Новости Нефтегазовая пром.
Выставки Наука и технология


Селитра аммиачная водоустойчивая ГОСТ 14702-79

селитра аммиачная водоустойчивая. Технические условия (с Изменениями N 1, 2, 3) ГОСТ 14702-79

ГОСТ 14702-79

Группа Л14

МЕЖГОСУДАРСТВЕННЫЙ СТАНДАРТ

селитра АММИАЧНАЯ ВОДОУСТОЙЧИВАЯ

Технические условия

Ammonium nitrate water-resistant.
Specification

ОКП 21 4319

Дата введения 1980-01-01

ИНФОРМАЦИОННЫЕ ДАННЫЕ

1. РАЗРАБОТАН И ВНЕСЕН Министерством химической промышленности СССР

РАЗРАБОТЧИКИ

А.И.Бруштейн, О.А.Добровольский, Н.И.Богданова

2. УТВЕРЖДЕН И ВВЕДЕН В ДЕЙСТВИЕ Постановлением Государственного комитета СССР по стандартам от 21.02.79 N 683

3. Стандарт соответствует международному стандарту ИСО 2364-72 в части определения кислотности

4. ВЗАМЕН ГОСТ 14702-69

5. ССЫЛОЧНЫЕ НОРМАТИВНО-ТЕХНИЧЕСКИЕ ДОКУМЕНТЫ

Обозначение НТД, на который дана ссылка

Номер пункта, подпункта

ГОСТ 1625-89

4.5.1

ГОСТ 2226-88

5.1

ГОСТ 3118-77

4.8.1, 4.11.1

ГОСТ 3760-79

4.8.1

ГОСТ 3826-82

4.14

ГОСТ 4204-77

4.11.1

ГОСТ 4212-76

4.8.1

ГОСТ 4328-77

4.5.1, 4.9.1

ГОСТ 4403-91

4.4, 4.10.1

ГОСТ 4478-78

4.8.1

ГОСТ 4517-87

4.5.1

ГОСТ 4919.1-77

4.5.1

ГОСТ 5955-75

4.7.1

ГОСТ 6259-75

4.7.1

ГОСТ 6341-75

4.5.1

ГОСТ 6709-72-->ГОСТ 6709-72

4.5.1, 4.8.1, 4.9.1, 4.10.1, 4.11.1

ГОСТ 6824-96

4.7.1

ГОСТ 8448-78

4.7.1

ГОСТ 14192-96

5.5

ГОСТ 14839.13-69

4.10.1, 4.10.3

ГОСТ 17811-78

5.1

ГОСТ 18300-87

4.9.1

ГОСТ 19433-88

5.5

ГОСТ 21560.5-82

4.14

ГОСТ 22180-76

4.5.1

ГОСТ 23239-89

1.3

ГОСТ 23683-89

1.3

ГОСТ 25336-82

4.6.1, 4.12.1

ГОСТ 26663-85

5.7

6. Ограничение срока действия снято Постановлением Госстандарта от 25.06.91 N 978.

7. ПЕРЕИЗДАНИЕ (март 1999 г.) с Изменениями N 1, 2, 3, утвержденными в феврале 1984 г., сентябре 1988 г. и июне 1991 г. (ИУС 6-84, 1-89, 9-91)

Настоящий стандарт распространяется на водоустойчивую аммиачную селитру, предназначенную для производства промышленных взрывчатых веществ, в том числе простейших, изготовляемых на месте взрывных работ (игданит и другие).

Формула^ NH4NO3

Молекулярная масса (по международным атомным массам 1985 г.) - 80,042.

Стандарт полностью соответствует международному стандарту ИСО 2364-72.

Требования настоящего стандарта являются обязательными.

(Измененная редакция, Изм. N 3).

1. ТЕХНИЧЕСКИЕ ТРЕБОВАНИЯ

1.1. Водоустойчивая аммиачная селитра должна быть изготовлена в соответствии с требованиями настоящего стандарта по технологическому регламенту, утвержденному в установленном порядке.

1.2. Водоустойчивая аммиачная селитра изготовляется следующих марок:

ЖВК - кристаллическая;

ЖВГ - гранулированная.

1.3. По физико-химическим показателям водоустойчивая аммиачная селитра должна соответствовать нормам, указанным в таблице.

