Растворители марок Р-4, Р-4А, Р-5, Р-5А, Р-12 для лакокрасочных материалов ГОСТ 7827-74
Растворители марок Р-4, Р-4А, Р-5, Р-5А, Р-12 для лакокрасочных материалов. Технические условия (с Изменениями N 1-5) ГОСТ 7827-74
ГОСТ 7827-74
Группа Л25
ГОСУДАРСТВЕННЫЙ СТАНДАРТ СОЮЗА ССР
РАСТВОРИТЕЛИ МАРОК Р-4, Р-4А, Р-5, Р-5А, Р-12
ДЛЯ ЛАКОКРАСОЧНЫХ МАТЕРИАЛОВ
Технические условия
Solvents of grades Р-4, Р-4А, Р-5, Р-5А, Р-12 for paint materials.
Specifications*
______________
* Наименование стандарта. Измененная редакция, Изм. N 5.
ОКП 23 1912
Срок действия с 01.01.75
до 01.01.95*
______________________________
* Ограничение срока действия снято
по протоколу N 4-93 Межгосударственного Совета
по стандартизации, метрологии и сертификации.
(ИУС N 4, 1994 год). - Примечание изготовителя базы данных.
ИНФОРМАЦИОННЫЕ ДАННЫЕ
1. РАЗРАБОТАН И ВНЕСЕН Министерством химической промышленности СССР
РАЗРАБОТЧИКИ
А.И.Непомнящий, К.Г.Сулимова, О.Г.Курбатова
2. УТВЕРЖДЕН И ВВЕДЕН В ДЕЙСТВИЕ Постановлением Государственного комитета стандартов Совета Министров СССР от 15.04.74 N 889
3. Периодичность проверки - 5 лет
4. ВЗАМЕН ГОСТ 7827-55
5. ССЫЛОЧНЫЕ НОРМАТИВНО-ТЕХНИЧЕСКИЕ ДОКУМЕНТЫ
|
Обозначение НТД, на который дана ссылка |
Номер пункта, подпункта |
|
ГОСТ 12.1.004-91 |
6.2 |
|
ГОСТ 12.1.005-88 |
6.1, 6.3 |
|
ГОСТ 12.1.016-79 |
6.1 |
|
ГОСТ 12.1.044-89 |
1.3 |
|
ГОСТ 12.3.002-75 |
6.2 |
|
ГОСТ 12.3.005-75 |
6.2 |
|
ГОСТ 12.4.011-89 |
6.4 |
|
ГОСТ 12.4.021-75 |
6.5 |
|
ГОСТ 12.4.068-79 |
6.4 |
|
ГОСТ 17.2.3.02-78 |
7.2 |
|
ГОСТ 1770-74 |
3.2.1 |
|
3.2.1 |
|
|
ГОСТ 5105-82 |
4.1 |
|
ГОСТ 5799-78 |
4.1 |
|
ГОСТ 6128-81 |
4.1 |
|
ГОСТ 6247-79 |
4.1 |
|
ГОСТ 6507-90 |
3.7.1, 3.7.4 |
|
ГОСТ 6613-86 |
3.7.1, 3.7.3 |
|
ГОСТ 9980.1-86 |
2.1 |
|
ГОСТ 9980.2-86 |
3.1 |
|
ГОСТ 9980.3-86 |
4.1 |
|
ГОСТ 9980.4-2002 |
4.2 |
|
ГОСТ 9980.5-86 |
4.3 |
|
ГОСТ 13950-91 |
4.1 |
|
ГОСТ 14192-96 |
4.2 |
|
ГОСТ 14870-77 |
1.3, 3.3 |
|
ГОСТ 16523-97 |
3.7.1, 3.7.4 |
|
3.6.1 |
|
|
ГОСТ 19433-88 |
4.2 |
|
ГОСТ 21029-75 |
4.1 |
|
ГОСТ 23955-80 |
1.3, 3.5 |
|
ГОСТ 24104-2001 |
3.6.1 |
|
ГОСТ 25336-82 |
3.5, 3.6.1 |
|
ГОСТ 26319-84 |
4.1 |
|
ГОСТ 28498-90 |
3.4.1 |
|
ГОСТ 29227-91 |
3.5 |
|
ГОСТ 29251-91 |
3.4.1, 3.6.1 |
|
ГОСТ 30765-2001 |
4.1 |
|
ГОСТ 30766-2001 |
4.1 |
|
ГОСТ 31089-2003 |
1.2 |
(Измененная редакция, Изм. N 5).
