Никель (II) сернокислый 7-водный. Реактивы ГОСТ 4465-2016
Никель (II) сернокислый 7-водный. Реактивы. Технические условия (с Поправкой) ГОСТ 4465-2016
МЕЖГОСУДАРСТВЕННЫЙ СТАНДАРТ
РЕАКТИВЫ
НИКЕЛЬ (II) СЕРНОКИСЛЫЙ 7-ВОДНЫЙ
Технические условия
Reagents. Nickel (II) sulphate, 7-aqueous. Specifications
МКС 71.040.30
Дата введения 2018-01-01
Предисловие
Цели, основные принципы и порядок проведения работ по межгосударственной стандартизации установлены в ГОСТ 1.0-2015 "Межгосударственная система стандартизации. Основные положения" и ГОСТ 1.2-2015 "Межгосударственная система стандартизации. Стандарты межгосударственные, правила и рекомендации по межгосударственной стандартизации. Правила разработки, принятия, обновления и отмены"
Сведения о стандарте
1 РАЗРАБОТАН Федеральным государственным унитарным предприятием "Государственный ордена Трудового Красного Знамени научно-исследовательский институт химических реактивов и особо чистых химических веществ" (ФГУП "ИРЕА")
2 ВНЕСЕН Техническим комитетом по стандартизации ТК 60 "Химия"
3 ПРИНЯТ Межгосударственным советом по стандартизации, метрологии и сертификации (протокол от 25 октября 2016 г. N 92-П)
За принятие проголосовали:
|
Краткое наименование страны по МК (ИСО 3166) 004-97 |
Код страны по |
Сокращенное наименование национального органа по стандартизации |
|
Армения |
AM |
Минэкономики Республики Армения |
|
Грузия |
GE |
Грузстандарт |
|
Казахстан |
KZ |
Госстандарт Республики Казахстан |
|
Киргизия |
KG |
Кыргызстандарт |
|
Россия |
RU |
Росстандарт |
|
Таджикистан |
TJ |
Таджикстандарт |
|
Узбекистан |
UZ |
Узстандарт |
4 Приказом Федерального агентства по техническому регулированию и метрологии от 16 марта 2017 года N 143-ст межгосударственный стандарт ГОСТ 4465-2016 введен в действие в качестве национального стандарта Российской Федерации с 1 января 2018 г.
5 ВЗАМЕН ГОСТ 4465-74
Информация об изменениях к настоящему стандарту публикуется в ежегодном информационном указателе "Национальные стандарты" (по состоянию на 1 января текущего года), а текст изменений и поправок - в ежемесячном информационном указателе "Национальные стандарты". В случае пересмотра (замены) или отмены настоящего стандарта соответствующее уведомление будет опубликовано в ежемесячном информационном указателе "Национальные стандарты". Соответствующая информация, уведомление и тексты размещаются также в информационной системе общего пользования - на официальном сайте Федерального агентства по техническому регулированию и метрологии в сети Интернет.
ВНЕСЕНА поправка, опубликованная в ИУС N 4, 2018 год
Поправка внесена изготовителем базы данных
1 Область применения
Настоящий стандарт распространяется на 7-водный сернокислый никель, представляющий собой кристаллы изумрудно-зеленого цвета, растворимые в воде, выветривающиеся на воздухе.
Формула - NiSO4·7H2O.
Относительная молекулярная масса (по международным атомным массам 2013 г.) - 280,86.
2 Нормативные ссылки
В настоящем стандарте использованы нормативные ссылки на следующие межгосударственные стандарты:
ГОСТ 8.579-2002 Государственная система обеспечения единства измерений. Требования к количеству фасованных товаров в упаковках любого вида при их производстве, расфасовке, продаже и импорте
ГОСТ 12.1.005-88 Система стандартов безопасности труда. Общие санитарно-гигиенические требования к воздуху рабочей зоны
ГОСТ 12.1.007-76 Система стандартов безопасности труда. Вредные вещества. Классификация и общие требования безопасности
ГОСТ 12.1.044-89 (ИСО 4589-84) Система стандартов безопасности труда. Пожаровзрывоопасность веществ и материалов. Номенклатура показателей и методы их определения
ГОСТ 12.4.021-75 Система стандартов безопасности труда. Системы вентиляционные. Общие требования
ГОСТ 17.2.3.02-2014 Правила установления допустимых выбросов загрязняющих веществ промышленными предприятиями
ГОСТ 849-2008 Никель первичный. Технические условия
ГОСТ 859-2014 Медь. Марки
ГОСТ 1770-74 (ИСО 1042-83, ИСО 4788-80) Посуда мерная лабораторная стеклянная. Цилиндры, мензурки, колбы, пробирки. Общие технические условия
ГОСТ 3118-77 Реактивы. кислота соляная. Технические условия
ГОСТ 3885-73-->ГОСТ 3885-73 Реактивы и особо чистые вещества. Правила приемки, отбор проб, фасовка, упаковка, маркировка, транспортирование и хранение
ГОСТ 4461-77 Реактивы. Кислота азотная. Технические условия
ГОСТ 4517-2016 Реактивы. Методы приготовления вспомогательных реактивов и растворов, применяемых при анализе
ГОСТ 6709-72-->ГОСТ 6709-72 Вода дистиллированная. Технические условия
ГОСТ 10354-82 Пленка полиэтиленовая. Технические условия
ГОСТ 10398-2016 Реактивы и особо чистые вещества. Комплексонометрический метод определения содержания основного вещества
ГОСТ 10671.4-2016 Реактивы. Методы определения примеси общего азота
ГОСТ 10671.7-2016 Реактивы. Методы определения примеси хлоридов
ГОСТ 14192-96 Маркировка грузов
ГОСТ 19433-88 Грузы опасные. Классификация и маркировка
ГОСТ 21650-76 Средства скрепления тарно-штучных грузов в транспортных пакетах. Общие требования
ГОСТ 24104-2001* Весы лабораторные. Общие технические требования
_______________
* В Российской Федерации действует ГОСТ Р 53228-2008 "Весы неавтоматического действия. Часть 1. Метрологические и технические требования. Испытания".
