2-Нитротолуол технический ГОСТ 23487-79
2-Нитротолуол технический. Технические условия (с Изменениями N 1, 2, 3) ГОСТ 23487-79
Группа Л21
МЕЖГОСУДАРСТВЕННЫЙ СТАНДАРТ
2-НИТРОТОЛУОЛ ТЕХНИЧЕСКИЙ
Технические условия
Technical 2-nitrotoluene. Specifications
ОКП 24 7124 0100
Дата введения 1980-01-01
ИНФОРМАЦИОННЫЕ ДАННЫЕ
1. УТВЕРЖДЕН И ВВЕДЕН В ДЕЙСТВИЕ Постановлением Государственного комитета СССР по стандартам от 13.02.79 N 543
Изменение N 3 принято Межгосударственным Советом по стандартизации, метрологии и сертификации (протокол N 6 от 21.10.94)
За принятие проголосовали:
|
Наименование государства |
Наименование национального органа по стандартизации |
|
Азербайджанская Республика |
Азгосстандарт |
|
Киргизская Республика |
Киргизстандарт |
|
Республика Армения |
Армгосстандарт |
|
Республика Беларусь |
Госстандарт Беларуси |
|
Республика Грузия |
Грузстандарт |
|
Республика Казахстан |
Госстандарт Республики Казахстан |
|
Республика Молдова |
Молдовастандарт |
|
Республика Узбекистан |
Узгосстандарт |
|
Российская Федерация |
Госстандарт России |
|
Украина |
Госстандарт Украины |
2. ВЗАМЕН ГОСТ 5.1839-73
3. ССЫЛОЧНЫЕ НОРМАТИВНО-ТЕХНИЧЕСКИЕ ДОКУМЕНТЫ
4. Ограничение срока действия снято по протоколу N 4-93 Межгосударственного Совета по стандартизации, метрологии и сертификации (ИУС 4-94)
5. ПЕРЕИЗДАНИЕ (июнь 1999 г.) с Изменениями N 1, 2, 3, утвержденными в июне 1984 г., марте 1989 г., апреле 1996 г. (ИУС 10-84, 6-89, 7-96)
Настоящий стандарт распространяется на технический 2-нитротолуол, предназначенный для производства промежуточных продуктов анилинокрасочной промышленности и для синтеза других органических соединений.
Формулы:
эмпирическая C7H7O2N
структурная 
Относительная молекулярная масса (по международным атомным массам 1987 г.) - 137,14.
(Измененная редакция, Изм. N 2, 3).
1. ТЕХНИЧЕСКИЕ ТРЕБОВАНИЯ
1.1. Технический 2-нитротолуол должен быть изготовлен в соответствии с требованиями настоящего стандарта по технологическому регламенту, утвержденному в установленном порядке.
1.2. По физико-химическим показателям технический 2-нитротолуол должен соответствовать требованиям и нормам, указанным в таблице.
(Измененная редакция, Изм. N 3).
2. ТРЕБОВАНИЯ БЕЗОПАСНОСТИ
2.1. Технический 2-нитротолуол - горючая жидкость.
Концентрационные пределы распространения пламени 1,4-9,3 объемных % (расчетные).
Температурные пределы распространения пламени:
Средства тушения: при крупных проливах - пена, порошок ПСБ-3, тонкораспыленная Вода; в помещениях - объемное тушение; небольшие очаги - ПСБ, CO2.
Для предупреждения загорания необходимо, чтобы емкости для хранения 2-нитротолуола были загерметизированы и удалены от источников тепла.
(Измененная редакция, Изм. N 3).
2.2. 2-Нитротолуол - умеренно опасное вещество (3-й класс опасности по ГОСТ 12.1.005). Предельно допустимая концентрация (ПДК) в воздухе рабочей зоны составляет 3 мг/м3. Действует на центральную нервную систему и органы кровообращения. Обладает способностью проникать в организм человека через неповрежденную кожу и при вдыхании его паров.
При повышении ПДК 2-нитротолуол может вызывать острые и хронические профессиональные отравления.
(Измененная редакция, Изм. N 1, 3).
2.3. При работе с продуктом необходимо обеспечивать герметизацию аппаратуры и трубопроводов, наличие достаточной эффективной общеобменной и местной вытяжной вентиляции.
Все работающие должны быть обеспечены средствами индивидуальной защиты.
(Измененная редакция, Изм. N 2).
2.4. При попадании 2-нитротолуола на кожу и спецодежду необходимо немедленно снять загрязненную спецодежду, белье и обувь, удалить продукт с пораженной поверхности, быстро сняв его фильтровальной бумагой, а затем тщательно отмыть пораженные участки сначала большим количеством воды, а затем - теплой водой с мылом.
