Новости Нефтегазовая пром.
Выставки Наука и технология


Пластификаторы ГОСТ 8728-88

Пластификаторы. Технические условия (с Изменением N 1)ГОСТ 8728-88


ГОСТ 8728-88

Группа Л27

МЕЖГОСУДАРСТВЕННЫЙ СТАНДАРТ

ПЛАСТИФИКАТОРЫ

Технические условия

Plasticizers. Specifications



МКС 83.040.30 
ОКП 24 9300 0000

Дата введения 1990-01-01

ИНФОРМАЦИОННЫЕ ДАННЫЕ

1. РАЗРАБОТАН И ВНЕСЕН Всесоюзным научно-исследовательским институтом по нормализации в машиностроении

2. УТВЕРЖДЕН И ВВЕДЕН В ДЕЙСТВИЕ Постановлением Государственного комитета СССР по управлению качеством продукции и стандартам от 26.11.88 N 3987

3. СТАНДАРТ СООТВЕТСТВУЕТ СТ СЭВ 4319-83

4. ВВЕДЕН ВПЕРВЫЕ

5. ССЫЛОЧНЫЕ НОРМАТИВНО-ТЕХНИЧЕСКИЕ ДОКУМЕНТЫ 

Обозначение НТД, на который дана ссылка

Номер пункта, подпункта

ГОСТ 12.1.005-88

1.3.3

ГОСТ 12.1.007-76

1.3.2

ГОСТ 12.4.011-89

1.3.4

ГОСТ 1341-97

3.12.1

ГОСТ 1760-86

3.12.1

ГОСТ 1770-74

3.6.1, 3.7.1, 3.8.1, 3.9.1

ГОСТ 2517-85

3.1

ГОСТ 2850-95

3.11.1

ГОСТ 3118-77

3.8.1

ГОСТ 4204-77

3.8.1

ГОСТ 4333-87

3.9

ГОСТ 4919.1-77

3.6.1, 3.7.1, 3.8.1

ГОСТ 5799-78

1.5.1

ГОСТ 6247-79

1.5.1

ГОСТ 6259-75

3.7.1

ГОСТ 6581-75

3.10

ГОСТ 6709-72-->ГОСТ 6709-72

3.8.1

ГОСТ 9078-84

1.5.4

ГОСТ 9439-85

3.12.1

ГОСТ 9557-87

1.5.4

ГОСТ 10674-82

1.5.1

ГОСТ 13950-91

1.5.1

ГОСТ 14192-96

1.4.1

ГОСТ 17308-88

1.5.3

ГОСТ 18300-87

3.6.1, 3.7.1, 3.8.1

ГОСТ 18329-73

3.5

ГОСТ 18522-93

3.4

ГОСТ 18573-86

1.5.4

ГОСТ 19433-88

1.4.1

ГОСТ 21029-75

1.5.1

ГОСТ 21650-76

1.5.4

ГОСТ 24104-88

3.6.1, 3.7.1, 3.8.1, .3.11.1, 3.12.1

ГОСТ 24363-80

3.8.1

ГОСТ 24597-81

1.5.4

ГОСТ 25336-82

3.3, 3.6.1, 3.7.1, 3.8.1, 3.11.1

ГОСТ 25794.1-83

3.6.1, 3.7.1, 3.8.1

ГОСТ 25794.3-83

3.8.2

ГОСТ 28498-90

3.7.1, 3.11.1, 3.12.1

ГОСТ 29169-91

3.8.1

ГОСТ 29251-91

3.6.1, 3.7.1, 3.8.1, 3.12.1

6. Ограничение срока действия снято по протоколу N 4-93 Межгосударственного совета по стандартизации, метрологии и сертификации (ИУС 4-94)

7. ИЗДАНИЕ (сентябрь 2003 г.) с Изменением N 1, утвержденным в декабре 1990 г. (ИУС 4-91)

Настоящий стандарт распространяется на пластификаторы, представляющие собой сложные эфиры различных спиртов и дикарбоновых кислот.

Пластификаторы предназначены для пластификации виниловых смол и других полимеров в производстве кабельных пластикатов, искусственных кож, резино-технических изделий, полимерных строительных материалов, линолеумов, пленочных и листовых материалов, упаковочных пленок, поливинилхлоридных прокладок для холодильников, кронен-корочных прокладок и для других целей.

Требования настоящего стандарта являются обязательными.

(Измененная редакция, Изм. N 1).