ГОСТ 25336-82 Посуда и оборудование лабораторные стеклянные. Типы, основные параметры и размеры
ГОСТ 26663-85 Пакеты транспортные. Формирование с применением средств пакетирования. Общие технические требования
ГОСТ 27025-86 Реактивы. Общие указания по проведению испытаний
ГОСТ 29227-91 Посуда лабораторная стеклянная. Пипетки градуированные. Часть 1. Общие требования
ГОСТ 29334-92 Реактивы. Метод определения компонентов, нерастворимых в воде и других растворителях
ГОСТ 31340-2013 Предупредительная маркировка химической продукции. Общие требования
Примечание - При пользовании настоящим стандартом целесообразно проверить действие ссылочных стандартов в информационной системе общего пользования - на официальном сайте Федерального агентства по техническому регулированию и метрологии в сети Интернет или по ежегодному информационному указателю "Национальные стандарты", который опубликован по состоянию на 1 января текущего года, и по выпускам ежемесячного информационного указателя "Национальные стандарты" за текущий год. Если ссылочный стандарт заменен (изменен), то при пользовании настоящим стандартом следует руководствоваться заменяющим (измененным) стандартом. Если ссылочный стандарт отменен без замены, то положение, в котором дана ссылка на него, применяется в части, не затрагивающей эту ссылку.
3 Технические требования
3.1 Никель (II) сернокислый 7-водный должен быть изготовлен в соответствии с требованиями настоящего стандарта по нормативному документу или технической документации, утвержденным в установленном порядке.
3.2 Характеристики
3.2.1 По физико-химическим показателям никель (II) сернокислый 7-водный должен соответствовать нормам, указанным в таблице 1.
Таблица 1 - Физико-химические показатели
|
Наименование показателя |
Норма |
||||
|
Химически чистый (х.ч.) |
Чистый для анализа (ч.д.а.) |
Чистый (ч.) |
|||
|
1 Массовая доля 7-водного сернокислого никеля (II) NiSO4·7H2O, %, не менее |
98 |
98 |
97 |
||
|
2 Массовая доля нерастворимых в воде веществ, %, не более |
0,005 |
0,005 |
0,020 |
||
|
3 Массовая доля хлоридов CI, %, не более |
0,001 |
0,002 |
0,010 |
||
|
4 Массовая доля общего азота N, %, не более |
0,001 |
0,005 |
Не нормируется |
||
|
5 Массовая доля суммы калия, натрия, кальция и магния K+Na+Ca+Mg, %, не более |
0,01 |
0,02 |
0,2 |
||
|
6 Массовая доля калия K, %, не более |
0,0005 |
Не нормируется |
|||
|
7 Массовая доля натрия Na, %, не более |
0,002 |
||||
|
8 Массовая доля кальция Ca, %, не более |
0,005 |
||||
|
9 Массовая доля магния Mg, %, не более |
0,002 |
||||
|
10 Массовая доля железа Fe, %, не более |
0,0005 |
0,0005 |
0,003 |
||
|
11 Массовая доля кобальта Со, %, не более |
0,001 |
0,001 |
0,100 |
||
|
12 Массовая доля цинка Zn, %, не более |
0,002 |
0,002 |
0,010 |
||
|
13 Массовая доля меди Сu, %, не более |
0,001 |
0,001 |
0,002 |
||
|
14 Массовая доля свинца Pb, %, не более |
0,001 |
0,001 |
0,001 |
||
|
15 Массовая доля кадмия Cd, %, не более |
0,001 |
0,002 |
Не нормируется |
||
|
16 pH раствора продукта с массовой долей 5% |
4-6 |
4-6 |
|||
|
Примечания |
|||||
(Поправка. ИУС N 4-2018).
3.2.2 Коды ОКП 7-водного сернокислого никеля (II) без кобальта приведены в таблице 2.
Таблица 2 - Коды ОКП 7-водного сернокислого никеля (II) без кобальта
|
Квалификация |
Код ОКП |
Код ОКПД2 |
|
1 Химически чистый без кобальта (х.ч. без кобальта) |
26 2223 0363 10 |
20.59.52.194 |
|
2 Чистый для анализа без кобальта (ч.д.а. без кобальта) |
26 2223 0362 00 |
|
|
3 Чистый без кобальта (ч. без кобальта) |
26 2223 0361 01 |
20.13.41.130 |
3.3 Маркировка
3.3.1 При маркировке должны быть соблюдены нормы законодательства, действующего в каждом из государств - участников Соглашения о проведении согласованной политики в области стандартизации, метрологии, сертификации и аккредитации и устанавливающего порядок маркирования продукции информацией на государственном языке.
