редакция, Изм. N 2, 3).
3.10. Определение массовой доли суммы тяжелых металлов в пересчете на свинец
Метод основан на взаимодействии катионов тяжелых металлов с сероводородом в уксуснокислой среде с образованием окрашенных сульфидов, интенсивность окраски которых сравнивают визуально с окраской стандартного раствора.
(Измененная редакция, Изм. N 3).
3.10.1. Реактивы и растворы:
кислота уксусная по ГОСТ 61-75, разбавленная 1:1;
кислота серная по ГОСТ 4204-77;
Вода сероводородная; готовят по ГОСТ 4517-87;
аммиак водный по ГОСТ 3760-79;
кислота азотная по ГОСТ 4461-77;
бумага индикаторная универсальная;
Свинец азотнокислый по ГОСТ 4236-77, раствор; готовят следующим образом: 1,6000 г азотнокислого свинца растворяют в небольшом объеме воды (50 см3), содержащей 1 см3 концентрированной азотной кислоты; переносят раствор в мерную колбу вместимостью 1 дм3, доводят объем раствора водой до метки (раствор А), 1 см3 раствора А содержит 1 мг Pb.
25 см3 раствора А переносят в мерную колбу вместимостью 250 см3, прибавляют 1-2 капли азотной кислоты и доводят объем раствора водой до метки (раствор Б). 1 см3 раствора Б содержит 0,1 мг Pb.
(Измененная редакция, Изм. N 2, 3).
3.10.2. Проведение анализа
2 см3 анализируемой кислоты (3,7 г) помещают в колориметрический цилиндр на 50 см3, куда предварительно налито 15-20 см3 воды. Раствор охлаждают и нейтрализуют раствором аммиака до слабо щелочной реакции по универсальной индикаторной бумаге, охлаждают. Затем приливают 2 см3 раствора уксусной кислоты, доводят объем раствора водой до 50 см3 и приливают 5 см3 сероводородной воды.
Кислоту считают соответствующей требованиям настоящего стандарта, если появившаяся окраска не будет интенсивнее окраски раствора, содержащего в том же объеме 2 см3 реактивной кислоты, нейтрализованной аммиаком, 2 см3 уксусной кислоты, 5 см3 сероводородной воды и 3,7 см3 раствора Б.
(Измененная редакция, Изм. N3).
3.11. Определение массовой доли меди
Метод основан на полярографическом определении меди на ртутном капельном электроде в хлористо-аммиачном растворе по высоте волны E1/2 от минус 0,25 до минус 0,35 В относительно донной ртути. Мешающие определению соли железа удаляют в виде гидроокиси железа осаждением аммиаком.
(Измененная редакция, Изм. N 3).
3.11.1. Реактивы, растворы и средства измерения:
кислота соляная по ГОСТ 3118-77, концентрированная и разбавленная 1:1;
аммиак водный по ГОСТ 3760-79;
Натрий сернистокислый (сульфит натрия) кристаллический;
желатин пищевой по ГОСТ 11293-78, 0,5%-ный раствор;
азот газообразный и жидкий технический по ГОСТ 9293-74;
кислота азотная по ГОСТ 4461-77;
бумага индикаторная универсальная;
полярографы типа ЛП-7, ОП-102 или ППТ-1;
медь электролитная, раствор; готовят следующим образом: 1,0000 г меди помещают в коническую колбу вместимостью 250 см3 и приливают 20 см3 азотной кислоты. Раствор упаривают до объема 2-3 см3, приливают 10 см3 концентрированной соляной кислоты и вновь упаривают до объема 2-3 см3. Упаривание с 10 см3 соляной кислоты повторяют еще два раза. По охлаждении к остатку приливают 150 см3 концентрированной соляной кислоты, переносят раствор в мерную колбу вместимостью 1 дм3, доводят объем до метки водой и тщательно перемешивают (раствор А). 1 см3 раствора А содержит 1 мг меди.
5 см3 раствора А переносят в мерную колбу вместимостью 500 см3, приливают 10 см3 концентрированной соляной кислоты и доливают водой до метки (раствор Б). Раствор Б содержит в 1 см3 0,01 мг меди.
(Измененная редакция, Изм. N2, 3).