1. ТЕХНИЧЕСКИЕ ТРЕБОВАНИЯ

1.1. Пластификаторы должны изготовляться в соответствии с требованиями настоящего стандарта по технологическому регламенту, утвержденному в установленном порядке.

1.2. Характеристики

1.2.1. Марки пластификаторов приведены в табл.1.

Таблица 1

Марка

Условное обозначение

Эмпирическая формула

Молекулярная масса

Диметилфталат (Диметиловый эфир ортофталевой кислоты)

ДМФ

C10H10O4

194,19

Дибутилфталат (Ди-н-бутиловый эфир ортофталевой кислоты)

ДБФ

C16H22O4

273,35

Ди-(2-этилгексил)-фталат
(Ди-2-этилгексиловый эфир ортофталевой кислоты)

ДОФ

C24H38O4

390,56

Ди-(н-алкил)-фталат
(Ди-н-алкиловый эфир ортофталевой кислоты и спиртовых фракций C7-C9, в которых радикал алкил имеет нормальное строение и содержит преимущественно 7-9 атомов углерода)

ДАФ-789

C8H4O4P2

390,0

Ди-(2-этилгексил)-адипинат
(Ди-2-этилгексиловый эфир адипиновой кислоты)

ДОА

C22H42O4

370,57

Дибутилсебацинат
(Ди-н-бутиловый эфир себациновой кислоты)

ДБС

C18H34O4

314,46

Ди-(2-этилгексил)-себацинат
(Ди-2-этилгексиловый эфир себациновой кислоты)

ДОС

C26H50O4

426,68

1.2.2. Пластификаторы марок ДБФ, ДОФ, ДАФ-789, ДОА и ДОС изготовляют высшего, первого и второго сортов в соответствии с табл.2.

Таблица 2

Сорт

Назначение

ДБФ, ДОФ, ДАФ-789

ДОА, ДОС

Высший

Для светопрозрачных неокрашенных, светостойких материалов на остове ПВХ и пр.

Для светопрозрачных пленок и малоокрашенных изделий

Первый

Для окрашенных в светлые тона полимерных материалов в производстве искусственных кож, лаков и др.

Для окрашенных в темные тона полимерных материалов, а также для саженаполненных изделий и пр.

Второй

Для окрашенных в темные тона полимерных материалов, а также для саженаполненных изделий и пр.

-

1.2.3. По показателям пластификаторы должны соответствовать требованиям и нормам, указанным в табл.3.