9*. Срок действия продлен до 01.01.95 Постановлением Госстандарта СССР от 20.12.88 N 4324
_______________
* Нумерация соответствует оригиналу. - Примечание изготовителя базы данных.
7. ПЕРЕИЗДАНИЕ (апрель 1993 года) с Изменениями N 1, 2, 3, 4, утвержденными в октябре 1976 года, октябре 1970 года, июне 1984 года, декабре 1988 года (11-76, 11-79, 9-84, 3-89)
ВНЕСЕНО Изменение N 5, принятое Межгосударственным Советом по стандартизации, метрологии и сертификации (протокол N 33 от 06.06.2008). Государство-разработчик Россия. Приказом Федерального агентства по техническому регулированию и метрологии от 16.10.2008 N 265-ст введено в действие на территории РФ с 01.03.2009
Изменение N 5 внесено изготовителем базы данных по тексту ИУС N 1, 2009 год
Настоящий стандарт распространяется на растворители марок Р-4, Р-4А, Р-5, Р-5А, Р-12, представляющие собой смеси летучих органических растворителей: сложных эфиров, кетонов, ароматических углеводородов.
Растворители предназначаются для разбавления перхлорвиниловых и других лакокрасочных материалов.
(Измененная редакция, Изм. N 4).
1. МАРКИ И ТЕХНИЧЕСКИЕ ТРЕБОВАНИЯ
1.1. В зависимости от рецептуры и назначения марки растворителей указаны в табл.1.
Таблица 1
(Измененная редакция, Изм. N 2, 3, 4).
1.2. Растворители должны соответствовать требованиям ГОСТ 31089-2003 и настоящего стандарта и изготавливаться по рецептуре и технологическому регламенту, утвержденным в установленном порядке, причем массовой доли бутилацетата должно быть для марок: Р-4 - не более 12%, Р-4А - отсутствие, Р-5 - не более 10%, Р-5А - не более 30%.
(Измененная редакция, Изм. N 3, 4, 5).
1.3. По физико-химическим показателям растворители должны соответствовать нормам, указанным в табл.2.
Таблица 2
(Измененная редакция, Изм. N 4, 5).
2. ПРАВИЛА ПРИЕМКИ
2.1. Правила приемки - по ГОСТ 9980.1-86.
Показатель 7 изготовитель определяет периодически не реже одного раза в течение одного года.
(Измененная редакция, Изм. N 1, 4, 5).
2.2, 2.3. (Исключены, Изм. N 1).
3. МЕТОДЫ ИСПЫТАНИЙ
3.1. Отбор проб - по ГОСТ 9980.2-86.
3.2. Определение цвета и внешнего вида
3.1, 3.2. (Измененная редакция, Изм. N 4).
3.2.1. Применяемые посуда и реактивы:
Цилиндр 1-100-2 по ГОСТ 1770.
калий двухромовокислый по ГОСТ 4220, раствор с массовой долей 0,002%.
(Введен дополнительно, Изм. N 4. Измененная редакция, Изм. N 5).
3.2.2. Проведение испытания
Внешний вид и цвет растворителя определяют визуально. Испытуемый растворитель наливают в мерный цилиндр из бесцветного стекла вместимостью 100 см3, рассматривают его в проходящем свете и отмечают отсутствие мути, расслаивания и взвешенных частиц.