Наименование показателя

Норма для марки

ЖВГ

ЖВК

ОКП 21 4319 0200

ОКП 21 4319 0100

1. Внешний вид

Кристаллический или гранулированный продукт без видимых посторонних включений или комков затвердевшего плава

2. Массовая доля азотнокислого аммония в пересчете на сухое вещество, %, не менее

99,0

99,0

3. Массовая доля воды, %, не более

0,8

0,7

4. Массовая доля жирных кислот и парафина в соотношении 1:1,%

0,3-0,4

0,3-0,4

5. Массовая доля железа, %

0,06-0,09

0,06-0,09

6. Кислотность в пересчете на HNO3, %, не более

0,07

0,07

7. Водоустойчивость по гидродинамическому прибору, Па (см вод. ст.), не менее

2451,7(25)

2451,7(25)

8. Массовая доля веществ, нерастворимых в соляной кислоте, %, не более

0,01

0,01

9. Механическая прочность гранул на раздавливание, г/гранулу, не менее

400

-

10. Массовая доля гранул от 1 до 3 мм, %, не менее

94

-

11. Рассыпчатость, %

100

-


Примечания:

1. Допускается по согласованию с потребителем выпускать продукт с водоустойчивостью не менее 2157,5 Па (22 см вод. ст.).

2. Массовая доля воды нормируется на момент приемки у потребителя.

3. Жирные кислоты применяются только фракцией С1720 всех марок и сортов по ГОСТ 23239 или другой нормативно-технической документации, парафин - по ГОСТ 23683, кроме неочищенного. Отклонение долей жирных кислот и парафина в пределах (50±2,5)%.

(Измененная редакция, Изм. N 1, 2, 3).

2. ТРЕБОВАНИЯ БЕЗОПАСНОСТИ

2.1. Водоустойчивая аммиачная селитра является окислителем и пожароопасна. Аммиачная селитра при значительном нагревании (до 200 °С) или при смешении (взаимодействии) с некоторыми посторонними веществами (серой, серным колчеданом, кислотами, некоторыми порошковидными металлами, особенно с цинком, хлорной известью и др.) способна к разложению с выделением токсичных окислов азота. Газы, выделяющиеся при разложении аммиачной селитры, поддерживают горение и могут способствовать воспламенению горючих материалов. Разложение затаренной селитры обычно вызывает загорание мешков и, как следствие, пожар.

2.2. Наличие в составе водоустойчивой аммиачной селитры 0,3-0,4% смеси жирных кислот с парафином вызывает повышенную пожароопасность, а также снижение температуры разложения ее (примерно на 20-30 °С) сравнительно с обычной, не содержащей этих добавок, аммиачной селитрой.

Сухая мелкодисперсная пыль водоустойчивой аммиачной селитры обладает пожаро- и взрывоопасными свойствами, в частности, повышенной чувствительностью к удару, особенно в случае загрязнения ее песком, окалиной и т.п. примесями.

2.3. В замкнутом объеме, когда образующиеся газы не имеют свободного выхода, разложение (загорание) аммиачной селитры может перейти во взрыв. При загорании загрязненной горючими, легкоокисляемыми примесями водоустойчивой аммиачной селитры, а также при пожаре разложение водоустойчивой аммиачной селитры может перейти во взрыв даже в незамкнутом объеме.

2.4. Ткани (мешковина, рукавицы и другая спецодежда), бумага, древесина и т.п. материалы, пропитанные аммиачной селитрой, отличаются повышенной пожароопасностью.

2.5. В процессе производства и переработки водоустойчивой аммиачной селитры не допускается скопление ее пыли на оборудовании, строительных конструкциях и т.п.

2.6. При производстве, хранении и применении водоустойчивой аммиачной селитры необходимо соблюдать соответствующие ведомственные правила и нормы техники безопасности и пожарной безопасности, утвержденные в установленном порядке, а также в части, относящейся к ее применению и хранению у потребителей, утвержденные Госгортехнадзором СССР единые правила безопасности при взрывных работах и правила по безопасному изготовлению и применению игданита на открытых и подземных работах.

2.7. Запрещается применение водоустойчивой аммиачной селитры для удобрений.

2.8. Загоревшуюся аммиачную селитру следует тушить водой, подаваемой в возможно большем количестве. При этом следует пользоваться противогазами марки В или М (при высокой концентрации окислов азота - изолирующими кислородными приборами); персонал должен находиться с наветренной стороны, посторонние лица должны быть эвакуированы. В помещении склада, вагоне и т.п. следует открыть двери и окна.

3. ПРАВИЛА ПРИЕМКИ

3.1. Водоустойчивую аммиачную селитру принимают партиями.

За партию принимают количество продукта, однородного по своим показателям качества, сопровождаемого одним документом о качестве, не более одной сменной выработки.