Таблица 3

Наименование
показателя

Норма для марок и сортов

Метод
испытания

ДМФ

ДБФ

ДОФ

Высший сорт

Первый сорт

Второй сорт

Высший сорт

Первый сорт

Второй сорт

ОКП 24
9311
0200

ОКП 24
9313
0130

ОКП 24
9313
0140

ОКП 24
9313
0150

ОКП 24
9321
0130

ОКП 24
9321
0140

ОКП 24
9321
0150

1. Внешний вид

Прозрачная жидкость без механических примесей

По п.3.3

2. Цветность по платино- кобальтовой шкале,
ед. Хазена,
не более

50

50

80

200

40

100

200

По ГОСТ 18522 и п.3.4 настоящего стандарта

3. Плотность при 20°С, г/см3

1,190-1,194

1,045-1,049

1,045-1,049

0,982-0,986

0,982-0,986

По ГОСТ 18329 и п.3.5 настоящего стандарта

4. Кислотное число, мг КОН/г, не более

0,07

0,07

0,07

0,10

0,07

0,07

0,10

По п.3.6

5. Кислотное число после прогрева, мг КОН/г, не более

0,30

-

-

-

-

-

-

По п.3.7

6. Число омыления, мг КОН/г

571-583

399-407

399-407

284-290

284-290

По п.3.8

7. Температура вспышки, °С, не ниже

-

168

168

168

205

205

205

По ГОСТ 4333 и п.3.9 настоящего стандарта

8. Удельное объемное электрическое сопротивление, Ом·см,
не менее

-

-

-

-

1,0·10

1,0·10 

1,0·10 

По ГОСТ 6581 и п.3.10 настоящего стандарта

9. Массовая доля летучих веществ, %, не более

-

0,3

0,3

-

0,10

0,10

0,10

По п.3.11

10. Стабиль- ность при сплавлении с поливинил- бутиралем

-

-

-

-

-

-

-

По п.3.12



Продолжение табл.3

Наименование показателя

Норма для марок и сортов

Метод испытания

ДАФ-789

ДОА

ДБС

ДОС

Высший сорт

Первый сорт

Второй сорт

Высший сорт

Первый сорт

Высший сорт

Первый сорт

ОКП 24
9314
0130

ОКП 24
9314
0140

ОКП 24
9314
0150

ОКП 24
9364
0130

ОКП 24
9364
0140

ОКП 24
9341
0200

ОКП 24
9342
0230

ОКП 24
9342
0240

1. Внешний вид

Прозрачная жидкость без механических примесей

По п.3.3

2. Цветность по платино- кобальтовой шкале, ед. Хазена, не более

50

125

300

50

80

50

50

200

По ГОСТ 18522 и п.3.4 настоящего стандарта

3. Плотность при 20°С, г/см3

0,975- 0,980

0,975-0,980

0,923-0,930

0,934-0,938

0,913-0,919

По ГОСТ 18329 и п.3.5 настоящего стандарта

4. Кислотное число, мг КОН/г, не более

0,07

0,07

0,10

0,07

0,10

0,04

0,12

0,12

По п.3.6

5. Кислотное число после прогрева, мг КОН/г, не более

-

-

-

-

-

-

-

-

По п.3.7

6. Число омыления, мг КОН/г

280-300

280-300

298-307

354-359

261-270

По п.3.8

7. Температура вспышки, °С, не ниже

200

200

200

194

190

183

215

215

По ГОСТ 4333 и п.3.9 настоящего стандарта

8. Удельное объемное электрическое сопротивление, Ом·см, не менее

8,0·10 

5·10

5·10 

-

-

-

1,0·10

1,0·10 

По ГОСТ 6581 и п.3.10 настоящего стандарта

9. Массовая доля летучих веществ, %, не более

0,20

0,20

0,20

-

-

-

0,10

0,10

По п.3.11

10. Стабильность при сплавлении с поливинил- бутиралем

-

-

-

-

-

Соответствует требованиям п.3.13

-

-

По п.3.12


Дополнительные показатели приведены в приложении. 

(Измененная редакция, Изм. N 1).

1.2.4. Пример условного обозначения пластификатора дибутилфталат высшего сорта: 


Пластификатор ДБФ высшего сорта ГОСТ 8728-88

 1.3. Требования безопасности

1.3.1. Пластификаторы представляют собой малолетучие высококипящие жидкости, практически не растворимые в воде, при обычных условиях устойчивые к гидролизу и к воздействию кислорода воздуха. Температура вспышки и воспламенения, предельно допустимая концентрация паров пластификаторов в воздухе рабочей зоны производственных помещений приведены в табл.4. 

Таблица 4

Наименование показателя

Значения для марок

ДМФ

ДБФ

ДОФ

ДАФ-789

ДОА

ДБС

ДОС

1. Температура вспышки, °С

149

168

205

200

190

183

215

2. Температура воспламенения, °С

157

202

249

238

215

194

Выше 240

3. Предельно допустимая концентрация паров в воздухе рабочей зоны, мг/м3

0,5

0,5

1,0

1,0

-

10

10

1.3.2. Эфиры о-фталевой кислоты по воздействию на организм относятся ко 2-му классу опасности, а эфиры себациновой и адипиновой кислоты - к 3-му классу опасности по ГОСТ 12.1.007.

1.3.3. Контроль за состоянием воздушной среды - по ГОСТ 12.1.005.

1.3.4. Производственные помещения должны быть обеспечены приточно-вытяжной вентиляцией. При работе с пластификаторами следует применять специальную одежду и средства индивидуальной защиты по ГОСТ 12.4.011.

При загорании пластификатор тушат тонко распыленной водой или пеной.

1.4. Маркировка

1.4.1. Транспортная маркировка - по ГОСТ 14192 с указанием следующих дополнительных данных:

- наименования предприятия-изготовителя и его товарный знак;

- марки пластификатора и его сорта;

- номера партии;

- даты изготовления;

- обозначения настоящего стандарта;

- манипуляционных знаков: "Герметичная упаковка"; для бутылей - "Верх".

Для пластификатора марки ДОФ, предназначенного для производства медицинского пластиката, должна быть предупредительная надпись: "Для ПМ".

Пластификаторы относятся к классу 9, подклассу 9.2, группа 3, категория 3 по ГОСТ 19433.

(Измененная редакция, Изм. N 1).