Цвет растворителя, помещенного в цилиндр, в проходящем свете на фоне белой бумаги должен быть не темнее водного раствора двухромовокислого калия с массовой долей 0,002%, помещенного в такой же цилиндр.
(Введен дополнительно, Изм. N 4).
3.3. Массовую долю воды по Фишеру определяют по ГОСТ 14870-77 методом электрометрического титрования, способ 2. В качестве растворителя применяют метанол, пиридин или метилцеллозольв. При определении воды в карбонильных соединениях в качестве растворителя применяют пиридин. Допускаемые расхождения двух параллельных определений, проводимых одним исполнителем, - 10% и разными исполнителями - 15% относительно средней арифметической величины. Допускается определять содержание воды методом визуального титрования по ГОСТ 14870-77, способ 3, при этом навеску испытуемого растворителя берут в количестве 1,00-2,00 г.
(Измененная редакция, Изм. N 3, 4, 5).
3.4. Определение летучести по этиловому эфиру
3.4.1. Применяемые материалы и оборудование:
эфир этиловый технический;
фильтр беззольный;
бюретка I-3-2-25-0,1 по ГОСТ 29251;
шкаф деревянный;
зажим деревянный;
секундомер;
термометр по ГОСТ 28498 с диапазоном измерения температур от 0 °С до 100 °С.
Допускается использовать приборы, посуду и реактивы с аналогичным классом точности и квалификацией по другим нормативным документам или импортные.
(Измененная редакция, Изм. N 4, 5).
3.4.2. Проведение испытания
Летучесть по этиловому эфиру определяют в специальном деревянном шкафу размером 280х180х420 мм, который имеет два отверстия: одно в верхней, а другое в боковой стенке. Передняя и задняя стенки представляют собой дверцы, в середине которых расположены смотровые стекла диаметром по 100 мм каждое.
В верхнем отверстии шкафа укрепляют бюретку, а в боковом - свободно вращающийся деревянный зажим для закрепления фильтра.
Беззольный фильтр устанавливают зажимом внутри шкафа в горизонтальном положении, на фильтр спускают каплю этилового эфира из бюретки и пускают секундомер. Затем фильтр устанавливают поворотом зажима в вертикальном положении между смотровыми стеклами и по секундомеру определяют момент исчезновения пятна этилового эфира на фильтре, наблюдая через смотровые стекла. Летучесть определяют при температуре (20±2) °С. Затем бюретку промывают и наполняют испытуемым растворителем. Время испарения его определяют так же, как этилового эфира. Одинаковую скорость истечения капли эфира и испытуемого растворителя обеспечивают одинаковой высотой жидкостей в бюретке. Беззольные фильтры должны быть одинакового размера и толщины.
(Измененная редакция, Изм. N 2, 4).
3.4.3. Обработка результатов
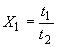
Летучесть по этиловому эфиру (X1) вычисляют по формуле (1)
где t1 - продолжительность испарения испытуемого растворителя, с;
t2 - продолжительность испарения этилового эфира, с.
(Измененная редакция, Изм. N 5).
3.5. Кислотное число определяют по ГОСТ 23955-80 (разд.3).
В коническую колбу Кн-1-250 ТС по ГОСТ 25336 отмеряют пипеткой 1-2-2-50 по ГОСТ 29227 50 см3 испытуемого растворителя и титруют раствором гидроокиси калия молярной концентрации c(KОН)=0,05 моль/дм3 в присутствии фенолфталеина. Определение проводят при температуре (20±2) °С.
При определении кислотного числа растворителей нагревание на водяной бане отобранной пробы перед проведением испытания проводят при 40 °С в течение 30 мин с применением воздушного холодильника.
При определении кислотного числа растворителей, находящихся в хранилищах (накопительных емкостях), где в качестве инертного газа применяется углекислый газ (CO2), нагревание отобранной пробы перед проведением испытания проводят на кипящей водяной бане в течение 30 мин с холодильником ХШ-1-300 29/32 ХС (ГОСТ 25336-82) или холодильником ХПТ-2-400 29/32 ХС (ГОСТ 25336-82).