После этого одеть чистое белье, спецодежду, запасные комплекты которых обязательно должны храниться в цехах, производящих или применяющих технический 2-нитротолуол.
2.5. При попадании 2-нитротолуола в глаза необходимо их промыть теплой водой и обратиться к врачу.
3. ПРАВИЛА ПРИЕМКИ
3.1. Правила приемки - по ГОСТ 6732.1.
(Измененная редакция, Изм. N 3).
4. МЕТОДЫ АНАЛИЗА
4.1а. Общие указания по проведению анализа - по ГОСТ 27025.
Допускается применение других средств измерения с метрологическими характеристиками не хуже, а также реактивов по качеству не ниже указанных в настоящем стандарте.
(Введен дополнительно, Изм. N 3).
4.1. Методы отбора проб - по ГОСТ 6732.2.
Масса средней пробы должна быть не менее 0,3 дм3.
(Измененная редакция, Изм. N 2, 3).
4.2. Перед каждым анализом среднюю пробу тщательно перемешивают.
4.3. Внешний вид продукта оценивают визуально.
(Измененная редакция, Изм. N 3).
4.4. Определение массовой доли 2-нитротолуола.
Определение проводят методом газожидкостной хроматографии.
(Измененная редакция, Изм. N 2).
4.4.1. Аппаратура и реактивы
Хроматограф газовый с детектором ионизации в пламени.
Колонка хроматографическая стеклянная или из нержавеющей стали длиной 3 м и внутренним диаметром 3-4 мм.
Насадка для колонки - хезасорб AW-HMDS или хроматон N-AW и др. (твердый носитель) с частицами размером 0,200-0,360 мм, обработанные силиконом ХЕ-60 (неподвижная фаза) из расчета 5% от массы твердого носителя.
Микрошприц МШ-10.
Линейка измерительная металлическая по ГОСТ 427.
Лупа измерительная 10 увеличения по ГОСТ 25706.
Весы лабораторные общего назначения 2-го класса точности по ГОСТ 24104* с наибольшим пределом взвешивания 200 г.
______________
* На территории Российской Федерации действует ГОСТ Р 53228-2008. - Примечание изготовителя базы данных.
Стаканчик для взвешивания по ГОСТ 25336.
Воздух сжатый для питания контрольно-измерительных приборов.
Водород технический по ГОСТ 3022 марки А или Б.
Азот газообразный технический (газ-носитель) по ГОСТ 9293.
3-Нитротолуол с массовой долей основного вещества не менее 98% и погрешностью ±0,7500 мг.
4-Нитротолуол по ГОСТ 7197.
Нитробензол с температурой кристаллизации 5,1 °С.
Толуол по ГОСТ 5789.
"Внутренний эталон" - 1,2-дихлорбензол, ч.
2-Нитротолуол с массовой долей основного вещества не менее 99,95%.
(Измененная редакция, Изм. N 1, 2, 3).
4.4.2. Подготовка к анализу
Чистую сухую хроматографическую колонку заполняют насадкой при непрерывном осторожном постукивании по ней, помещают в термостат хроматографа и, не подсоединяя к детектору, продувают током азота в течение 8 ч при 220 °С.
Включение хроматографа и вывод его на рабочий режим производят в соответствии с инструкцией, прилагаемой к прибору.
Режим работы хроматографа:
Массовую долю примесей определяют по методу «внутреннего эталона» с учетом градуировочных коэффициентов.
Градуировочный коэффициент (Ki) определяют, анализируя искусственные смеси, состоящие из 1,2-дихлорбензола ("внутренний эталон") и компонентов, близкие по составу к анализируемому техническому 2-нитротолуолу.
За градуировочный коэффициент принимают среднее арифметическое результатов не менее пяти параллельных определений, расхождение между наиболее отличающимися значениями которых не превышает допускаемое расхождение, равное 0,1. Результаты вычисления Ki округляют до первого десятичного знака.
Градуировочные коэффициенты устанавливают не реже одного раза в месяц и после смены насадки.
(Измененная редакция, Изм. N 2, 3).
4.4.3. Проведение анализа
Пробу для анализа готовят следующим образом: 2,0000-3,0000 г анализируемого технического 2-нитротолуола взвешивают в стаканчике и добавляют 0,0100-0,0150 г 1,2-дихлорбензола.
Смесь тщательно перемешивают и подготовленную пробу вводят микрошприцем в испаритель хроматографа.
Порядок выхода компонентов из колонки указан на хроматограмме (см. чертеж).
Типовая хроматограмма
1 - Толуол; 2 - 1,2-дихлорбензол; 3 - нитробензол; 4 - 2-нитротолуол; 5 - 3-нитротолуол; 6 - 4-нитротолуол
(Измененная редакция, Изм. N 3).