1.5. Упаковка

1.5.1. Пластификаторы упаковывают в стеклянные бутыли, бочки из алюминия по ГОСТ 21029, железнодорожные цистерны из алюминия.

По согласованию с потребителем допускается упаковывать пластификаторы в стальные железнодорожные цистерны по ГОСТ 10674*, стальные автоцистерны, стальные бочки по ГОСТ 6247 и ГОСТ 13950, а также упаковывать дибутилфталат в стальные фляги ФС по ГОСТ 5799.
________________
* На территории Российской Федерации действует ГОСТ Р 51659-2000.

1.5.2. С 1 октября по 15 апреля ДМФ упаковывают в алюминиевые бочки. ДОФ, предназначенный для производства медицинского пластиката, упаковывают в стеклянные бутыли.

1.5.3. Бутыли закупоривают стеклянными притертыми или навинчивающимися пробками. Пробку и горло бутыли покрывают тканью, пергаментом, целлофаном или полиэтиленовой пленкой и обвязывают шпагатом по ГОСТ 17308.

1.5.4. Бутыли помещают в ящики N 4, 18 по ГОСТ 18573, выложенные внутри мягким упаковочным материалом.

Бочки и железнодорожные цистерны должны быть закупорены герметично с применением уплотнительных материалов из асбеста, прессшпона или других материалов, на которые не действуют пластификаторы, и опломбированы по требованию потребителя.

Пакетирование бочек вместимостью до 0,2 м3 проводят с использованием средств крепления по ГОСТ 21650 и поддонов по ГОСТ 9557 и ГОСТ 9078. Размеры и масса пакета должны соответствовать ГОСТ 24597.

(Измененная редакция, Изм. N 1).

2. ПРИЕМКА

2.1. Пластификаторы принимают партиями. Партией считают количество пластификатора одной марки, сорта, однородного по всем показателям качества и сопровождаемого одним документом о качестве.

Масса партии не должна превышать 60 т.

При транспортировании пластификаторов в железнодорожных цистернах за партию принимают каждую цистерну.

В документе о качестве указывают следующие данные:

- наименование предприятия-изготовителя или его товарный знак;

- марку пластификатора и его сорт;

- номер партии;

- массу нетто;

- количество упакованных единиц в партии;

- результаты испытаний или подтверждение о соответствии пластификатора требованиям настоящего стандарта;

- дату изготовления;

- обозначение настоящего стандарта.

2.2. Объем выборки для контроля качества пластификаторов составляет 10% объема продукта.

2.3. Показатели "Число омыления" и для пластификаторов ДОФ, ДОС, ДАФ-789 и ДБФ, предназначенных для изготовления игрушек из ПВХ-пластизолей, "Массовая доля летучих веществ" изготовитель проверяет периодически не реже одного раза в три месяца.

(Измененная редакция, Изм. N 1).

2.4. Показатель "Кислотное число после прогрева" изготовитель проверяет для ДМФ, предназначенного для производства ацетилцеллюлозного этрола.

2.5. Показатель "Удельное объемное электрическое сопротивление" изготовитель проверяет для марок ДОФ и ДОС, предназначенных для производства кабельного пластиката, а также по требованию потребителя, для марки ДАФ-789 - только по требованию потребителя.

(Измененная редакция, Изм. N 1).

2.6. Показатель "Стабильность при сплавлении с поливинилбутиралем" изготовитель проверяет для ДБС, предназначенного для производства поливинилбутиральной пленки.

2.7. При получении неудовлетворительных результатов испытания хотя бы по одному из показателей по нему проводят повторные испытания на удвоенной выборке, взятой от той же партии. Результаты повторного испытания распространяют на всю партию.

2.8. При получении неудовлетворительных результатов испытаний, проводимых периодически, изготовитель проводит испытания на каждой партии до получения положительных результатов не менее чем на двух партиях подряд.

3. МЕТОДЫ ИСПЫТАНИЯ

3.1. Точечные пробы пластификатора отбирают пробоотборником или пробоотборной трубкой по ГОСТ 2517.

Из цистерн пробу отбирают пробоотборником с трех уровней. Из бутылей, бочек и фляг пробу отбирают погружением пробоотборной трубки. Перед отбором пробы пластификатор перемешивают.

3.2. Отобранные точечные пробы соединяют вместе, тщательно перемешивают и отбирают среднюю пробу объемом не менее 1 дм3.