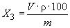
Кислотное число (X2) в мг КОН/г растворителя вычисляют по формуле (2)
где V - объем раствора гидроокиси калия молярной концентрации c(KОН)=0,05 моль/дм3 точно 0,05 моль/дм3, мг/см3;
2,8 - титр раствора гидроокиси калия молярной концентрации c(KОН)=0,05 моль/дм3 точно 0,05 моль/дм3, мг/см3;
p - плотность растворителя, измеренная перед отбором пробы в колбу для титрования, г/см3.
(Измененная редакция, Изм. N 4, 5).
3.5.1-3.5.3. (Исключены, Изм. N 3).
3.6. Определение числа коагуляции
3.6.1. Применяемые аппаратура, материалы:
смола поливинихлоридная хлорированная средневязкая ПСХ-ЛС;
спирт этиловый ректификованный технический по ГОСТ 18300-87, высшего сорта;
весы лабораторные среднего класса точности по ГОСТ 24104*;
_______________
* На территории Российской Федерации действует ГОСТ 24104-2001. - Примечание изготовителя базы данных.
бюретка I-3-2-100-0,1 по ГОСТ 29251;
колба коническая Кн-1-250 ТС по ГОСТ 25336.
Допускается использовать приборы, посуду и реактивы с аналогичным классом точности и квалификацией по другим нормативным документам или импортные.
(Измененная редакция, Изм. N 5).
3.6.2. Проведение испытания
Для определения числа коагуляции растворителей марок Р-4, Р-4А, Р-5, Р-5А, Р-12 применяют смолу марки ПСХ-ЛС.
В коническую колбу вместимостью 250 см3 помещают 2,50 г сухой смолы и прибавляют 97,50 г испытуемого растворителя. Колбу плотно закрывают. Содержимое колбы периодически взбалтывают (через 10-15 мин). После получения однородного раствора к нему добавляют из бюретки при постоянном взбалтывании Этиловый спирт до появления неисчезающей мути или осадка на стенках колбы.
Испытание проводят при (20±2) °С.
(Измененная редакция, Изм. N 2, 3, 4).
3.6.3. Обработка результатов
Число коагуляции (X3) в процентах вычисляют по формуле (3)
где V - объем этилового спирта, добавленный к раствору смолы, см3;
m - масса навески раствора смолы (смола и растворитель), г;
p - плотность этилового спирта при температуре определения, г/см3.
(Измененная редакция, Изм. N 4).
3.7 Разбавляющее действие
3.7.1. Применяемые аппаратура, материалы:
вискозиметр типа ВЗ-246 с диаметром сопла 4 мм;
сито с сеткой нормальной точности N 01-02 по ГОСТ 6613;
секундомер;
микрометр по ГОСТ 6507;
пластинки из стали марок 08 кп и 08 пс размером 150х70 мм, толщиной 0,5-1,0 мм по ГОСТ 16523;
эмаль ХВ-16 черного, темно-коричневого или синего цвета по технической документации. Допускается применение других марок эмалей, для разбавления которых применяют данные растворители.
3.7.2. Условия проведения испытаний:
температура окружающего воздуха - (20±2) °С;
относительная влажность окружающего воздуха - (65±5)%.
3.7.3. Подготовка к испытанию
Для определения разбавляющего действия растворителей марок Р-4, Р-4А, Р-5, Р-5А, Р-12 применяют эмаль ХВ-16 черного, темно-коричневого или синего цвета по нормативной документации.
Перед испытанием эмаль ХВ-16 разбавляют испытуемым растворителем до рабочей вязкости 14-22 с по вискозиметру типа ВЗ-246 с диаметром сопла 4 мм при температуре (20±2) °С.
Разбавленную эмаль фильтруют через сито с сеткой нормальной точности N 01-02 по ГОСТ 6613.