3.11.2. Построение градуировочного графика
В термостойкие стаканы вместимостью 50 см3 микробюреткой вносят 1; 2; 4; 6; 8 см3 раствора Б, что соответствует 0,01; 0,02; 0,04; 0,06; 0,08 мг меди, упаривают досуха. Охлажденный остаток растворяют при нагревании в 3 см3 соляной кислоты, разбавленной 1:1. Нейтрализуют аммиаком до pH 9 (по универсальной индикаторной бумаге). Объем жидкости доводят до 15 см3, вносят четыре капли раствора желатины, 0,3 г сульфита натрия и перемешивают палочкой. Вместо добавления сульфита натрия для удаления растворенного кислорода можно применять продувку раствора азотом в течение 10-15 мин.
Полярографируют в интервале потенциалов минус 0,2 - минус 0,7 В по отношению к донной ртути при чувствительности гальванометра, подбираемой из расчета, чтобы высота волны находилась в пределах 10-30 мм. Для каждого значения концентрации меди снимают при* полярограммы и строят градуировочный график, откладывая по оси абсцисс концентрацию меди в мг/см3, а по оси ординат - среднее арифметическое значение высот волн трех измерений в миллиметрах.
_________________
* Текст соответствует оригиналу. Вероятно, следует читать "три". - Примечание изготовителя базы данных.
3.11.3. Проведение анализа
30 г серной кислоты взвешивают, результат записывают с точностью до второго десятичного знака, помещают в термостойкий стакан вместимостью 50 см3 и выпаривают на песчаной бане досуха (до прекращения выделения паров SO3). К охлажденному остатку приливают 3 см3 соляной кислоты, разбавленной 1:1, и растворяют при нагревании.
Затем нейтрализуют аммиаком до полного выпадения осадка гидроокиси железа и приливают еще 1,5 см3 избытка аммиака.
Раствор с осадком переносят в мерный цилиндр вместимостью 20-25 см3, обмывают стакан водой, присоединяя промывные воды к содержимому цилиндра. Объем жидкости доводят до 15 см3, вносят четыре капли раствора желатины, 0,3 г сульфита натрия и перемешивают палочкой. Отфильтровывают часть раствора или осторожно сливают осветленную часть в электролизер.
Вместо добавления сульфита натрия для удаления кислорода из отфильтрованного раствора можно применять продувку растра азотом в течение 10-15 мин. Полярографируют как при построении градуировочного графика.
3.11.4. Обработка результатов
Массовую долю меди (X6) в процентах вычисляют по формуле
где a - концентрация меди, найденная по градуировочному графику, мг/см3;
m - масса навески кислоты, г.
За результат анализа принимают среднее арифметическое трех параллельных определений, допускаемые расхождения между крайними результатами которых не должны превышать 0,00012% при доверительной вероятности P=0,95.
3.11.3; 3.11.4. (Измененная редакция, Изм. N 2).
3.12. Определение массовой доли веществ, восстанавливающих марганцовокислый калий
Метод основан на титровании пробы серной кислоты раствором марганцовокислого калия до появления слабо-розовой окраски.
(Измененная редакция, Изм. N 3).
3.12.1. Реактивы и растворы:
Калий марганцовокислый по ГОСТ 20490-75, раствор концентрации c(1/5KMnO4)=0,01 моль/дм3 (0,01 н.).
(Измененная редакция, Изм. N 3).
3.12.2. Проведение анализа
К 60 см3 воды прибавляют 20 см3 анализируемой кислоты и титруют 0,01 моль/дм3 раствором марганцовокислого калия при 60-70 °С до появления слабой розовой окраски, устойчивой в течение 5 мин. Продукт считают соответствующим требованиям настоящего стандарта, если на титрование пробы аккумуляторной серной кислоты будет израсходовано 0,01 моль/дм3 раствора марганцовокислого калия, не более: для продукции высшего сорта - 4,5 см3, для первого сорта - 7 см3.
3.12.1; 3.12.2. (Измененная редакция, Изм. N 2).
3.13. Определение прозрачности
3.13.1. Для определения прозрачности используют прибор, в который входят:
мерный цилиндр 1-500 по ГОСТ 1770-74, на котором сделана метка, обозначающая высоту столба жидкости 270 мм;
матовое стекло размером 80х80 мм с нанесенными на нем тушью черными квадратами 5х5 мм, расположенными в шахматном порядке;
электрическая лампа мощностью 60 Вт с патроном и шнуром;
деревянная подставка на ящик, в котором помещена лампа с патроном. В верхней крышке сделан вырез, в котором укреплено матовое стекло с черными квадратами.
Расстояние между стеклом и лампой не должно превышать 10 мм.