Среднюю пробу делят на две части и помещают в чистые сухие банки. На банки наклеивают этикетки с обозначением:

- наименования предприятия-изготовителя;

- марки пластификатора;

- номера партии;

- даты изготовления;

- даты отбора пробы.

Одну банку передают для проведения испытания, другую хранят в течение гарантийного срока хранения.

3.3. Внешний вид пластификатора определяют визуально просмотром испытуемой пробы в проходящем свете в пробирке П1-21-200-ХС или П2-21-200-ХС по ГОСТ 25336.

3.4. Цветность определяют по ГОСТ 18522 визуально или фотоколориметрическим методом. При определении цветности фотоколориметрическим методом применяют:

для цветности до 100 единиц Хазена - кювету с толщиной слоя 50 мм и светофильтр длиной волны 400 нм (синий);

для цветности от 100 до 300 единиц Хазена - кювету с толщиной слоя 30 мм и светофильтр длиной волны 400 нм (синий).

Допускаемые расхождения между параллельными определениями даны в табл.5.

Таблица 5

Цветность

Допускаемые расхождения, единиц Хазена, не более

От

0

до

50

5

Св.

50

"

100

10

"

100

"

200

25

"

200

"

300

50


При возникновении разногласий в оценке цветности определение проводят:

- для пластификаторов с цветностью до 100 единиц Хазена - визуально;

- для пластификаторов с цветностью выше 100 единиц Хазена - фотоколориметрическим методом.

3.5. Плотность определяют с помощью денсиметра по ГОСТ 18329.

3.6. Определение кислотного числа

Метод основан на реакции нейтрализации остаточной кислотности в пластификаторе раствором щелочи 

3.6.1. Аппаратура, реактивы, посуда

Цилиндр 1-100 по ГОСТ 1770.

Колба коническая КН-1-250-29/32ТС или КН-2-250-34ТС, по ГОСТ 25336 .

Бюретки 1-2-10, 2-2-10, 3-2-10, 6-2-5, 3-2-5, 7-2-10 по ГОСТ 29251.

Весы лабораторные общего назначения по ГОСТ 24104*, 2-го класса точности с наибольшим пределом взвешивания 200 г, или любые другие с соответствующими метрологическими характеристиками.
________________
* С 1 июля 2002 г. введен в действие ГОСТ 24104-2001

Секундомер.

Спирт этиловый ректификованный технический по ГОСТ 18300, высший или первый сорт, нейтрализованный по фенолфталеину.

Натрия гидроокись раствор концентрации с(NaOH)=0,05 моль/дм3 (0,05 н), готовят по ГОСТ 25794.1.

Фенолфталеин, спиртовой раствор, с массовой долей 1%, готовят по ГОСТ 4919.1.

3.6.2. Подготовка к анализу

Приготовление нейтрализованного раствора спирта: к 100 см3 спирта добавляют 3-6 капель раствора фенолфталеина и титруют раствором гидроокиси натрия до слаборозового окрашивания, устойчивого не менее 30 с.

3.6.3. Проведение анализа

Около 50,000 г пластификатора взвешивают в конической колбе и приливают цилиндром 50 см3 этилового спирта. К полученному раствору прибавляют 3-6 капель фенолфталеина и титруют из бюретки раствором гидроокиси натрия до появления слаборозового окрашивания, устойчивого в течение 30 с.

3.6.4. Обработка результатов

Кислотное число (X) в мг КОН/г вещества вычисляют по формуле где V - объем раствора гидроокиси натрия концентрации точно 0,05 моль/дм3 (0,05 н), израсходованный на титрование пробы пластификатора, см3;
2,805 - масса гидроокиси калия, эквивалентная 1 см3 раствора гидроокиси натрия концентрации точно 0,05 моль/дм3 (0,05 н), мг/см3;

m - масса пробы, г.

За результат анализа при норме от 0,01 до 0,12 мг КОН/г принимается среднеарифметическое результатов двух параллельных определений, расхождение между которыми не превышает 0,01 мг КОН/г вещества. Результат анализа округляют до второго десятичного знака. Предел допускаемого значения суммарной погрешности анализа составляет ±0,005 мг КОН/г при доверительной вероятности P=0,95.

3.7. Определение кислотного числа после прогрева

3.7.1. Аппаратура, посуда, реактивы

Баня с внутренним диаметром не менее 150 мм и высотой не менее 180 мм, снабженная крышкой с отверстиями в центре для термометра и мешалки с симметрично расположенными отверстиями для пробирок. Мешалка представляет собой стержень с проволочным кольцом, входящим в пространство между пробирками и стенками бани.