Документ о качестве должен содержать:

наименование предприятия-изготовителя и его товарный знак;

наименование и марку продукта;

номер партии и дату изготовления;

массу нетто;

результаты проведенных анализов или подтверждение о соответствии качества продукта требованиям настоящего стандарта;

обозначение настоящего стандарта.

(Измененная редакция, Изм. N 1).

3.2. Для контроля качества водоустойчивой аммиачной селитры отбирают 1% мешков или каждый десятый контейнер, но не менее 10 мешков (контейнеров) при малых партиях.

Для контроля качества водоустойчивой аммиачной селитры, находящейся в движении, пробы отбирают с транспортерной ленты механизированным или ручным способом путем полного пересечения струи в местах перепада потока через равные промежутки времени с периодом отбора, обеспечивающим получение массы точечной пробы не менее 0,5 кг от 30 т продукции.

(Измененная редакция, Изм. N 1).

3.3. При получении неудовлетворительных результатов анализа хотя бы по одному из показателей проводят по нему повторный анализ на удвоенной выборке.

Результаты повторного анализа распространяются на всю партию.

3.4. Массовую долю веществ, нерастворимых в соляной кислоте, изготовитель определяет периодически не реже одного раза в месяц, механическую прочность - в каждой 20-й партии.

(Измененная редакция, Изм. N 1).

4. МЕТОДЫ АНАЛИЗА

4.1. Точечные пробы отбирают щупом или другим приспособлением, погружая его на 3/4 глубины мешка или контейнера по вертикальной оси. Масса отобранной точечной пробы не должна быть менее 200 г.

Точечные пробы с транспортерной ленты отбирают автоматическим пробоотборником или вручную совком.

4.2. Отобранные точечные пробы соединяют вместе, тщательно перемешивают, измельчают комки и методом квартования отбирают среднюю пробу массой не менее 1 кг.

4.1, 4.2. (Измененная редакция, Изм. N 1).

4.3. Полученную среднюю пробу помещают в чистую сухую стеклянную банку с притертой пробкой или пластмассовой крышкой. На банку наклеивают этикетку с указанием наименования продукта, предприятия-изготовителя, даты отбора пробы, номера партии.

4.4. Пробу аммиачной селитры высыпают на чистую сухую бумагу, измельчают комки легким надавливанием шпателем или пестиком. Пробу тщательно перемешивают, половину пробы берут для определений массовой доли воды и водоустойчивости. Оставшуюся половину пробы просеивают через сито N 7 (ткань сита по ГОСТ 4403), комочки растирают в фарфоровой ступке.

Из приготовленной таким образом пробы берут навески аммиачной селитры для анализа в количествах, предусмотренных соответствующими методами.

(Измененная редакция, Изм. N 1).

4.5. Определение массовой доли азотнокислого аммония в пересчете на сухое вещество

4.5.1. Реактивы и растворы

Вода дистиллированная по ГОСТ 6709.

Натрия гидроокись по ГОСТ 4328.

0,5 н. раствор, приготовленный по ГОСТ 4517.

Титр раствора устанавливают по щавелевой кислоте или по янтарной кислоте в присутствии фенолфталеина.

Кислота щавелевая по ГОСТ 22180, х.ч.

Кислота янтарная по ГОСТ 6341, х.ч.

Фенолфталеин (индикатор), приготовленный по ГОСТ 4919.1.

формалин технический по ГОСТ 1625, 25%-ный раствор.

4.5.2. Проведение анализа

15-25 см3 раствора формалина помещают в колбу вместимостью 250 см3, добавляют 100 см3 воды, 3 капли раствора фенолфталеина и нейтрализуют раствором гидроокиси натрия до слабо-розовой окраски, сохраняющейся около 1 мин. Затем в этот раствор вносят 1,5 г аммиачной селитры, взвешенной с погрешностью не более 0,0002 г, через 1-2 мин добавляют 2-3 капли фенолфталеина и титруют раствором гидроокиси натрия до слабо-розовой окраски, сохраняющейся около 1 мин.

4.5.3. Обработка результатов

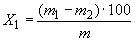
Массовую долю азотнокислого аммония в пересчете на сухое вещество (X) в процентах вычисляют по формуле где V - объем точно 0,5 н. раствора гидроокиси натрия, израсходованный на титрование анализируемого раствора, см3;
0,04 - масса азотнокислого аммония, соответствующая 1 см3 точно 0,5 н. раствора гидроокиси натрия, г;

X1 - массовая доля воды, определяемая по п.4.6, %;

m - масса навески аммиачной селитры, г.