3.3.2 Продукт маркируют в соответствии с ГОСТ 3885.
3.3.3 Маркировка, характеризующая транспортную опасность груза, должна соответствовать ГОСТ 19433 (класс 9, подкласс 9.1, номер чертежа 9, классификационный шифр 9153).
Номер ООН 3077 - вещество твердое опасное для окружающей среды, н.у.к.
3.3.4 Транспортная маркировка - по ГОСТ 14192 с нанесением манипуляционных знаков "Беречь от влаги" и для стеклянной тары - "Хрупкое. Осторожно", "Верх" и "Беречь от влаги" и в соответствии с правилами перевозки опасных грузов на соответствующем виде транспорта.
Маркировочные данные и манипуляционные знаки наносят типографским способом или с помощью клише, трафарета или ярлыков по ГОСТ 14192.
Транспортная маркировка должна быть нанесена на каждое грузовое место.
3.3.5 На каждое грузовое место дополнительно необходимо наносить предупредительную маркировку в соответствии с требованиями ГОСТ 31340.
3.4 Упаковка
3.4.1 Продукт упаковывают в соответствии с ГОСТ 3885.
Вид и тип тары: 2-1, 2-2, 2-4, 6-1,11-1, 11-2, 11-3, 11-4, 11-6.
Группа фасовки: IV, V, VI, VII.
Для тары типов 11-1, 11-4, 11-6 допускается увеличивать массу нетто единицы упаковки до 50 кг и вместе прошивать горловины бумажного и полиэтиленового мешков.
Допускаемые отклонения содержимого нетто от номинального количества продукта в упаковках любого вида должны соответствовать требованиям ГОСТ 8.579.
Для фиксации стеклянной потребительской тары применяют: решетки (металлические, деревянные, из полимерных материалов), или футляры (из гофрированного картона и полимерных материалов), или ячейки из гофрированного картона и полимерных материалов, или прокладывание гофрированным картоном либо другим материалом, или картонными перегородками в виде гнезд. Высота картонных перегородок должна быть не менее 3/4 высоты упаковываемой тары.
Мешки с продуктом должны быть сформированы в транспортные пакеты в соответствии с ГОСТ 26663 и правилами перевозок опасных грузов, действующими на соответствующем виде транспорта, с использованием средств пакетирования по ГОСТ 21650, обеспечивающих целостность пакетов и безопасность при перевозках и проведении погрузочно-разгрузочных работ.
4 Требования безопасности
4.1 При взаимодействии никеля (II) сернокислого 7-водного с парами воды образуется гидроаэрозоль, который по степени воздействия на организм человека по ГОСТ 12.1.007 относится к чрезвычайно опасным веществам (1-й класс опасности).
4.2 Предельно допустимая концентрация (ПДК) гидроаэрозоля продукта в пересчете на никель в воздухе рабочей зоны - 0,005 мг/м3 по ГОСТ 12.1.005. Контроль вредных веществ в воздухе рабочей зоны производства 7-водного сернокислого никеля (II) осуществляют в соответствии с требованиями ГОСТ 12.1.005.
(Поправка. ИУС N 4-2018).
Наличие и концентрацию гидроаэрозоля никеля (II) сернокислого 7-водного в воздухе рабочей зоны производственных помещений определяют методами, установленными в нормативных документах и технической документации.
4.3 Обезвреживанию и уничтожению сернокислый 7-водный никель (II) не подлежит. Просыпавшийся продукт после сухой и последующей влажной уборки утилизируют в технологических процессах получения или потребления сернокислого никеля.
4.4 Согласно ГОСТ 12.1.044 продукт не горюч, пожаро- и взрывобезопасен.
4.5 Продукт является кристаллическим веществом. При попадании внутрь организма человека оказывает канцерогенное и общетоксичное действие. При попадании на кожу и слизистые оболочки верхних дыхательных путей и глаз продукт действует раздражающе и вызывает повышенную чувствительность к никелю. При вдыхании может вызвать астматические симптомы или затруднение дыхания.
4.6 Меры первой помощи:
- при ингаляционном воздействии - свежий воздух, покой, срочная госпитализация;
- попадании внутрь - прополоскать рот водой, срочная госпитализация;
- попадании на кожные покровы - смыть большим количеством воды;
- попадании в глаза - обильно промыть большим количеством воды в течение 10-15 мин.
Во всех случаях следует обратиться к врачу.
4.7 Производственные помещения и лаборатории, в которых проводят работы с продуктом, должны быть изолированы от других производственных помещений и обеспечены приточно-вытяжной вентиляцией по ГОСТ 12.4.021, а оборудование должно быть герметизировано. В местах возможного поступления аэрозоля продукта в воздухе рабочей зоны должны быть предусмотрены местные вытяжные устройства.