Весы лабораторные общего назначения по ГОСТ 24104, 2-го класса точности, с наибольшим пределом взвешивания 200 г или любые другие с соответствующими метрологическими характеристиками.

Электрическая плитка с закрытым обогревом.

Термометр на 250°С по ГОСТ 28498, тип А.

Пробирка П1-21-200ХС и П2-21-200ХС по ГОСТ 25336.

Бюретка 1-2-10, 2-2-10, 3-2-10, 6-2-5 по ГОСТ 29251.

Секундомер.

Цилиндр 1-100 по ГОСТ 1770.

Спирт этиловый ректификованный технический по ГОСТ 18300, высший или первый сорт, приготовленный по п.3.6.2.

Натрия гидроокись, раствор концентрации с(NaOH)=0,05 моль/дм3 (0,05 н) готовят по ГОСТ 25794.1.

Фенолфталеин, спиртовой раствор с массовой долей 1%, готовят по ГОСТ 4919.1.

глицерин по ГОСТ 6259, х.ч.

Фольга оловянная.

(Измененная редакция, Изм. N 1).

3.7.2. Проведение анализа

В три чистые сухие пробирки помещают по 25 см3 пластификатора, отмеренного цилиндром. В одну из пробирок через отверстие в резиновой пробке вставляют термометр так, чтобы шарик ртути погружался в пластификатор примерно на 25 мм. Другие две пробирки закрывают пробками с отверстиями для выхода воздуха. Пробирки должны быть обернуты оловянной фольгой.

Все пробирки помещают в предварительно нагретую до 207-210°С глицериновую баню так, чтобы уровень глицерина превышал уровень пластификатора примерно на 25-30 мм, при этом температура бани при погружении пробирок не должна падать ниже 200°С. Скорость нагрева глицериновой бани регулируется так, чтобы температура в пробирке с пластификатором достигала 205°С за 8-10 мин. Затем пластификатор выдерживают при (205±2)°С в течение 40 мин.

Через 40 мин с момента погружения пробирки с пробами вынимают, охлаждают на воздухе до комнатной температуры. Затем отбирают из пробирок две пробы около 25,000 г каждая и определяют кислотное число по п.3.6.

За результат анализа принимают среднеарифметическое результатов двух параллельных определений, расхождение между которыми не превышает 0,03 мг КОН/г. Результат анализа округляют до второго десятичного знака. Пределы допускаемого значения суммарной погрешности метода ±0,01 мг КОН/г при доверительной вероятности 0,95.

3.8. Определение числа омыления

Метод основан на реакции омыления сложноэфирных групп пластификатора 1 моль/дм3 раствором щелочи.

3.8.1. Аппаратура, реактивы, посуда

Цилиндр 1-50 по ГОСТ 1770.

Колба КН-250-19/26 по ГОСТ 25336.

Холодильник ХШ-1-200-19/26 ХС или ХШ-1-300-19/26 ХС по ГОСТ 25336.

Бюретки 1-2-50, 2-2-50, 3-2-50 по ГОСТ 29251.

Пипетка 2-2-50 по ГОСТ 29169.

Весы лабораторные общего назначения по ГОСТ 24104, 2-го класса точности, с наибольшим пределом взвешивания 200 г или другие с соответствующими метрологическими характеристиками.

Спирт этиловый ректификованный технический по ГОСТ 18300, высший или первый сорт.

Калия гидроокись по ГОСТ 24363, спиртовой раствор концентрации с(КОН)=1 моль/дм3.

Кислота серная по ГОСТ 4204, раствор концентрации с(H2SO4)=1 моль/дм3 (1 н), готовят по ГОСТ 25794.1.

кислота соляная по ГОСТ 3118, раствор концентрации с(НСI)=1 моль/дм3 (1 н), готовят по ГОСТ 25794.1.

Фенолфталеин, спиртовой раствор с массовой долей 1%, готовят по ГОСТ 4919.1.

Вода дистиллированная по ГОСТ 6709.

3.8.2. Подготовка к анализу

Спиртовой раствор калия гидроокиси концентрации с(КОН)=1 моль/дм3, готовят по ГОСТ 25794.3 с навеской 60 г.