За результат анализа принимают среднее арифметическое двух параллельных определений, допускаемые расхождения между которыми не должны превышать 0,3%.

Суммарная относительная погрешность результатов измерения при доверительной вероятности P=0,95 не должна превышать ±0,5%.

(Измененная редакция, Изм. N 1).

4.6. Определение массовой доли воды

4.6.1. Посуда

Стаканчики для взвешивания (бюксы) по ГОСТ 25336, типа СН, диаметром от 32 до 60 мм и высотой (30±2) мм или стаканчики алюминиевые для взвешивания диаметром (65±2,5) мм, высотой (30±1,5) мм и толщиной стенки около 0,8 мм.

4.6.2. Проведение анализа

5 г продукта, подготовленного по п.4.4, помещают в предварительно высушенный и взвешенный с погрешностью не более 0,0002 г стаканчик с притертой крышкой и взвешивают с той же погрешностью.

Открыв крышку, стаканчик с навеской помещают в термостат и высушивают при температуре 95-105 °С в течение 2 ч. После охлаждения в эксикаторе стаканчик с высушенной селитрой снова взвешивают.

4.6.3. Обработка результатов

Массовую долю воды (X1) в процентах вычисляют по формуле где m - масса навески продукта, г;
m1 - масса стаканчика с навеской до сушки, г;

m2 - масса стаканчика с навеской после сушки, г.

За результат анализа принимают среднее арифметическое двух параллельных определений, допускаемые расхождения между которыми не должны превышать 0,06%.

Суммарная относительная погрешность результатов измерения при доверительной вероятности P=0,95 не должна превышать ±16,0%.

(Измененная редакция, Изм. N 1).

4.7. Определение массовой доли смеси жирных кислот с парафином

4.7.1. Реактивы и растворы

Бензол по ГОСТ 5955 или Бензол каменноугольный по ГОСТ 8448.

глицерин по ГОСТ 6259 или глицерин дистиллированный по ГОСТ 6824.

4.7.2. Проведение анализа

20 г аммиачной селитры взвешивают с погрешностью не более 0,01 г, помещают в колбу, добавляют 80 см3 бензола и закрывают пробкой с длинной стеклянной трубкой, являющейся обратным холодильником. Колбу со стеклянной трубкой ставят на подставку в водоглицериновую баню или закрытую электроплитку и нагревают в течение 30 мин. Затем раствор охлаждают и фильтруют в стакан, взвешенный с погрешностью не более 0,0002 г.

Колбу и фильтр промывают 3-4 раза бензолом и фильтрат упаривают на водяной бане до полного удаления растворителя. Остаток высушивают в сушильном шкафу в течение 1 ч при (80±2) °С, охлаждают и взвешивают с погрешностью не более 0,0002 г.

4.7.3. Обработка результатов

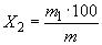
Массовую долю смеси жирных кислот с парафином (X2) в процентах вычисляют по формуле где m - масса навески аммиачной селитры, г;
m1 - масса высушенного осадка, г.

За результат анализа принимают среднее арифметическое двух параллельных определений, допускаемые расхождения между которыми не должны превышать 0,05%.

Суммарная относительная погрешность результатов измерения при доверительной вероятности P=0,95 не должна превышать ±9,4%.

(Измененная редакция, Изм. N 1).

4.8. Определение массовой доли железа

4.8.1. Реактивы, растворы и приборы

аммиак водный по ГОСТ 3760, 25%-ный раствор.

Вода дистиллированная по ГОСТ 6709.

кислота соляная по ГОСТ 3118, х.ч., 20%-ный раствор.

Кислота сульфосалициловая по ГОСТ 4478, ч.д.а., 10%-ный раствор.

Раствор, содержащий Fe3+, готовят по ГОСТ 4212.

Раствор А, содержащий 0,05 мг Fe3+ в 1 см3, готовят разбавлением основного раствора в день проведения анализа.

Фотоэлектроколориметр любой марки.

4.8.2. Подготовка к анализу

4.8.2.1. Построение градуировочного графика.

В мерные колбы вместимостью 100 см3 каждая вносят 0,25; 0,5; 1,0; 2,0; 3,0; 4,0; 5,0 см3 раствора А, 50 см3 воды, 5 см3 раствора сульфосалициловой кислоты, 5 см3 раствора аммиака, доводят объемы растворов водой до метки и перемешивают. Через 10 мин измеряют оптическую плотность образцовых растворов по отношению к воде на фотоколориметре в кюветах с толщиной поглощающего свет слоя 30 мм, пользуясь светофильтром при длине волны =400-440 нм.
Для построения каждой точки графика вычисляют среднее арифметическое значение оптической плотности трех параллельных определений. По полученным данным строят градуировочный график, откладывая на оси абсцисс массу железа в миллиграммах, а на оси ординат - соответствующие ей значения оптических плотностей. Периодичность проверки графика 1 раз в 6 месяцев.