3.7.4 Проведение испытания
Приготовленную эмаль ХВ-16 наносят при помощи краскораспылителя до полного укрытия окрашиваемой поверхности пластин из стали марок 08 кп или 08 пс по ГОСТ 16523. Толщина покрытия окрашиваемой поверхности пластин должна быть не менее 20 мкм.
Толщину покрытия определяют микрометром по ГОСТ 6507.
Во время высыхания покрытия при температуре (20±2) °С и относительной влажности (65±5)% наблюдают за характером изменения поверхности.
Растворитель выдерживает испытание, если после высыхания отсутствуют свертывание и расслаивание материала, побеление пленки на поверхности, а также белесоватые или матовые пятна.
3.7-3.7.4. (Введены дополнительно, Изм. N 5).
4. УПАКОВКА, МАРКИРОВКА, ТРАНСПОРТИРОВАНИЕ И ХРАНЕНИЕ
4.1. Упаковка - по ГОСТ 9980.3 (группа 16) и ГОСТ 26319.
Растворители упаковывают в узкогорлую металлическую тару (канистры, фляги, бочки, барабаны) по ГОСТ 5105, ГОСТ 5799, ГОСТ 13950, ГОСТ 6247, ГОСТ 30765, ГОСТ 21029 и другой технической документации.
Растворители, предназначенные для розничной торговли, упаковывают в металлические канистры вместимостью до 10 дм3 по ГОСТ 5105, металлические банки по ГОСТ 30766 и ГОСТ 6128, в стеклянную тару для бытовой химии по нормативной документации, в полимерную потребительскую тару из полиэтилентерефталата по нормативной документации.
Потребительская тара с растворителем должна быть упакована в транспортную тару в соответствии с ГОСТ 9980.3.
Укупорочные средства тары должны обеспечивать герметичность упаковки и быть стойкими к воздействию растворителей. Требования к укупорочным средствам должны быть указаны в нормативном документе на конкретный вид тары или на конкретный вид укупорочного средства.
4.2. Маркировка - по ГОСТ 9980.4.
Транспортная маркировка - по ГОСТ 14192 с нанесением манипуляционных знаков "Беречь от солнечных лучей", "Верх", "Герметичная упаковка" и знака опасности по ГОСТ 19433, класс 3, подкласс 3.2, черт.3, классификационный шифр 3212. Номер ООН 1263.
4.3. Транспортирование и хранение - по ГОСТ 9980.5.
Растворители железнодорожным транспортом транспортируют в собственных цистернах грузополучателя (грузоотправителя) или арендованных в соответствии с Правилами перевозок железнодорожным транспортом грузов наливом в вагонах-цистернах и в вагонах бункерного типа для перевозок нефтебитума, а также в специализированных контейнерах-цистернах, предназначенных для перевозки жидких опасных грузов класса 3, в соответствии с Правилами перевозок опасных грузов по железным дорогам.
Растворители, упакованные в транспортную тару, транспортируют в крытых грузовых вагонах и в универсальных контейнерах в соответствии с Правилами перевозок опасных грузов по железным дорогам и Техническими условиями размещения и крепления грузов в вагонах и контейнерах.
Раздел 4. (Измененная редакция, Изм. N 5).
5. ГАРАНТИИ ИЗГОТОВИТЕЛЯ
5.1. Изготовитель гарантирует соответствие растворителей требованиям настоящего стандарта при соблюдении условий транспортирования и хранения.
(Измененная редакция, Изм. N 2).
5.2. Гарантийный срок растворителей - не менее одного года с даты изготовления.
(Измененная редакция, Изм. N 5).
6. ТРЕБОВАНИЯ БЕЗОПАСНОСТИ
6.1. Растворители марок Р-4, Р-4А, Р-5, Р-5А, Р-12 представляют собой легковоспламеняющиеся жидкости с характерным запахом, оказывающие сильное раздражающее действие на кожу, слизистую оболочку глаз и верхних дыхательных путей.
Возможные пути поступления вредных веществ в организм: ингаляционный и через кожные покровы.