4.4.4. Обработка результатов
Площадь пиков вычисляют как произведение высоты каждого пика на его ширину, измеренную на середине высоты.
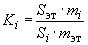
Градуировочный коэффициент для каждой определяемой примеси (Ki) вычисляют по формуле
где mi - масса навески определяемого компонента в искусственной смеси, г;
mэт - масса навески "внутреннего эталона" в искусственной смеси, г;
Sэт- площадь пика "внутреннего эталона", мм2;
Si - площадь пика определяемого компонента, мм2.
Массовую долю 3-нитротолуола, 4-нитротолуола, нитробензола и толуола (Xi) в процентах вычисляют по формуле
где Si- площадь пика определяемого компонента в анализируемой пробе, мм2;
mэт - масса "внутреннего эталона", г;
Ki - градуировочный коэффициент определяемого компонента;
Sэт - площадь пика "внутреннего эталона", мм2;
m - масса навески анализируемой пробы, г.
Массовую долю 2-нитротолуола (X) в процентах вычисляют по формуле
где
- сумма массовых долей определяемых примесей, %.
За результат анализа принимают среднее арифметическое результатов двух параллельных определений, абсолютное расхождение между которыми не превышает допускаемое расхождение, равное 0,01%.
Допускаемая абсолютная суммарная погрешность результата анализа ±0,02% при доверительной вероятности P=0,95.
(Измененная редакция, Изм. N 1, 2).
4.5. Определение содержания динитротолуолов
4.5.1. Реактивы, растворы и посуда
Ацетон по ГОСТ 2603, не дающий окраски с раствором гидроокиси натрия концентрации 2 моль/дм3.
Натрия гидроокись по ГОСТ 4328, раствор концентрации c(NaOH)=2 моль/дм3 (2 н.).
Вода дистиллированная по ГОСТ 6709.
2-Нитротолуол технический, перегнанный, не содержащий динитротолуолов.
Бюретка по ГОСТ 29251 или пипетка градуированная с ценой деления 0,01 см3.
Пробирка П2-16-150 по ГОСТ 25336.
(Измененная редакция, Изм. N 1, 3).
4.5.2. Проведение анализа
0,2 см3 анализируемого технического 2-нитротолуола помещают в пробирку с помощью бюретки или пипетки, приливают 5 см3 ацетона и 10 капель раствора гидроокиси натрия, закрывают корковой пробкой и встряхивают.
Продукт считают соответствующим требованиям настоящего стандарта, если появляющаяся слабая зеленовато-желтая окраска раствора не будет отличаться от контрольного раствора, состоящего из 0,2 см3 2-нитротолуола, не содержащего динитротолуолов, 5 см3 ацетона и 10 капель раствора гидроокиси натрия, помещенного в такую же пробирку, и будет устойчива в течение 5 мин.
4.6-4.6.2. (Исключены, Изм. N 3).
5. УПАКОВКА, МАРКИРОВКА, ТРАНСПОРТИРОВАНИЕ И ХРАНЕНИЕ
5.1. Упаковка - по ГОСТ 6732.3.
5.2. Маркировка - по ГОСТ 6732.4 с нанесением знака опасности по ГОСТ 19433 (класс 6, подкласс 6.1, черт.6а, классификационный шифр 6112), серийный номер ООН - 1664.
На железнодорожные цистерны наносят также специальные трафареты: "Нитротолуолы", "X", трафарет приписки.
5.3. Упаковку и транспортную маркировку при отправке 2-нитротолуола на экспорт производят в соответствии с договором между предприятием и внешнеторговой фирмой и настоящим стандартом.
5.4. Транспортирование - по ГОСТ 6732.5.
По железной дороге технический 2-нитротолуол транспортируют наливом в собственных цистернах грузоотправителя (грузополучателя) или арендованных цистернах с верхним сливом или с универсальным сливным прибором в соответствии с "Правилами перевозок и тарифов грузов", ч.2, раздел 41, сборник N 370, 1990 г.
Степень заполнения цистерн не должна превышать 95%.
5.5. Технический 2-нитротолуол хранят в герметичных емкостях в крытых складских помещениях.
Разд. 5. (Измененная редакция, Изм. N 3).
6. ГАРАНТИИ ИЗГОТОВИТЕЛЯ
6.1. Изготовитель гарантирует соответствие технического 2-нитротолуола требованиям настоящего стандарта при соблюдении условий хранения и транспортирования.
(Измененная редакция, Изм. N 1).
6.2. Гарантийный срок хранения технического 2-нитротолуола два года со дня изготовления.
(Измененная редакция, Изм. N 1, 2).
официальное издание
М.: ИПК Издательство стандартов, 1999
