Паста кремнийорганическая теплопроводная ГОСТ 19783-74
Паста кремнийорганическая теплопроводная. Технические условия (с Изменениями N 1, 2, 3) ГОСТ 19783-74
ГОСТ 19783-74
Группа Л93
ГОСУДАРСТВЕННЫЙ СТАНДАРТ СОЮЗА ССР
ПАСТА КРЕМНИЙОРГАНИЧЕСКАЯ ТЕПЛОПРОВОДНАЯ
Технические условия
Organo-silicon heat-conducting paste.
Specifications
OК 22 5733 0400
Дата введения 1975-01-01
ИНФОРМАЦИОННЫЕ ДАННЫЕ
1. ВНЕСЕН Министерством химической промышленности СССР
РАЗРАБОТЧИКИ
А.И.Горбунов, Д.А.Уклонский, М.М.Зубова, Н.Г.Меркулов, В.П.Тимошина
2. УТВЕРЖДЕН И ВВЕДЕН В ДЕЙСТВИЕ Постановлением Государственного комитета стандартов Совета Министров СССР от 13.05.74 г. N 1131
3. ВВЕДЕН ВПЕРВЫЕ
4. ССЫЛОЧНЫЕ НОРМАТИВНО-ТЕХНИЧЕСКИЕ ДОКУМЕНТЫ
|
Обозначение НТД, на который дана ссылка |
Номер пункта |
|
ГОСТ 9.080-77 |
1.2, 3.6 |
|
ГОСТ 12.1.007-76 |
2а |
|
Вводная часть |
|
|
ГОСТ 495-92 |
3.6 |
|
3.6 |
|
|
ГОСТ 2991-85 |
4.1 |
|
ГОСТ 5346-78 |
1.2, 3.5 |
|
ГОСТ 6128-81 |
4.1 |
|
ГОСТ 10354-82 |
4.1 |
|
ГОСТ 14192-77** |
4.2 |
|
ГОСТ 14922-77 |
Вводная часть |
|
ГОСТ 18573-86 |
4.1 |
|
ГОСТ 26663-85 |
4.4 |
________________
* Действует ГОСТ 859-2001, здесь и далее.
** Действует ГОСТ 14192-96, здесь и далее.
5. Постановлением Госстандарта от 27.03.92 N 279 снято ограничение срока действия
6. ПЕРЕИЗДАНИЕ (сентябрь 1996 г.) с Изменениями N 1, 2, 3, утвержденными в июле 1981 г., марте 1989 г., сентябре 1992 г. (ИУС 9-81, 6-89, 6-92)
Настоящий стандарт распространяется на кремнийорганическую теплопроводную пасту (КПТ-8), представляющую собой теплостойкую белую массу с коэффициентом теплопроводности при минус 50 °С не менее 1,0 Вт/(м·град), при плюс 100 °С не менее 0,65 Вт/(м·град). Плотность при 20 °С - 2,60-3,00 г/см3.
Для приготовления пасты применяют следующие наполнители: аэросил по ГОСТ 14922 марки А-380; цинковые белила по ГОСТ 202 марок БЦ0 и БЦ1.
Кремнийорганическая теплопроводная паста применяется в качестве состава, обеспечивающего эффективный тепловой контакт между двумя соприкасающимися или сближенными поверхностями в аппаратуре и оборудовании различного назначения. Паста значительно уменьшает контактное тепловое сопротивление и рекомендуется для применения в интервале рабочих температур от минус 60 до плюс 180 °С.
Справочные данные по электрическим свойствам кремнийорганической теплопроводной пасты указаны в приложении.
Требования настоящего стандарта являются обязательными.
(Измененная редакция, Изм. N 2, 3).
1. ТЕХНИЧЕСКИЕ ТРЕБОВАНИЯ
1.1. Кремнийорганическая теплопроводная паста должна быть изготовлена в соответствии с требованиями настоящего стандарта и по технологическому регламенту, утвержденному в установленном порядке.
1.2. По физико-химическим показателям кремнийорганическая теплопроводная паста должна соответствовать требованиям и нормам, указанным в табл.1.
Таблица 1
Пример условного обозначения кремнийорганической теплопроводной пасты КПТ-8:
Паста КПТ-8 ГОСТ 19783-74
(Измененная редакция, Изм. N 3).
2а. ТРЕБОВАНИЯ БЕЗОПАСНОСТИ
Кремнийорганическая теплопроводная паста химически инертна, взрывобезопасна, негорюча, не оказывает раздражающего и общетоксического действия на организм.
Кремнийорганическая теплопроводная паста отнесена к IV классу - вещества малоопасные по ГОСТ 12.1.007.