4.8 Производственный персонал, работающий с никелем сернокислым, должен быть обеспечен:
- санитарно-бытовыми помещениями в соответствии с нормативными документами и технической документации;
- спецодеждой, спецобувью и средствами индивидуальной защиты, а также смывающими и обезвреживающими средствами для защиты поверхности кожи от вредных и опасных производственных факторов, особых температурных условий и загрязнений в соответствии с нормативными документами и технической документацией.
4.9 Производственный персонал, работающий с сернокислым никелем, должен соблюдать требования инструкций по охране труда, правил безопасности и проходить предварительные и периодические медицинские осмотры в соответствии с порядком и в сроки, установленные органами здравоохранения.
Лица моложе 18 лет и беременные женщины к работе с продуктом не допускаются.
5 Требования охраны окружающей среды
5.1 Защита окружающей среды должна быть обеспечена герметизацией технологического оборудования, устройством вытяжной вентиляционной системы, очистными сооружениями в местах возможного поступления сернокислого никеля в окружающую среду.
5.2 Охрана атмосферного воздуха при производстве продукта должна осуществляться согласно ГОСТ 17.2.3.02.
5.3 Контроль за состоянием атмосферного воздуха и воды проводят в соответствии с планами производственно-экологического контроля, службами предприятия или с привлечением аккредитованных лабораторий.
5.4 Предельно допустимая концентрация иона никеля в воде, водных объектов хозяйственно-питьевого и культурно-бытового водопользования - 0,02 мг/дм3. Определение никеля в воде проводят атомно-абсорбционным или другими методами, не уступающими по чувствительности атомно-абсорбционному методу, установленному в нормативных документах или технической документации.
6 Правила приемки
6.1 7-водный сернокислый никель принимают партиями по ГОСТ 3885.
6.2 Партией считают количество продукта, однородного по своим качественным показателям, полученного в результате одного технологического цикла и сопровождаемого одним документом о качестве.
6.3 Документ о качестве должен содержать:
- наименование предприятия-изготовителя и его товарный знак (при наличии);
- наименование документа о качестве и его номер;
- наименование продукта, его квалификацию;
- обозначение настоящего стандарта;
- номер партии;
- дату отгрузки;
- массу, нетто;
- вид и тип тары, группу фасовки;
- дату изготовления (месяц, год);
- результаты анализа или подтверждение о соответствии качества продукта требованиям настоящего стандарта;
- гарантийный срок хранения.
Допускается при необходимости приводить другие данные.
Документ о качестве помещают в запаянный полиэтиленовый пакет и вкладывают в транспортный контейнер. Допускается отправлять его с отгрузочными документами.
7 Методы анализа
7.1 Отбор проб
7.1.1 Пробы отбирают по ГОСТ 3885. Масса средней пробы должна быть не менее 500 г.
7.1.2 Во время отбора проб следует принимать меры, предохраняющие отбираемый продукт от загрязнений, соблюдать меры предосторожности и требования безопасности, используя соответствующие защитные средства.
7.2 Общие указания
7.2.1 Общие указания по проведению анализа - по ГОСТ 27025.
7.2.2 Допускается применение других средств измерений с метрологическими характеристиками и оборудования с техническими характеристиками не хуже, а также реактивов по качеству не ниже указанных в настоящем стандарте.
7.2.3 Перед проведением анализа пробу тщательно перемешивают.
7.2.4 Допускается применять другие методы анализа, обеспечивающие требуемую точность и достоверность результатов определений.
При разногласиях в оценке качества продукта анализ проводят методами, указанными в настоящем стандарте, с применением средств измерений, оборудования и реактивов, предусмотренных этими методами.
7.2.5 Одновременно в тех же условиях проводят контрольный (холостой) опыт для внесения поправки в результаты анализа, если проведение контрольного опыта регламентировано методикой анализа.
7.3 Определение массовой доли 7-водного сернокислого никеля (II)
7.3.1 Проведение анализа
Определение проводят по ГОСТ 10398. При этом 0,4000 г продукта помещают в коническую колбу вместимостью 250 см3 и растворяют в 100 см3 воды. Проводят два параллельных определения из разных навесок.
Допускается проводить анализ из навески пробы массой приблизительно 10,0000 г, которую помещают в мерную колбу вместимостью 500 см3, растворяют перемешивая (200-220 см3) теплой воды, охлаждают, доводят объем раствора в колбе до метки водой, раствор пробы объемом 25 см3 помещают в коническую колбу вместимостью 250 см3, разбавляют водой до 100 см3 и далее проводят определение по ГОСТ 10398.
Для определения коэффициента поправки раствора ди-Na-ЭДТА допускается использовать никель марки Н-1 по ГОСТ 849 или медь марки М00к в пересчете на никель по ГОСТ 859.
При приготовлении раствора меди молярной концентрации с(Сu2+)=0,05 моль/дм3 навеску меди марки М00к массой 3,1770 г помещают в стакан вместимостью 600 см3, приливают раствор азотной кислоты (1:1), накрывают часовым стеклом и нагревают до удаления основной массы оксидов азота. Стекло обмывают водой над стаканом и упаривают до влажных солей.
После охлаждения стенки стакана обмывают водой и содержимое количественно переносят в мерную колбу вместимостью 1000 см3. Раствор доводят до метки водой и тщательно перемешивают.
Раствор меди молярной концентрации с(Сu2+)=0,05 моль/дм3 стабилен в течение одного года.