Контроль за содержанием вредных веществ в воздушной среде на рабочем месте - по ГОСТ 12.1.005.
Определение содержания вредных веществ в воздухе рабочей зоны проводят по методикам, разработанным по ГОСТ 12.1.005 и ГОСТ 12.1.016 и утвержденным органами здравоохранения.
Работы, связанные с изготовлением и применением растворителей, должны соответствовать действующим санитарным правилам и нормам*.
________________
* Перечень нормативных документов, действующих в Российской Федерации, представлен в приложении 1.
6.2. Производство, испытания и применение растворителей должно соответствовать требованиям ГОСТ 12.1.004, ГОСТ 12.3.002 и ГОСТ 12.3.005.
6.3. Основные характеристики пожароопасности растворителей марок Р-4, Р-4А, Р-5, Р-5А, Р-12 представлены в табл.3.
Таблица 3
Основные характеристики пожароопасности и токсичности растворителей, входящих в состав растворителей марок Р-4, Р-4А, Р-5, Р-5А, Р-12, представлены в табл.4.
Таблица 4
|
Пожароопасные характеристики |
||||||||
|
Наиме- |
Класс опасности по ГОСТ 12.1.005 |
Предельно допустимая концентрация (ПДК) паров в воздухе рабочей зоны, мг/м3, по ГОСТ 12.1.005 |
Температура, °С |
Темпера- |
||||
|
вспышки в закрытом тигле |
вспышки в открытом тигле |
воспла- |
само- |
Ниж- |
Верх- |
|||
|
IV |
200 |
Минус |
Минус |
Минус 5 |
535 |
Минус 20 |
6 |
|
|
III |
50 |
4 |
5 |
- |
536 |
6 |
37 |
|
|
Ксилол |
III |
50 |
29 |
- |
- |
590 |
24 |
50 |
|
Бутил-ацетат |
IV |
200 |
29 |
35 |
35 |
330 |
22 |
61 |
6.4. Лица, связанные с изготовлением и применением растворителей, должны быть обеспечены специальной одеждой и средствами индивидуальной защиты по ГОСТ 12.4.011 и ГОСТ 12.4.068.
6.5. Изготовление и применение растворителей проводят в помещениях, снабженных местной и общей приточно-вытяжной вентиляцией по ГОСТ 12.4.021.
6.6. При загорании растворителей применяют средства огнетушения: кошму, песок, пенные огнетушители, пенные установки, тонкораспыленную воду, углекислый газ.
Раздел 6. (Измененная редакция, Изм. N 5).
7. ТРЕБОВАНИЯ ОХРАНЫ ОКРУЖАЮЩЕЙ СРЕДЫ
7.1. При производстве растворителей образуются жидкие или газообразные отходы, которые могут вызвать загрязнение атмосферного воздуха и воды.
7.2. С целью охраны атмосферного воздуха от загрязнений осуществляют контроль за соблюдением предельно допустимых выбросов (ПДВ) по ГОСТ 17.2.3.02 в порядке, установленном соответствующим органом исполнительной власти.
7.3. С целью охраны окружающей среды от загрязнений сточными водами организуют контроль за соблюдением предельно допустимых концентраций и ориентировочных безопасных уровней воздействия вредных веществ для воды рыбохозяйственных водоемов.
7.4. Все жидкие отходы в виде загрязненных растворителей возвращают на производство или направляют на очистные сооружения.
7.5. Обезвреживание отходов растворителей проводят путем их сбора и последующей переработки для повторного использования.
Раздел 7. (Введен дополнительно, Изм. N 5).
Приложение. (Исключено, Изм. N 4).
ПРИЛОЖЕНИЕ 1 (справочное). Нормативные документы, действующие в Российской Федерации
ПРИЛОЖЕНИЕ 1
Справочное
ПРИЛОЖЕНИЕ 1. (Введено дополнительно, Изм. N 5).
официальное издание
М.: Издательство стандартов, 1993