4.8.3. Проведение анализа

5 г аммиачной селитры взвешивают с погрешностью не более 0,01 г, помещают в стакан вместимостью 150-250 см3, приливают 50-70 см3 воды, 25 см3 раствора соляной кислоты и кипятят 2-3 мин. Раствор охлаждают, фильтруют через бумажный фильтр в мерную колбу вместимостью 250 см3, доводят объем раствора водой до метки и перемешивают (раствор 1).

10 см3 раствора 1 переносят в мерную колбу вместимостью 100 см3, добавляют 5 смраствора сульфосалициловой кислоты, 5 см3 раствора аммиака, доводят объем раствора водой до метки и перемешивают. Через 10 мин определяют оптическую плотность анализируемого раствора по отношению к воде так же, как при построении градуировочного графика.

4.8.4. Обработка результатов

Массовую долю железа (X3) в процентах вычисляют по формуле где m - масса навески аммиачной селитры, г;
m1 - масса железа, найденная по градуировочному графику, мг.

За результат анализа принимают среднее арифметическое двух параллельных определений, допускаемые расхождения между которыми не должны превышать 0,005%.

Суммарная относительная погрешность результатов измерения при доверительной вероятности P=0,95 не должна превышать ±1,5%.

(Измененная редакция, Изм. N 1).

4.9. Определение кислотности в пересчете на HNO3

4.9.1. Реактивы и растворы

Вода дистиллированная по ГОСТ 6709, нейтрализованная по смешанному индикатору.

Метиловый красный (индикатор).

Метиленовый синий (индикатор).

Натрия гидроокись по ГОСТ 4328, 0,1 н. раствор.

Смешанный индикатор готовят следующим образом: 0,12 г метилового красного и 0,082 г метиленового синего взвешивают с погрешностью не более 0,01 г и растворяют в 100 смэтилового спирта.

Спирт этиловый синтетический технический или спирт этиловый ректификованный технический по ГОСТ 18300.

4.9.2. Проведение анализа

20 г аммиачной селитры взвешивают с погрешностью не более 0,01 г, растворяют при нагревании в 100-200 см3 воды. Раствор фильтруют через бумажный фильтр, который промывают водой 3-4 раза. Фильтрат и промывные воды титруют раствором гидроокиси натрия в присутствии 6-8 капель смешанного индикатора до перехода окраски в зеленый цвет.

4.9.3. Обработка результатов

Кислотность в пересчете на HNO3 (X4) в процентах вычисляют по формуле где V - объем точно 0,1 н. раствора гидроокиси натрия, израсходованный на титрование, см3;
0,0063 - масса азотной кислоты, соответствующая 1 см3 точно 0,1 н. раствора гидроокиси натрия, г;

m - масса навески аммиачной селитры, г.

За результат анализа принимают среднее арифметическое двух параллельных определений, допускаемые расхождения между которыми не должны превышать 0,02%.

Суммарная относительная погрешность результатов измерения при доверительной вероятности P=0,95 не должна превышать ±6,0%.

(Измененная редакция, Изм. N 1).

4.10. Определение водоустойчивости

4.10.1 Аппаратура и реактивы

Прибор гидродинамический по ГОСТ 14839.13.

Ткань шелковая для сит N 15, 29, 55 по ГОСТ 4403.

Мельница шаровая вместимостью 1,5 дм3, с фарфоровыми шарами диаметром 20-25 мм, масса шаров 1800-1900 г, частота вращения мельницы 60-70 мин-1.

Вода дистиллированная по ГОСТ 6709.

(Измененная редакция, Изм. N 2).

4.10.2. Подготовка к анализу

4.10.2.1. Подготовка пробы

Из средней пробы водоустойчивой аммиачной селитры марки ЖВК, полученной в соответствии с п.4.2 и подготовленной, как указано в п.4.4, без просева, берут навеску около 200 г и сушат ее в термостате на противне слоем толщиной не более 10 мм в течение 2 ч при температуре (100±5) °С.