Коэффициент поправки для раствора ди-Nа-ЭДТА молярной концентрации с(ди-Nа-ЭДТА)=0,05 моль/дм3 по раствору меди определяют следующим образом: 25 см3 раствора меди с молярной концентрацией с(Сu2+)=0,05 моль/дм3 помещают в коническую колбу вместимостью 250 см3, нейтрализуют раствором аммиака 1:1 до образования гидроокиси меди.
Раствор в колбе разбавляют водой до 150 см3, прибавляют 5 см3 раствора аммония хлористого с массовой концентрацией 50 г/дм3, от 0,2 до 0,3 г смеси мурексида с хлористым натрием и титруют раствором ди-Na-ЭДТА до перехода синей окраски в фиолетовую. Коэффициент поправки рассчитывают как среднеарифметическое значение не менее чем из трех результатов.
(Поправка. ИУС N 4-2018).
7.3.2 Обработка результатов
Массовую долю никеля в пересчете на сернокислый 7-водный никель (II), %, вычисляют по формулам:
- при прямом титровании![]()
- при титровании взятой для анализа части![]()
где V1 - объем раствора ди-Nа-ЭДТА молярной концентрацией 0,05 моль/дм3, израсходованный на титрование, см3;
0,01404 - масса 7-водного сернокислого никеля (II), соответствующая 1 см3 раствора ди-Nа-ЭДТА молярной концентрацией точно с(ди-Nа-ЭДТА)=0,05 моль/дм3 (при изменении концентрации ди-Nа-ЭДТА учитывают поправочный коэффициент), г;
m - масса навески продукта, г;
V2 - объем раствора пробы при разбавлении, см3;
V3 - объем взятой для анализа части раствора пробы, см3;
X1 - массовая доля кобальта, определяемая, как указано в 7.7, %;
4,76 - коэффициент пересчета массы кобальта на массу сернокислого никеля.
Примечание - Содержание кобальта менее 0,01% при расчете массовой доли основного вещества не учитывают.
За результат анализа принимают среднеарифметическое значение результатов двух параллельных определений, абсолютное расхождение между которыми не превышает допускаемое расхождение, равное 0,3%.
Допускаемая абсолютная суммарная погрешность результата анализа ±0,5% при доверительной вероятности P=0,95.
Критическая разность для результатов анализа, полученных по методике в двух разных лабораториях, составляет 0,7%.
7.4 Определение массовой доли нерастворимых в воде веществ
7.4.1 Аппаратура и реактивы
Шкаф сушильный электрический любого типа, обеспечивающий температуру от 40°С до 200°С с погрешностью ±2,5°С.
Весы лабораторные с наибольшим пределом взвешивания 200 г специального класса точности по ГОСТ 24104 с дискретностью 0,0001 г.
Стакан Н-1 (В-1) - 600 ТХС по ГОСТ 25336.
Тигель типа ТФ с фильтром класса ПОР 10 или ПОР 16 по ГОСТ 25336.
Цилиндр 1-500-2 по ГОСТ 1770.
Вода дистиллированная по ГОСТ 6709.
7.4.2 Проведение анализа
33,00 г продукта х.ч. без кобальта или по 20,00 г продуктов х.ч., ч.д.а. и ч., помещают в стакан и растворяют при перемешивании в 500 см3 горячей воды. Затем раствор фильтруют через фильтрющий тигель, предварительно высушенный до постоянной массы и взвешенный (результат взвешивания в граммах записывают с точностью до четвертого десятичного знака). Остаток на фильтре промывают 200 см3 горячей воды и сушат в сушильном шкафу при температуре от 105°С до 110°С до постоянной массы.
Продукт считают соответствующим требованиям настоящего стандарта, если масса остатка после высушивания для каждого из двух параллельных определений не будет превышать:
- для х.ч. продукта без кобальта - 1,0 мг;
- х.ч. продукта - 1,0 мг;
- ч.д.а. продукта - 1,0 мг;
- ч. продукта - 4,0 мг.
Допускаемая относительная суммарная погрешность результата анализа по условиям нормирования массовой доли не растворимых в воде веществ согласно ГОСТ 29334 составляет ±30% для х.ч. без кобальта, х.ч. и ч.д.а. продуктов и ±20% для ч. продукта при доверительной вероятности P=0,95.
Допускается для х.ч. продукта без кобальта проводить анализ из навески 20,00 г, при этом масса остатка после высушивания не должна превышать 0,6 мг.
7.5 Определение массовой доли хлоридов
Определение проводят по ГОСТ 10671.7 визуально-нефелометрическим методом (способ 2). Метод основан на образовании опалесценции хлорида серебра при взаимодействии ионов серебра и хлор-ионов.
Растворяют 1,00 г продукта в 30 см3 воды. Если раствор мутный, его фильтруют через обеззоленный фильтр "синяя лента", промытый горячим раствором азотной кислоты с массовой долей 1%. Далее определение проводят по ГОСТ 10671.7.
Продукт считают соответствующим требованиям настоящего стандарта, если опалесценция анализируемого раствора будет не интенсивнее опалесценции раствора, приготовленного одновременно с анализируемым и содержащего в таком же объеме для каждого из двух параллельных определений:
- для х.ч. продукта - 0,010 мг CI;
- ч.д.а. продукта - 0,020 мг CI;
- ч. продукта - 0,100 мг CI,
и 30 см3 раствора сернокислого никеля, не содержащего хлоридов, 1 см3 раствора азотнокислого серебра.