(Измененная редакция, Изм. N 2, 3).
3.13.2. Проведение анализа
Анализируемую кислоту 1-го сорта разбавляют внесением ее в воду до концентрации 77-79%, охлаждают до 20 °С, взбалтывают и наливают в мерный цилиндр прибора до метки. Мерный цилиндр устанавливают на матовое стекло с шахматными полями, под которым находится горящая электрическая лампа. Наблюдают контуры шахматных полей через слой кислоты. Кислота соответствует требованиям настоящего стандарта, если все контуры четко различимы.
Продукцию высшего сорта анализируют без разбавления.
(Измененная редакция, Изм. N 2).
4. УПАКОВКА, МАРКИРОВКА, ТРАНСПОРТИРОВАНИЕ И ХРАНЕНИЕ
4.1. Аккумуляторную серную кислоту наливают в специальные сернокислотные цистерны с нанесением трафаретов "Аккумуляторная Серная кислота", "Опасно", а также трафарета приписки; в контейнеры из нержавеющей стали марки ЭИ-448 по ГОСТ 5632-72 и в контейнеры, защищенные внутри фторопластом или в стеклянные бутыли.
Стеклянные бутыли должны быть закрыты стеклянными притертыми или навинчивающимися полиэтиленовыми или пластмассовыми крышками.
Стеклянные бутыли с аккумуляторной серной кислотой, предназначенной для обеспечения заказов Министерства обороны, поставляются только со стеклянными притертыми пробками.
Горловину закрытых стеклянных бутылей обертывают куском пеньковой или хлопчатобумажной ткани, или полиэтиленовой пленкой (ГОСТ 10354-82) и обвязывают шпагатом или резиновым шнуром.
Стеклянные 20-литровые бутыли с кислотой упаковывают в полиэтиленовые барабаны или деревянные ящики по ГОСТ 18573-86, номер 3-2, тип У-1 с раскосами на торцевых и боковых стенках. Допускается при перевозке бутылей автомобильным транспортом упаковывать их в деревянные обрешетки, края которых должны быть выше уровня горловины бутылей не менее, чем на 30 мм. Снизу и с боков бутыли обкладывают соломой или мягкой древесной стружкой.
Цистерны перед заливом должны быть тщательно осмотрены с внутренней стороны и очищены от грязных остатков.
По соглашению с потребителем в период с 1 ноября по 15 марта предприятиям-изготовителям, не снабжающим юг Украины, Крым, Молдавию, Кавказ, республики Средней Азии и юг Казахстана, разрешается отгрузка аккумуляторной серной кислоты 1-го сорта в кислотных цистернах из стали Ст3 по ГОСТ 380-88, принадлежащих заводу-изготовителю.
Аккумуляторная Серная кислота, отправляемая в районы Крайнего Севера и приравненные к ним районы, упаковывается в соответствии с пп.4.1 и 4.1.1.
(Измененная редакция, Изм. N 1, 2, 3).
4.1.1. Аккумуляторную серную кислоту для розничной торговли расфасовывают в стеклянные бутыли или флаконы по (0,80±0,01); (1,40±0,02); (1,50±0,02); (1,70±0,02) кг или аналогичные бутыли, изготовленные по нормативно-технической документации. Бутыли укупоривают навинчивающимися полиэтиленовыми или пластмассовыми крышками с уплотнением. Допускается укупорка бутылей резиновыми пробками со свинцовой фольгой с последующей заливкой горловины и пробки уплотняющей смолкой.
Бутыли или флаконы упаковывают в плотные деревянные ящики с перегородками из фанеры, образующими ячейки. Свободные места ячейки заполняют стружками или опилками, после чего прибивают крышку. Допускается производить упаковку бутылей или флаконов в ящики из пенополистирола, состоящие из двух одинаковых блоков с цилиндрическими гнездами не более 10 в каждом. Ящики обтягивают упаковочной стальной лентой или склеивающей типа ЛТ-40 (черт.3 или другой аналогичный*).
_________________
* Текст соответствует оригиналу. - Примечание изготовителя базы данных.
Черт.3
Черт.3
(Измененная редакция, Изм. N 3).
4.2. Транспортная маркировка - по ГОСТ 14192-77 с нанесением знака опасности по ГОСТ 19433-88, класс 8, подкласс 8.1, черт.8, классификационный шифр 8111, серийный номер ООН 2796; предупредительной надписи: "Берегись ожога", манипуляционного знака "Осторожно, хрупкое", а также следующих дополнительных обозначений:
наименования и сорта продукта;
даты изготовления (месяца, года);
массы нетто;
номера партии;
обозначения настоящего стандарта.