Обезвреживать отходы пасты КПТ-8 не требуется. Отходы пасты КПТ-8 направляются на полигоны складирования городских бытовых отходов. Паста КПТ-8 не выделяет в воздух рабочей зоны вредных веществ. Сбросы в сточные воды в процессе производства отсутствуют.
Перевозка, хранение и применение пасты не требует специальных мероприятий по технике безопасности, а также использования средств индивидуальной защиты.
(Измененная редакция, Изм. N 3).
2. ПРАВИЛА ПРИЕМКИ
2.1. Кремнийорганическая теплопроводная паста должна поставляться партиями. За партию принимают любое количество однородного продукта, сопровождаемое одним документом о качестве.
2.2. Пробы отбирают от 10% единиц продукции, но не менее чем от трех единиц при партиях, состоящих из 30 и менее единиц продукции.
2.3. Коэффициент теплопроводности проверяют периодически, не реже одного раза в год.
2.4. При получении неудовлетворительных результатов испытания хотя бы по одному из показателей по нему проводят повторные испытания пробы, взятой из удвоенного количества единиц продукции той же партии.
Результаты повторного испытания являются окончательными и распространяются на всю партию.
3. МЕТОДЫ ИСПЫТАНИЙ
3.1. Пробы отбирают одинаковой массы не более 500 г чистым сухим шпателем. Отобранные точечные пробы соединяют вместе, тщательно перемешивают, не расплавляя, и из полученной общей пробы отбирают объединенную пробу массой 1,4 кг, которую помещают в банку с пришлифованной пробкой.
(Измененная редакция, Изм. N 2, 3).
3.2. На банку со средней пробой наклеивают этикетку, на которой указывают: наименование продукта, номер партии, дату отбора пробы.
(Измененная редакция, Изм. N 3).
3.3. Определение внешнего вида
Пасту КПТ-8 наносят шпателем на стеклянную пластинку размером 90х120 мм равномерным слоем толщиной 1-2 мм по всей поверхности и рассматривают на белом фоне в отраженном свете.
3.4-3.4.4. (Исключены, Изм. N 2).
3.5. Определение пенетрации
Пенетрацию пасты КПТ-8 определяют по ГОСТ 5346 со следующими дополнениями:
стакан из нержавеющей стали диаметром 50 мм, высотой 40 мм, толщиной стенок 2 мм заполняют испытуемой пастой так, чтобы она заполнила весь объем стакана до краев. Затем стакан с пастой выдерживают в водяной ванне при 20-25 °С в течение 1 ч и определяют пенетрацию.
За результат испытания принимают среднее арифметическое результатов пяти определений, относительное расхождение между наиболее отличающимися значениями которых не превышает допускаемое расхождение, равное 5%.
3.6. Определение коррозионного воздействия
Коррозионное воздействие пасты на металлы определяют по ГОСТ 9.080 на медной пластинке (М-1 ГОСТ 859 и ГОСТ 495) размером 20х30х2 мм. При определении коррозии пластинки погружают в пасту, надавливая на них через фильтровальную бумагу.
Пасту КПТ-8 считают выдержавшей испытание, если на пластинке на расстоянии не менее 1 мм от отверстия и краев нет заметной невооруженным глазом зелени.
3.5, 3.6. (Измененная редакция, Изм. N 3).
3.7. Определение коэффициента теплопроводности
3.7.1. Применяемые приборы
Измерительная ячейка (черт.2) в виде медного толстостенного цилиндра 1 с внутренним диаметром 30 мм и соотношением длины к диаметру равным 5,4. Торцы цилиндра закрывают теплоизолирующими крышками 3 и 7 и закрепляют накидными гайками. По оси цилиндра устанавливают нагреватель 4 сечением 3 мм, представляющий собой спираль из нихромовой проволоки диаметром 0,5 мм, намотанную на керамическую трубку и защищенную тонкостенным металлическим чехлом.
1 - корпус; 2 - накидная гайка; 3 - крышка; 4 - нагреватель; 5, 6 - термопары; 7 - крышка;
8 - выводы термопар и нагревателя
Черт.2*
_______________
* Черт.1 (Исключен, Изм. N 2)
Для измерения температуры разных слоев пасты ячейка снабжена шестью хромель-алюмелевыми тарированными термопарами 5, 6, спаи которых располагаются в центральном сечении ячейки 8 на окружностях радиусов r1 и r2;
ультратермостат У-10;
выпрямитель стабилизированный ВС-25;
вольтметр типа М106 класса 0,2;
амперметр типа М104/1 класса 0,2;
потенциометр Р-348 класса 0,002;
катетометр КМ-5.
3.7.2. Проведение испытания
Корпус измерительной ячейки при снятых нагревателе и термопарах заполняют пастой. Для исключения пустот образец уплотняют на вибростенде с частотой колебания 50 Гц в течение 15-20 мин.