Раствор сернокислого 7-водного никеля (II), не содержащего хлоридов, готовят следующим образом: 5,00 г продукта помещают в стакан В-1-250 ТХС по ГОСТ 25336 с меткой на 150 см3, растворяют в 100 см3 воды, прибавляют 10 см3 раствора азотной кислоты, 5 см3 раствора азотнокислого серебра, доводят объем раствора водой до метки, перемешивают и выдерживают 18-20 ч. Затем раствор фильтруют через обеззоленный фильтр "синяя лента", трижды промытый горячим раствором азотной кислоты с массовой долей 1%.
7.6 Определение массовой доли общего азота
7.6.1 Определение проводят по ГОСТ 10671.4 фотометрическим методом в объеме 50 см3 (раздел 4). При этом 1,00 г продукта помещают в колбу прибора для отделения аммиака дистилляцией, растворяют в 45 см3 воды.
Продукт считают соответствующим требованиям настоящего стандарта, если масса общего азота не будет превышать:
- для х.ч. продукта - 0,01 мг;
- ч.д.а продукта - 0,05 мг;
- ч. продукта без кобальта - 0,05 мг,
и расхождения между значениями масс общего азота, найденными в двух параллельных определениях, не превышают 0,006 мг.
Допускаемая относительная суммарная погрешность результата анализа с учетом найденных масс азота согласно ГОСТ 10671.4 составляет ±30% для х.ч. продукта и ±10% для ч.д.а. и ч. без кобальта продуктов.
Критическая разность для результатов анализа, полученных по методике в двух разных лабораториях, составляет 42% для х.ч. продукта и 15% для ч.д.а. и ч. без кобальта продуктов.
7.7 Определение массовой доли железа, кадмия, калия, кальция, кобальта, магния, меди, натрия, свинца и цинка
7.7.1 Сущность метода
В настоящем подразделе установлен спектральный эмиссионный метод с индуктивно связанной плазмой измерения массовой доли компонентов в сернокислом 7-водном никеле (II) для показателей, представленных в таблице 1.
7.7.2 Характеристики показателей точности измерений
Точность измерений массовой доли компонентов, значения пределов повторяемости и воспроизводимости измерений соответствуют характеристикам, приведенным в таблице 3 (при P=0,95).
Таблица 3
|
Определяемый компонент |
Диапазон измерений массовой доли компонента |
Показатель точности ± |
Пределы (абсолютные значения) |
|
|
повторяемости, r (n=2) |
воспроизво- |
|||
|
Медь |
От 0,0004 до 0,0030 включ. |
|
|
|
|
Железо |
От 0,0004 до 0,0040 включ. |
|
|
|
|
Кобальт |
От 0,0010 до 0,0090 включ. |
|
|
|
|
Кобальт |
Св. 0,0090 до 0,090 включ. |
|
|
|
|
Св.0,090 до 0,20 включ. |
|
|
|
|
|
Цинк |
От 0,0005 до 0,013 включ. |
|
|
|
|
Магний |
От 0,0020 до 0,060 включ. |
|
|
|
|
Св. 0,060 до 0,20 включ. |
|
|
|
|
|
Кальций |
От 0,0050 до 0,20 включ. |
|
|
|
|
Натрий |
От 0,0010 до 0,0100 включ. |
|
|
|
|
Калий |
От 0,0005 до 0,01 включ. |
|
|
|
|
Свинец |
От 0,0005 до 0,0015 включ. |
|
|
|
|
Кадмий |
От 0,0004 до 0,0025 включ. |
0,0002 |
0,0001 |
0,0002 |
7.7.3 Средства измерений, вспомогательные устройства, материалы, реактивы и растворы
При выполнении измерений применяют следующие средства измерений и вспомогательные устройства:
Спектрометр атомно-эмиссионный с индуктивно связанной плазмой в качестве источника возбуждения, со всем необходимым.
Весы лабораторные с наибольшим пределом взвешивания 200 г специального класса точности по ГОСТ 24104 с дискретностью 0,0001 г.
Весы лабораторные с наибольшим пределом взвешивания 800 г высокого класса точности по ГОСТ 24104 с дискретностью 0,01 г.
Стаканы В-1-600 ТХС по ГОСТ 25336.
Колбы Кн-1-100-14/23 ТХС по ГОСТ 25336.
Колбы 2-100(1000)-2 по ГОСТ 1770.
Пипетки градуированные 1 (2)-1 (2)-1 (2)-1 (2; 5;10; 25) по ГОСТ 29227.
При выполнении измерений применяют следующие материалы, растворы:
Вода для лабораторного анализа второй степени чистоты (Вода деионизованная) по [1]*.
_______________
* В Российской Федерации действует ГОСТ Р 52501-2005 (ИСО 3696-1987) "Вода для лабораторного анализа. Технические условия".
кислота соляная по ГОСТ 3118, разбавленная 1:5.
Кислота азотная по ГОСТ 4461, разбавленная 1:1.
(Поправка. ИУС N 4-2018).