3.8.3. Проведение анализа

Навеску пластификатора, взятую в соответствии с табл.6, взвешивают в конической колбе и приливают 50 см3 спиртового раствора гидроокиси калия и 5 см3 дистиллированной воды. Колбу соединяют с холодильником и нагревают в течение 1 ч на кипящей водяной бане. После охлаждения до комнатной температуры через верхнюю часть холодильника споласкивают его внутреннюю поверхность двумя порциями дистиллированной воды по 20 см3 каждая и содержимое колбы титруют раствором соляной или серной кислот в присутствии фенолфталеина до обесцвечивания. Параллельно в тех же условиях и с теми же реактивами, но без пластификатора, проводят контрольный опыт.

Таблица 6

Наименование пластификатора

Масса навески, г

Диметилфталат

2,2-2,6

Дибутилфталат

3,3-3,7

Ди-(2-этилгексил)-фталат

4,7-5,1

Диалкилфталат-789

4,7-5,8

Ди-(2-этилгексил)-адипинат

4,4-4,8

Дибутилсебацинат

3,8-4,2

Ди-(2-этилгексил)-себацинат

5,2-5,6


(Измененная редакция, Изм. N 1).

3.8.4. Обработка результатов

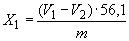
Число омыления (X1) в мг КОН/г вещества вычисляют по формуле где V1 - объем раствора соляной или серной кислоты концентрации 1 моль/дм3 (1 н), израсходованный на титрование в контрольном опыте, см3;
V2 - объем раствора соляной или серной кислоты концентрации 1 моль/дм3 (1 н), израсходованный на титрование раствора с анализируемой пробой, см3;

56,1 - масса гидроокиси калия, содержащаяся в 1 см3 раствора концентрации точно 1 моль/дм3, мг/см3;

m - масса пробы, г.

За результат анализа принимают среднеарифметическое результатов двух параллельных определений, расхождение между которыми не должно превышать 3 мг КОН/г. Результат анализа округляют до целого числа.

Пределы допускаемого значения суммарной погрешности метода составляют ±2 мг КОН/г при доверительной вероятности P=0,95.

3.9. Температуру вспышки определяют по ГОСТ 4333. При разногласиях в оценке температуры вспышки определение проводят по методу Бренкена.

3.10. Удельное объемное электрическое сопротивление определяют по ГОСТ 6581 при напряжении 1000 В и температуре (20±2)°С.

3.11. Определение массовой доли летучих веществ

3.11.1. Аппаратура, посуда и реактивы

Термошкаф с терморегулятором или любой другой сушильный шкаф, обеспечивающий нагрев (100±2)°С.

Термометр на 200°С по ГОСТ 28498, тип А или термометр, обеспечивающий измерение температуры в заданном интервале с точностью 1°С.

Стаканчик СВ 24/1С по ГОСТ 25336.

Эксикатор 2-180 или 2-136 по ГОСТ 25336.

Весы лабораторные общего назначения по ГОСТ 24104, 2-го класса точности с наибольшим пределом взвешивания 200 г или другие с соответствующими метрологическими характеристиками.

Асбестовый картон по ГОСТ 2850.

кальций хлористый прокаленный.

Секундомер.

3.11.2. Проведение анализа

(10,000±1,000) г пластификатора взвешивают в стаканчике, предварительно доведенном до постоянной массы при температуре (100±2)°С, и ставят на асбестовый картон в термошкаф, сняв крышку. Далее навеску выдерживают в термошкафу при температуре (100±2)°С в течение 6 ч. Термометр устанавливают в термошкаф так, чтобы ртутный шарик касался асбестового картона. Затем стаканчик вынимают и, закрыв крышкой, помещают в эксикатор с прокаленным хлористым кальцием и охлаждают не менее 30 мин. Охлажденный стаканчик взвешивают.

3.11.3. Обработка результатов

Массовую долю летучих веществ (X3) в процентах вычисляют по формуле где m1 - масса стаканчика с пробой пластификатора до прогрева, г;
m2 - масса стаканчика с пробой пластификатора после прогрева, г;

m0 - масса пробы пластификатора, г.

За результат анализа принимают среднеарифметическое результатов двух определений, допускаемое расхождение между которыми не должно превышать 0,08% абсолютных. Результат округляют до второго десятичного знака.

Допускаемая суммарная погрешность метода при норме 0,1% - ±0,08%, при норме 0,2% - ±0,06% абс. при доверительной вероятности P=0,95.

(Измененная редакция, Изм. N 1).