Высушенную навеску охлаждают в эксикаторе над хлористым кальцием, затем загружают в шаровую мельницу и измельчают в течение 15 мин. Допускается измельчать пробу водоустойчивой аммиачной селитры марки ЖВК вручную. Перед измельчением аммиачной селитры внутренняя поверхность мельницы и шары должны быть протерты насухо. Измельченную навеску просеивают через сита N 15, 29, 55. При этом проба должна полностью пройти через сито N 15, остаток на сите N 29 не должен превышать 25% (мас.), а фракция, прошедшая через сито N 55, должна составлять не менее 50% (мас.).

Из средней пробы водоустойчивой аммиачной селитры марки ЖВГ, полученной в соответствии с п.4.2 и подготовленной, как указано в п.4.4, без просева, берут навеску около 100 г, растирают в ступке в несколько приемов и просеивают через сита N 15, 29 и 55. При этом истертая проба должна полностью пройти через сито N 15, остаток на сите N 29 не должен превышать 25% (мас.), а фракция, прошедшая через сито N 55, должна составлять не менее 50% (мас.).

Часть пробы, прошедшую через сита, и части, оставшиеся на ситах, смешивают.

Растертую пробу сушат при температуре (100±5) °С в течение 2 ч и после охлаждения до комнатной температуры в эксикаторе над хлористым кальцием определяют ее водоустойчивость. Допускается измельчать пробу водоустойчивой аммиачной селитры марки ЖВГ механическими средствами.

Подготовленная проба марок ЖВК и ЖВГ должна быть проанализирована на водоустойчивость в течение 2 ч. Более длительное хранение измельченной пробы не допускается.

(Измененная редакция, Изм. N 2, 3).

4.10.2.2. Описание гидродинамического прибора

Гидродинамический прибор состоит из сборки с анализируемым порошком, соединенной при помощи трехходового крана (по принципу сообщающихся сосудов) с барометрической стеклянной трубкой внутренним диаметром 4 мм и бутылью с дистиллированной водой вместимостью 3-5 дм3, установленной на высоте 2 м от нулевого положения барометрической трубки.

В сборку под слой анализируемого вещества и одновременно в барометрическую трубку Вода поступает из бутыли через регулировочный кран по резиновой трубке и стеклянному капилляру.

После анализа воду из трубки и сборки сбрасывают через спусковой кран.

Сборка гидродинамического прибора состоит из корпуса, изготовленного из нержавеющей стали, внутренним диаметром 40 мм и высотой 22 мм, который в нижней части имеет патрубок диаметром 4 мм для подвода воды, а в верхней наружной части - резьбу для навинчивания крышки, имеющей сквозное центральное отверстие диаметром 10 мм. На боковой стенке корпуса прибора имеется подвижный ограничитель для регулирования степени поджатия (плотности) слоя анализируемого вещества между пористыми резиновыми кольцами при помощи металлического прижимного кольца и завинчивающейся крышки до упора в ограничитель.

Уплотняющие резиновые шайбы вырубают из микропористой резины толщиной 5 мм, наружным диаметром 40 мм и внутренним - 10 мм.

Металлическое прижимное кольцо изготовляют из нержавеющей стали или алюминия толщиной 10 мм, наружным диаметром 30 мм и внутренним диаметром 10 мм.

4.10.2.3. Установка нуля прибора

Нулевое положение сборки определяют следующим образом: в пустую открытую сборку подается Вода из бутыли так же, как при анализе. При появлении воды в сборке измеряют ее уровень в барометрической трубке прибора. Для определения нуля к отсчету на барометрической трубке прибавляют 3 мм за счет сжатия нижнего резинового кольца в рабочем положении сборки.

Ограничитель устанавливают следующим образом: в сборку прибора помещают деревянный или металлический цилиндр диаметром 40 мм и высотой 8 мм, вкладывают уплотняющие резиновые кольца, прижимное металлическое кольцо, кружки фильтровальной бумаги, завинчивают до отказа крышку прибора и фиксируют ее положение ограничителем.

4.10.3. Проведение анализа - по ГОСТ 14839.13.

За результат анализа принимают среднее арифметическое двух параллельных определений, допускаемые расхождения между которыми не должны превышать 2 см вод. ст.

4.11. Определение массовой доли веществ, нерастворимых в соляной кислоте

4.11.1. Реактивы и растворы

Вода дистиллированная по ГОСТ 6709.

Дифениламин, раствор дифениламина в серной кислоте, готовят растворением 1 г дифениламина в 100 см3 серной кислоты.

Кислота серная по ГОСТ 4204.

кислота соляная по ГОСТ 3118.

(Измененная редакция, Изм. N 3).