Маркировка транспортной тары с аккумуляторной серной кислотой, предназначенной для розничной торговли, должна содержать следующие данные, характеризующие продукцию:
наименование и назначение продукта;
розничную цену;
дату изготовления (месяц, год);
срок годности и условия хранения;
количество единиц потребительских упаковок;
номер партии;
массу брутто и нетто;
обозначение настоящего стандарта.
Маркировка наносится на ярлык или краской по трафарету. На крышке ящика наносятся предупредительные надписи: "Верх", "Берегись ожога".
(Измененная редакция, Изм. N 1, 2, 3).
4.3. На потребительскую упаковку аккумуляторной серной кислоты, предназначенной для розничной торговли, наносят или приклеивают этикетку со следующими маркировочными данными:
наименование предприятия-изготовителя и его товарный знак;
наименование продукта, сорт;
номер партии;
дата изготовления (месяц, год);
масса нетто;
содержание моногидрата;
срок годности;
цена;
обозначение настоящего стандарта;
краткая инструкция по применению продукта и следующие надписи: "При попадании на кожу смыть большим количеством воды", "Работать в резиновых перчатках и защитных очках", "Берегись ожога".
(Измененная редакция, Изм. N 2).
4.4. (Исключен, Изм. N 1).
4.5. Аккумуляторную серную кислоту, упакованную в контейнеры, транспортируют водным транспортом и автотранспортом, а кислоту в стеклянных бутылях или флаконах, упакованную в полиэтиленовые барабаны, ящики и обрешетки, транспортируют автомобильным и железнодорожным транспортом в соответствии с правилами перевозок, действующими на транспорте этих видов. Транспортирование аккумуляторной серной кислоты, упакованной в 20-литровые стеклянные бутыли, осуществляется в крытых вагонах повагонными отправками.
Аккумуляторную серную кислоту транспортируют железнодорожным транспортом в специальных сернокислотных цистернах.
Расчет степени заполнения цистерн производят с учетом полного использования грузоподъемности цистерн и объемного расширения продукта при возможном перепаде температуры в пути следования.
(Измененная редакция, Изм. N 2, 3).
4.6. Аккумуляторная Серная кислота должна храниться в чистых емкостях из нержавеющей стали или емкостях из стали Ст3 по ГОСТ 380-88, футерованных кислотоупорной плиткой, а также в стеклянных бутылях, в которых она транспортировалась, в закрытом складском помещении, при этом срок хранения продукта не ограничен.
Допускается хранить аккумуляторную серную кислоту в емкостях с эмалированным покрытием внутренней поверхности.
Не допускается хранение аккумуляторной серной кислоты в одном помещении с пищевыми продуктами.
(Измененная редакция, Изм. N 3).
4.7. Сифоны, применяемые для слива аккумуляторной серной кислоты из цистерн, должны быть изготовлены из нержавеющей стали или других кислотостойких материалов.
Не допускается хранение аккумуляторной серной кислоты в гуммированных хранилищах и применение при сливе кислоты резиновых шлангов.
5. ТРЕБОВАНИЯ БЕЗОПАСНОСТИ
5.1. Аккумуляторная Серная кислота пожаро- и взрывобезопасна, при соприкосновении ее с водой происходит бурная реакция с выделением тепла, паров и газов.
5.2. Аккумуляторная Серная кислота токсична.
Предельно допустимая концентрация паров серной кислоты в воздухе рабочей зоны - 1мг/м3.
5.3. По степени воздействия на организм аккумуляторная Серная кислота относится к веществам 2-го класса опасности по ГОСТ 12.1.007-76.
Аккумуляторная Серная кислота при попадании на кожу человека вызывает сильные, долго не заживающие ожоги.
Попавшую на кожу серную кислоту необходимо быстро смыть обильным количеством воды.
5.4. При смешивании кислоты с водой необходимо кислоту вливать в воду, а не наоборот, так как при подаче воды в кислоту возможен выброс кислоты из аппарата.
5.5. Работающие с серной кислотой должны быть обеспечены специальной одеждой и обувью, а также средствами индивидуальной защиты.
Разд.5. (Измененная редакция, Изм. N 3).
официальное издание
М.: Издательство стандартов, 1992