3.12. Определение стабильности дибутилсебацината при сплавлении с поливинилбутиралем

3.12.1. Аппаратура, посуда и реактивы

Пипетка 6-2-10 по ГОСТ 29251.

Термошкаф на 200°С с терморегулятором.

Термометр на 200°С по ГОСТ 28498, тип А.

Весы лабораторные общего назначения по ГОСТ 24104, 2-го класса точности с наибольшим пределом взвешивания 200 г или любые другие с соответствующими метрологическими характеристиками.

Поливинилбутираль по ГОСТ 9439, марки ПШ.

Пергамент по ГОСТ 1341.

Подпергамент по ГОСТ 1760.

(Измененная редакция, Изм. N 1).

3.12.2. Проведение анализа

(3,0±0,1) г поливинилбутираля взвешивают в лоточке, который изготовляют из пергамента или подпергамента размером 130 80 мм, загибая края на расстоянии 20-25 мм, края скрепляют. К поливинилбутиралю добавляют пипеткой 5 см3 дибутилсебацината.

Смесь тщательно перемешивают и выдерживают в термошкафу при (135±1)°С в течение 3,5 ч. Пластификатор считается стабильным, если после извлечения лоточков из термошкафа нет пожелтения массы по всей толщине слоя. Это проверяют разрезанием лоточка. Допускается легкое пожелтение поверхности массы.

4. ТРАНСПОРТИРОВАНИЕ И ХРАНЕНИЕ

4.1. Пластификаторы транспортируют всеми видами транспорта в крытых транспортных средствах в соответствии с правилами перевозки грузов, действующими на данном виде транспорта.

4.2. Пластификаторы хранят в таре изготовителя или в герметично закрытых алюминиевых емкостях, а также в емкостях из нержавеющей стали. При хранении пластификаторов необходимо принять меры, обеспечивающие защиту от попадания влаги и воздействия прямых солнечных лучей.

5. ГАРАНТИИ ИЗГОТОВИТЕЛЯ

5.1. Изготовитель гарантирует соответствие пластификатора требованиям настоящего стандарта при соблюдении условий транспортирования и хранения.

5.2. Гарантийный срок хранения пластификатора - 6 месяцев со дня изготовления, а пластификаторов ДБФ и ДБС (упакованных в бочки или стеклянные бутылки) - 1 год со дня изготовления.

ПРИЛОЖЕНИЕ (справочное). ФИЗИКО-ХИМИЧЕСКИЕ ПОКАЗАТЕЛИ ПЛАСТИФИКАТОРОВ

ПРИЛОЖЕНИЕ
Справочное

Наименование показателя

Норма для пластификатора

ДМФ

ДБФ

ДОФ

ДАФ-789

ДОА

ДБС

ДОС

1. Температура кипения, °С, при давлении Па (мм рт.ст.):

1,33·102 (1)

-

-

-

-

-

-

222-228

5,32·102 (4)

-

-

-

-

-

-

-

6,0·102 (4, 5)

-

-

-

-

-

-

-

6,65·102 (5)

-

-

231

-

215-218

-

-

13,3·102 (10)

-

190-195

-

-

240-250

-

-

1·105 (760)

282

340

386

-

-

345-349

-

2. Температура застывания, °С

0

-40

-50

-40

-70

-12

-60

3. Показатель преломления при 20°С

1,5132- 1,5134

1,492- 1,494

1,488- 1,487

1,483- 1,490

1,4460- 1,4480

1,4410- 1,4450

1,4500- 1,4540

4. Динамическая вязкость, Па·с:

при 20°С

11,4·
10

(19-20)·
10

(80-85)· 10

(32-38)·
10

(12-16)·
10

(7-11)·
10

(19-23)·
10

при 25°С

11,4

19-20

80-85

32-38

12-16

7-11

19-23

5. Упругость паров, Па (мм рт. ст.):

при температуре 150°С

1666
(19,5)

133,3 
(1)

6,7 (0,05)

-

13,3 (0,1)

-

-

" " 200°С

13330
(160)

2985 (22,4)

267 
(2)

-

333 (2,5)

-

-

6. Массовая доля летучих веществ при 100°С за 6 ч, %

-

0,3

-

-

-

0,10

-

7. Массовая доля влаги, %

0,25

0,07

0,07

0,1

0,1

0,1

0,05-0,1

8. Растворимость в воде, %, при температуре, °С:

20

0,4

0,004

0,025

25

0,005

0,01

30

0,001




официальное издание
М.: ИПК Издательство стандартов, 2003