4.11.2. Проведение анализа

20 г аммиачной селитры взвешивают с погрешностью не более 0,001 г, помещают в стакан вместимостью 250-400 см3 и растворяют при нагревании в смеси, состоящей из 100 см3 воды и 10 см3 соляной кислоты. Раствор фильтруют через беззольный фильтр. Остаток на фильтре промывают горячей водой до удаления азотнокислых солей (проба с раствором дифениламина в серной кислоте), затем помещают во взвешенный тигель, подсушивают, осторожно сжигают и прокаливают в муфельной печи в течение 10-15 мин, после чего остаток охлаждают в эксикаторе и взвешивают с погрешностью не более 0,0002 г.

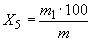
4.11.3. Обработка результатов

Массовую долю веществ, нерастворимых в соляной кислоте (X5), в процентах вычисляют по формуле где m - масса навески аммиачной селитры, г;
m1 - масса прокаленного остатка, г.

За результат анализа принимают среднее арифметическое двух параллельных определений, допускаемые расхождения между которыми не должны превышать 0,002%.

Суммарная относительная погрешность результатов измерения при доверительной вероятности P=0,95 не должна превышать ±36,0%.

(Измененная редакция, Изм. N 1).

4.12. Определение механической прочности гранул на раздавливание

4.12.1. Приборы

Приборы для определения статической прочности гранул типа ИПГ-1 или типа МИП-10-1 или другие аналогичные приборы, имеющие диапазон измерений прочности, равный 0-1500 г на гранулу со скоростью нагружения не более 1,5 мм/с.

Сита из штампованных полотен N 10, 20, 30.

Стаканчик для взвешивания по ГОСТ 25336.

(Измененная редакция, Изм. N 2).

4.12.2. Проведение анализа

Пробу аммиачной селитры, полученную по п.4.4, выдерживают для определения механической прочности в закрытой банке при комнатной температуре в течение 12 ч.

Для анализа водоустойчивой аммиачной селитры на ситах выделяют гранулы диаметром около 2 мм (застрявшие в отверстиях сит) массой 20-30 г.

20 гранул по форме, наиболее приближающейся к сферической, пинцетом отбирают в плотно закрывающийся стаканчик.

Отобранные гранулы последовательно помещают на предметный столик прибора и определяют усилие, необходимое для разрушения каждой гранулы.

(Измененная редакция, Изм. N 2).

4.12.3. Обработка результатов

Механическую прочность гранул (X6) в граммах на гранулу вычисляют по формуле где P1, P2,  P3…P20 - значение усилий раздавливания гранул, г.

4.13. Определение массовой доли гранул от 1 до 3 мм.

4.13.1. Приборы

Классификатор РКФ-1-У или РКФ-2-У решетный вибрационный с набором штампованных сит из решетных полотен N 10 и 30.

Весы технические типа ВЛТК-500 или другие с погрешностью взвешивания не более 0,1 г.

(Измененная редакция, Изм. N 3).

4.13.2. Проведение анализа

Около 250 г аммиачной селитры марки ЖВГ, взвешенной с погрешностью не более 0,1 г, помещают на сита, расположенные снизу вверх от меньшего к большему, внизу устанавливают поддон, сверху сита закрывают крышкой. Время рассева 2 мин. Амплитуда колебания 2 мм.

По окончании рассева фракцию 1-3 мм взвешивают.

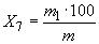
4.13.3. Обработка результатов

Массовую долю гранул от 1 до 3 мм (X7) в процентах вычисляют по формуле где m1 - масса фракции, г;
m - масса навески аммичной селитры, г.

4.14. Определение рассыпчатости - по ГОСТ 21560.5, при этом применяют сита с размером ячеек в свету 5 мм по ГОСТ 3826.

Для определения рассыпчатости берут 3 мешка, отобранные по п.3.2.

(Измененная редакция, Изм. N 1).

4.15. Результаты анализов округляют до значащих цифр в соответствии с таблицей технических требований.

(Введен дополнительно, Изм. N 2).

5. УПАКОВКА, МАРКИРОВКА, ТРАНСПОРТИРОВАНИЕ И ХРАНЕНИЕ

5.1. Водоустойчивую аммиачную селитру упаковывают в полиэтиленовые мешки по ГОСТ 17811, пятислойные бумажные, ламинированные полиэтиленом мешки марки ПМ или БМП, или пяти-, шестислойные мешки марок БМ и ВМБ по ГОСТ 2226 (при этом внутренний слой, соприкасающийся с продуктом, должен быть изготовлен из битумированной бумаги или покрыт полиэтиленом), или в бумажные мешки с внутренним слоем, дублированным резинобитумной смесью.