Никель по ГОСТ 849.
Государственные стандартные образцы (ГСО) состава раствора ионов: железа, кадмия, калия, кальция, магния, меди, свинца, натрия, кобальта, цинка с массовой концентрацией 1,0 мг/см3.
7.7.4 Метод измерений
Метод основан на измерении интенсивности спектральных линий определяемых компонентов при возбуждении атомов раствора пробы в индуктивно связанной плазме.
7.7.5 Подготовка к проведению анализа
7.7.5.1 Основные растворы, с массовой концентрацией 0,1 мг/см3 и 0,01 мг/см3 определяемых элементов, готовят соответствующим разбавлением ГСО состава водных растворов определяемых элементов с массовой концентрацией 1,0 мг/см3.
При приготовлении разбавленных растворов ионов: магния, кальция, кобальта, цинка, меди, железа, свинца, кадмия, используют раствор соляной кислоты 1:5. При приготовлении разбавленных растворов ионов натрия, калия используют деионизованную воду.
7.7.5.2 Для приготовления раствора никеля с массовой концентрацией 104 мг/см3 навеску никеля массой 10,4 г помещают в коническую колбу вместимостью 100 см3, приливают 30 см3 раствора азотной кислоты 1:1, выдерживают под крышкой на горячей бане до полного растворения. Раствор упаривают до влажных солей, добавляют 30 см3 концентрированной соляной кислоты и нагревают до полного растворения. Раствор охлаждают, переносят в мерную колбу вместимостью 100 см3 и доводят до метки деионизованной водой.
Если в образце никеля, добавляемом к образцам сравнения, содержатся незначительные количества примесей определяемых элементов, то их находят методом добавок и учитывают при построении градуировочных графиков.
7.7.5.3 Для приготовления растворов сравнения в мерные колбы вместимостью 100 см3 последовательно помещают аликвотные части основных растворов определяемых элементов, доводят до метки раствором соляной кислоты 1:5 и перемешивают. Массовые концентрации и объемы основных растворов, применяемые для приготовления растворов сравнения, приведены в таблице 4.
Таблица 4
|
Наиме- |
Обозначение и массовая концентрация элементов в растворах сравнения, объем и массовая концентрация элементов в основных растворах |
|||||||||||||||||
|
1 |
2 |
3 |
4 |
5 |
6 |
|||||||||||||
|
С |
V |
C1 |
С |
V |
C1 |
С |
V |
C1 |
С |
V |
C1 |
С |
V |
C1 |
С |
V |
C1 |
|
|
Медь |
0,01 |
2,0 |
0,2 |
0,01 |
8,0 |
0,8 |
0,1 |
2,0 |
2,0 |
0,1 |
3,0 |
3,0 |
0,1 |
5,0 |
5,0 |
0,1 |
1,0 |
1,0 |
|
Железо |
0,01 |
2,0 |
0,2 |
0,01 |
8,0 |
0,8 |
0,1 |
2,0 |
2,0 |
0,1 |
3,0 |
3,0 |
0,1 |
5,0 |
5,0 |
0,1 |
1,0 |
1,0 |
|
Кобальт |
0,01 |
2,0 |
0,2 |
0,01 |
8,0 |
0,8 |
0,1 |
2,5 |
2,5 |
0,1 |
5,0 |
5,0 |
0,1 |
10,0 |
10,0 |
0,1 |
3,0 |
3,0 |
|
Цинк |
0,01 |
2,0 |
0,2 |
0,01 |
8,0 |
0,8 |
0,1 |
2,5 |
2,5 |
0,1 |
5,0 |
5,0 |
0,1 |
10,0 |
10,0 |
0,1 |
3,0 |
3,0 |
|
Магний |
0,1 |
1,0 |
1,0 |
0,1 |
5,0 |
5,0 |
1,0 |
2,5 |
25,0 |
1,0 |
5,0 |
50,0 |
1,0 |
10,0 |
100,0 |
1,0 |
2,0 |
20,0 |
|
Кальций |
0,1 |
1,0 |
1,0 |
0,1 |
5,0 |
5,0 |
1,0 |
2,5 |
25,0 |
1,0 |
5,0 |
50,0 |
1,0 |
10,0 |
100,0 |
1,0 |
3,0 |
30,0 |
|
Свинец |
0,01 |
2,0 |
0,2 |
0,01 |
8,0 |
0,8 |
0,1 |
2,0 |
2,0 |
0,1 |
3,0 |
3,0 |
0,1 |
5,0 |
5,0 |
0,1 |
1,0 |
1,0 |
|
Кадмий |
0,01 |
2,0 |
0,2 |
0,01 |
8,0 |
0,8 |
0,1 |
2,0 |
2,0 |
0,1 |
3,0 |
3,0 |
0,1 |
5,0 |
5,0 |
0,1 |
1,0 |
1,0 |
|
Натрий |
0,01 |
3,0 |
0,3 |
0,1 |
1,0 |
1,0 |
0,1 |
2,0 |
2,0 |
0,1 |
5,0 |
5,0 |
1,0 |
1,0 |
10,0 |
0,1 |
2,5 |
2,5 |
|
Калий |
0,1 |
2,5 |
2,5 |
0,1 |
5,0 |
5,0 |
1,0 |
1,0 |
10,0 |
1,0 |
2,5 |
25,0 |
1,0 |
6,0 |
60,0 |
0,1 |
7,0 |
7,0 |
|
Никель |
С=104; V=10; C=10400 |
|||||||||||||||||
|
Примечания |
||||||||||||||||||
В качестве фонового раствора сравнения используют раствор никеля с массовой концентрацией 10400 мкг/см3.