Затем устанавливают нагреватель и термопары, ячейку закрывают и уплотняют крышками, помещают в ультратермостат с температурой (20±0,5) °С (для проверки точности термостатирования проводят 3-4 измерения э.д.с. термопар при выключенном нагревателе).
Включают нагреватель, устанавливают рабочее напряжение 4,6 В, ток 0,4 А и выдерживают установку в течение 1,5-2 ч для достижения теплового равновесия.
Через 15 мин измеряют величину падения напряжения тока на нагревателе, а также температуру внешней и внутренней поверхностей слоя пасты.
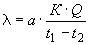
3.7.3. Обработка результатов
Коэффициент теплопроводности (
), Вт/(м·град), вычисляют по формуле
где
* - постоянная, определяемая конструктивными размерами измерительной ячейки, м;
r1, r2* - внутренний и наружный радиусы цилиндрического слоя пасты, м;
________________
* Формула и экспликация к ней соответствуют оригиналу.
t1, t2 - температуры внутренней и внешней поверхностей слоев пасты, °С;
l - длина цилиндрического слоя пасты, м;
K - коэффициент, учитывающий осевые потери тепла через текстолитовые крышки ячейки, равный 0,73
Тепловой поток (Q) в Вт вычисляют по формуле
где l - ток на нагревателе, А;
U - величина падения напряжения, В.
Погрешность измерения составляет 5 отн.%.
3.7.2, 3.7.3. (Измененная редакция, Изм. N 3).
4. УПАКОВКА, МАРКИРОВКА, ТРАНСПОРТИРОВАНИЕ И ХРАНЕНИЕ
4.1. Кремнийорганическую теплопроводную пасту упаковывают в чистые сухие банки из белой жести N 8 по ГОСТ 6128 и стеклянные банки номинальным объемом до 3 дм3 с герметично закрывающимися крышками.
Горловину стеклянной тары обертывают полиэтиленовой пленкой по ГОСТ 10354 или другим водонепроницаемым материалом и обвязывают нитью "корд".
Банки помещают в ящики типов I, II-1, III-1 и VI по ГОСТ 18573 или металлические многооборотные ящики по нормативно-технической документации изготовителя и уплотняют любым уплотнительным материалом. Допускается упаковывание банок из белой жести в ящики типов V-1 и VI по ГОСТ 2991.
(Измененная редакция, Изм. N 2, 3).
4.2. На каждую банку прикрепляют ярлык с обозначениями:
а) наименования предприятия-изготовителя или его товарного знака;
б) наименования продукта;
в) даты изготовления;
г) номера партии;
д) массы брутто и нетто;
е) обозначения настоящего стандарта.
Транспортная маркировка - по ГОСТ 14192.
(Измененная редакция, Изм. N 1).
4.3. Каждая поставляемая партия пасты КПТ-8 должна сопровождаться документом, удостоверяющим соответствие качества продукта требованиям настоящего стандарта.
Документ должен содержать:
а) наименование предприятия-изготовителя или его товарный знак;
б) наименование продукта;
в) дату изготовления;
г) номер партии;
д) массу брутто и нетто;
е) результаты проведенных испытаний или подтверждение о соответствии качества продукта требованиям настоящего стандарта;
ж) обозначение настоящего стандарта.
4.4. Пасту КПТ-8 транспортируют транспортом всех видов в крытых транспортных средствах в соответствии с правилами перевозки грузов, действующими на данном виде транспорта.
Допускается перевозка пасты в открытых автомашинах, при этом продукция должна быть покрыта водонепроницаемым материалом.
Транспортирование грузов пакетами должно соответствовать требованиям ГОСТ 26663.
(Измененная редакция, Изм. N 1, 3).
4.5. Пасту КПТ-8 хранят в крытых складских помещениях в упаковке изготовителя.
(Измененная редакция, Изм. N 2).
5. ГАРАНТИИ ИЗГОТОВИТЕЛЯ
5.1. Готовая продукция должна быть принята техническим контролем предприятия-изготовителя. Изготовитель должен гарантировать соответствие выпускаемой пасты КПТ-8 требованиям настоящего стандарта при соблюдении потребителем условий хранения, установленных стандартом.
5.2. Гарантийный срок хранения пасты КПТ-8 - 1,5 года со дня изготовления.
(Измененная редакция, Изм. N 2).
ПРИЛОЖЕНИЕ (справочное). Таблица электрических показателей кремнийорганической теплопроводной пасты КПТ-8
ПРИЛОЖЕНИЕ
Справочное
официальное издание
М.: ИПК Издательство стандартов, 1996