Полиэтиленовые мешки должны быть запаяны, бумажные (за исключением клапанных) - прошиты машинным способом.

(Измененная редакция, Изм. N 1, 3).

5.2. Водоустойчивую аммиачную селитру упаковывают в специализированные мягкие контейнеры разового использования для сыпучих продуктов типа МКР-1,0С.

(Измененная редакция, Изм. N 3).

5.3. Масса мешка с водоустойчивой аммиачной селитрой должна быть 40-50 кг.

Масса мешков одной партии должна быть одинаковой. Отклонения от номинальной массы допускаются ±1 кг.

5.4. Температура водоустойчивой аммиачной селитры перед затариванием не должна превышать 50 °С.

5.5. Транспортная маркировка - по ГОСТ 14192 с нанесением манипуляционных знаков "Беречь от влаги", "Беречь от нагрева", надписи: "Для удобрений не применять!" и знака опасности по ГОСТ 19433 (класс 5, подкласс 5.1, черт.5, категория 5.1.1, классификационный шифр 5113, серийный номер 00Н 1942).

На упакованный продукт наносят маркировку, характеризующую продукцию и содержащую следующие данные:

наименование и марку продукта;

номер партии и дату изготовления;

обозначение настоящего стандарта.

(Измененная редакция, Изм. N 1, 2, 3).

5.6 (Исключен, Изм. N 1).

5.7. Водоустойчивую аммиачную селитру, упакованную в мешки, транспортируют в крытых железнодорожных вагонах повагонными отправками, закрытых палубных судах или автотранспортом, в соответствии с правилами перевозок опасных грузов, действующими на данном виде транспорта.

Перед погрузкой водоустойчивой аммиачной селитры пол и стенки вагона или других транспортных средств должны быть тщательно очищены от остатков предыдущих грузов.

Применение транспортных средств из-под хлорной извести, серного колчедана, нитрита натрия, кислот, порошковидных металлов (особенно цинка) не допускается.

Водоустойчивую аммиачную селитру, упакованную в специальные мягкие контейнеры, транспортируют в крытых железнодорожных вагонах, закрытых палубных судах и открытым автотранспортом.

По согласованию с потребителем водоустойчивую аммиачную селитру марки ЖВГ транспортируют насыпью в саморазгружающихся железнодорожных вагонах грузоотправителя (грузополучателя) типа минераловозов и хопперов-цементовозов или крытым автотранспортом.

Мешки с водоустойчивой аммиачной селитрой транспортируют пакетами, в случае применения плоских поддонов - по ГОСТ 26663.

Допускается транспортировать продукт в непакетированном виде по согласованию с потребителем.

(Измененная редакция, Изм. N 1, 2, 3).

5.8. Водоустойчивую аммиачную селитру хранят у потребителя в закрытых складах, а селитру марки ЖВГ, кроме того, насыпью в складах бестарного хранения напольного или силосного типа, защищающих продукт от попадания воды. Допускается хранение контейнеров с водоустойчивой аммиачной селитрой на открытых площадках с установкой их не более, чем в два яруса.

(Измененная редакция, Изм. N 1).

5.9. При хранении и транспортировании водоустойчивую аммиачную селитру следует предохранять от нагревания, воздействия пламени или попадания искр, от загрязнения любыми посторонними примесями и от воздействия атмосферных осадков.

5.10. Запрещается совместное хранение или совместное транспортирование (в одном вагоне, одной автомашине и т.п.) аммиачной селитры с любыми другими материалами и веществами.

6. ГАРАНТИИ ИЗГОТОВИТЕЛЯ

6.1. Изготовитель должен гарантировать соответствие водоустойчивой аммиачной селитры требованиям настоящего стандарта при соблюдении условий транспортирования и хранения.

(Измененная редакция, Изм. N 1).

6.2. Гарантийный срок хранения водоустойчивой аммиачной селитры - 6 месяцев со дня изготовления продукта. По истечении гарантийного срока хранения водоустойчивая аммиачная селитра перед использованием должна быть проверена на соответствие требованиям настоящего стандарта.

ПРИЛОЖЕНИЕ (справочное). Неконтролируемая физико-химическая характеристика водоустойчивой аммиачной селитры марки ЖВГ

ПРИЛОЖЕНИЕ
Справочное

Характеристика

Норма

Насыпная плотность, г/см3

0,85-1,0





официальное издание
М.: ИПК Издательство стандартов, 1999