Новости Нефтегазовая пром.
Выставки Наука и технология


Натрий сульфат кристаллизационный ГОСТ 21458-75

Натрий сульфат кристаллизационный. Технические условия (с Изменениями N 1, 2, 3) ГОСТ 21458-75


ГОСТ 21458-75

Группа Л14

ГОСУДАРСТВЕННЫЙ СТАНДАРТ СОЮЗА ССР

Натрий сульфат кристаллизационный

Технические условия

Crystallization sodium sulphate. 
Specifications



ОКП 21 4111

Срок действия с 01.07.76
до 01.07.94
в части 2-го сорта - до 01.07.91*
______________________________
* Ограничение срока действия снято
по протоколу N 3-93 Межгосударственного Совета
по стандартизации, метрологии и сертификации
(ИУС N 5-6, 1993 год).

ИНФОРМАЦИОННЫЕ ДАННЫЕ

1. РАЗРАБОТАН И ВНЕСЕН Министерством химической промышленности СССР

РАЗРАБОТЧИКИ

А.Т.Серков (д-р хим. наук), М.Е.Шор, Т.Г.Бычкова, Н.Л.Зубахина, Н.Е.Худоногова, В.С.Матвеев (канд. хим. наук), А.А.Бондарев (канд. техн. наук), Т.П.Хомякова, Л.А.Филиппова, Н.В.Сорокина

2. УТВЕРЖДЕН И ВВЕДЕН В ДЕЙСТВИЕ Постановлением Государственного комитета стандартов Совета Министров СССР от 31 декабря 1975 г. N 4141.

3. ПЕРИОДИЧНОСТЬ ПРОВЕРКИ - 5 лет

4. Стандарт соответствует международному стандарту ИСО 3237-75 в части, касающейся расчетного метода определения содержания сульфатов

5. ВЗАМЕН ГОСТ 5.1135-71

6. ССЫЛОЧНЫЕ НОРМАТИВНО-ТЕХНИЧЕСКИЕ ДОКУМЕНТЫ

Обозначение НТД, на который дана ссылка

Номер пункта, подпункта

ГОСТ 2226-88

4.1

ГОСТ 3118-77

3.5.1

ГОСТ 3760-79

3.9.1, 3.10.1, 3.11.1

ГОСТ 3773-72

3.9.1, 3.11.1

ГОСТ 4108-72

3.7.1.1

ГОСТ 4204-77

3.7.1.1

ГОСТ 4212-76

3.10.1

ГОСТ 4233-77

3.9.1

ГОСТ 4328-77

3.8.1

ГОСТ 4461-77

3.10.1, 3.12.1

ГОСТ 4463-76

3.11.1

ГОСТ 4478-78

3.10.1

ГОСТ 4520-78

3.12.1

ГОСТ 4919.1-77

3.12.1

ГОСТ 5817-77

3.9.1, 3.1

ГОСТ 6709-72-->ГОСТ 6709-72

3.5.1, 3.7.2.1, 3.8.1, 3.10.1

ГОСТ 10652-73

3.9.1, 3.11.1

ГОСТ 14192-77

4.3

ГОСТ 17811-78

4.1

ГОСТ 26663-85

4.2

ТУ 6-09-07-1672-88

3.12.1

7. СРОК ДЕЙСТВИЯ ПРОДЛЕН ДО 01.07.94 Постановлением Госстандарта СССР от 29.03.89 N 876

8. ПЕРЕИЗДАНИЕ (март 1991 г.) с Изменениями N 1, 2, 3, утвержденными в мае 1979 г., мае 1983 г., марте 1989 г. (ИУС 6-79, 8-83, 7-89).

Настоящий стандарт распространяется на кристаллизационный Сульфат натрия (сернокислый натрий), получаемый в вискозном производстве при взаимодействии серной кислоты с едким натром или натриевыми солями.

Сульфат натрия применяется в качестве сырья в целлюлозно-бумажной, стекольной и химической промышленностях.

Формула: Na2SO4

Молекулярная масса (по международным атомным массам 1971 г.) - 142,02.

(Измененная редакция, Изм. N 1).

1. ТЕХНИЧЕСКИЕ ТРЕБОВАНИЯ

1.1. (Исключен, Изм. N 1).

1.2а. Сульфат натрия должен изготовляться в соответствии с требованиями настоящего стандарта по технологическому регламенту, утвержденному в установленном порядке.

(Введен дополнительно, Изм. N 2).

1.2. По физико-химическим показателям Сульфат натрия должен соответствовать нормам, указанным в таблице.