7.7.5.4 Подготовку спектрометра к работе осуществляют в соответствии с инструкцией по эксплуатации спектрометра.
Градуировку спектрометра проводят с использованием растворов сравнения - строят зависимость интенсивности аналитической линии от концентрации для каждого определяемого элемента. При дальнейшей работе выполняют корректировку дрейфа градуировочных характеристик с применением растворов сравнения в соответствии с программным обеспечением спектрометра.
Параметры режима измерений должны быть рекомендованы производителем спектрометра с индуктивно-связанной плазмой.
Длина волн аналитических линий определяемых элементов приведена в таблице 5.
Таблица 5
7.7.6 Выполнение измерений
7.7.6.1 Навеску анализируемой пробы (m), г, вычисляют по формуле
где 200 - масса навески пробы, отвечающая 100% 7-водного сернокислого никеля (II), г;
X - массовая доля никеля в пересчете на 7-водный сернокислый никель по 7.3.2, г.
Далее навеску помещают в стакан вместимостью 600 см3 и приливают от 450 до 500 см3 деионизированной воды. Содержимое стакана нагревают, помешивая, до полного растворения. К раствору приливают 20 см3 раствора азотной кислоты 1:1. После охлаждения раствор переносят в мерную колбу вместимостью 1000 см3 (V), доводят до метки деионизированной водой и хорошо перемешивают. Аликвотную часть раствора пробы объемом 25 см3 (V1), помещают в мерную колбу вместимостью 100 см3 (V2), доводят объем раствора до метки деионизированной водой и перемешивают.
7.7.6.2 Выполнение измерений проводят в соответствии с инструкцией по эксплуатации спектрометра.
7.7.7 Обработка результатов измерений
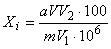
7.7.7.1 Массовую долю определяемого элемента (Xi), %, вычисляют по формуле
где а - найденная массовая концентрация определяемого элемента, мкг/см3;
V - объем раствора, см3;
V1 - объем аликвотной части, см3;
V2 - объем конечного анализируемого раствора, см.
7.7.7.2 За результат анализа принимают среднее арифметическое значение двух параллельных определений при условии, что абсолютная разность между ними в условиях повторяемости не превышает значений (при доверительной вероятности P=0,95) предела повторяемости r, приведенных в таблице 3.
Если расхождение между результатами параллельных определений превышает значение предела повторяемости, выполняют процедуры, изложенные в [2] (5.2.2.1).
7.7.7.3 Расхождения между результатами измерений, полученными в двух лабораториях, не должны превышать значений предела воспроизводимости, приведенных в таблице 3. В этом случае за окончательный результат может быть принято их среднеарифметическое значение. При невыполнении этого условия могут быть использованы процедуры, изложенные в [2].
7.8 Определение pH раствора продукта с массовой долей 5%
5,00 г продукта помещают в коническую колбу вместимостью 250 см3 по ГОСТ 25336, растворяют в 95 см3 дистиллированной воды, не содержащей диоскида углерода (готовят по ГОСТ 4517), перемешивают и измеряют pH раствора на универсальном иономере со стеклянным и вспомогательным электродами или pH-метре любого типа со стеклянным и вспомогательным (комбинированным) электродами с погрешностью измерения pH, не превышающей ±0,1 единицы pH.
За результат анализа принимают среднеарифметическое значение результатов двух параллельных определений, расхождение между которыми не превышает допускаемое расхождение, равное 0,1 единицы pH.
Допускаемая суммарная погрешность результата анализа ±0,1 единицы pH при доверительной вероятности P=0,95.
8 Транспортирование и хранение
8.1 Транспортирование и хранение - в соответствии с ГОСТ 3885.
Продукт транспортируют всеми видами транспорта, кроме воздушного, в соответствии с правилами перевозки грузов, действующими на данном виде транспорта.
8.2 Железнодорожным транспортом упакованный продукт транспортируют в крытых вагонах повагонными и мелкими отправками в соответствии с правилами перевозок опасных грузов по железным дорогам [3] на условиях аналога - "меди сульфата". При перевозке мелкими отправками - продукт упаковывают в плотные деревянные ящики.
8.3 Продукт хранят в упаковке изготовителя в крытых складских помещениях, не допуская попадания прямых солнечных лучей.
9 Гарантии изготовителя
9.1 Изготовитель гарантирует соответствие продукта требованиям настоящего стандарта при соблюдении условий транспортирования и хранения.
9.2 Гарантийный срок хранения продукта - три года со дня изготовления (в таре 11-1 - два года со дня изготовления; в таре 11-2,11-3, изготовленной из пленки, для которой используют сырье, соответствующее маркам приложения 1а ГОСТ 10354 - два года со дня изготовления; в таре 11-4, 11-6 - 6 мес. со дня изготовления).
Библиография
Редакция документа с учетом
изменений и дополнений

·0,3