Наименование показателя

Норма

Высший сорт
ОКП 21 4111 0620

1-й сорт
ОКП 21 4111 0630

2-й сорт
ОКП 21 4111 0640

1. Внешний вид

Белый кристаллический порошок

2. Массовая доля сульфата натрия, %, не менее

99,6

98,5

97,4

3. Общая щелочность в пересчете на Na2CO3, %, не более

0,15

0,6

0,6

4. Потери массы при прокаливании, %, не более

0,2

0,3

0,3

5. Массовая доля нерастворимого в воде остатка, %, не более

0,15

1,0

1,0

6. Содержание серной кислоты

Должен выдерживать испытания по п.3.8

7. Массовая доля кальция и магния в пересчете на CаSO4, %, не более

0,01

0,05

0,05

8. Массовая доля железа (Fe3+), %, не более

0,003

0,008

0,010

9. Массовая доля цинка (Zn2+), %, не более

0,04

0,3

0,7

10. Массовая доля хлоридов (Сl-1), %, не более

0,01

0,06

0,06

11. Массовая доля воды, %, не более

0,04

0,05

0,05


Примечания:

1. Для производства синтетических моющих средств массовая доля нерастворимого в воде остатка в высшем сорте не должна превышать 0,10%.

2. Показатели по пп.5, 7-10 таблицы даны в пересчете на прокаленный продукт.

3. Сульфат натрия, не предназначенный для производства синтетических моющих средств, может иметь светлые цветовые оттенки. 

(Измененная редакция, Изм. N 1, 2, 3).

2. ПРАВИЛА ПРИЕМКИ

2.1. Сульфат натрия принимают партией. За партию принимают продукт, однородный по показателям качества, массой не более 200 т, сопровождаемый одним документом о качестве.

Документ о качестве должен содержать:

наименование и товарный знак предприятия-изготовителя;

наименование и сорт продукта;

номер партии;

дату изготовления продукта;

массу нетто, кг;

количество мест в партии;

результаты проведенных анализов или подтверждение соответствия качества продукта требованиям настоящего стандарта;

штамп технического контроля;

обозначение настоящего стандарта. 

(Измененная редакция, Изм. N 2).

2.2. Для проверки качества сульфата натрия на соответствие его показателей требованиям настоящего стандарта отбирают 5% мешков, но не менее, чем три мешка от партии, состоящей не более чем из 60 мешков; при отгрузке продукта в вагонах, содовозах или контейнерах пробу отбирают не менее чем из трех точек каждого вагона, содовоза или контейнера.

2.3. При получении неудовлетворительных результатов анализа хотя бы по одному из показателей проводят повторный анализ от удвоенной выборки той же партии или удвоенного количества проб, взятых от вагона, содовоза. Результаты повторного анализа распространяются на всю партию.

2.4. Показатели содержания железа, хлоридов, кальция и магния, содержание воды, кислоты изготовитель определяет периодически, не менее одного раза в квартал.

(Измененная редакция, Изм. N 1).

3. МЕТОДЫ АНАЛИЗА

3.1. Точечные пробы от упакованного продукта отбирают щупом, погружая его три раза на 4/5 глубины мешка или контейнера. Масса отобранной точечной пробы не должна быть менее 0,2 кг.

При отгрузке в вагонах и содовозах массу пробы отбирают щупом, погруженным на глубину не менее чем 1,5 м. Масса отобранной точечной пробы не должна быть менее 1,5 кг.

Допускается точечные пробы отбирать из накопительной емкости изготовителя.

Из загрузочного или разгрузочного устройства накопительной емкости с помощью механического пробоотборного устройства или совком отбирают не менее трех проб.

Масса отобранной точечной пробы должна быть не менее 1,5 кг. 

(Измененная редакция, Изм. N 3).

3.2. Отобранные точечные пробы соединяют, тщательно перемешивают и сокращают методом квартования до получения средней пробы массой не менее 0,5 кг. Среднюю пробу сульфата натрия помещают в чистую сухую, стеклянную, плотно закрываемую банку, на которую наклеивают этикетку с обозначениями: наименования продукта, номера партии и даты отбора пробы.

3.3. Внешний вид продукта определяют визуально

3.4. Определение массовой доли сульфата натрия

(Измененная редакция, Изм. N 3).

3.4.1. Определение массовой доли сульфата натрия проводится косвенным методом, основанным на вычитании из 100% суммарного количества примесей, выраженных в процентах по массе.

(Измененная редакция, Изм. N 1).

3.4.2. Обработка результатов

Массовую долю сульфата натрия (X) в процентах вычисляют по формуле где X1 - массовая доля щелочей в пересчете на Na2CO3, определенная по п.3.5, %; или массовая доля серной кислоты, %, определенная по п.3.8 и вычисленная по формуле где V - объем раствора гидроокиси натрия концентрации точно 0,1 моль/дм3 (0,1 н.), израсходованный на титрование анализируемой пробы, см3;
m - масса навески сульфата натрия, г;

0,0049 - масса серной кислоты, соответствующая 1 см3 раствора гидроокиси натрия концентрации точно 0,1 моль/дм3 (0,1 н.);

X2 - массовая доля нерастворимого остатка, определенная по п.3.7, %;

X3 - массовая доля сульфата кальция и магния в пересчете на сульфат кальция, определенная по п.3.9, %;

X4 - массовая доля железа, определенная по п.3.10, %;

3,5803 - коэффициент пересчета Fe3+ в Fe2(SO4)3;

X5 - массовая доля цинка, определенная по п.3.11, %;

2,4692 - коэффициент пересчета Zn2+ в ZnSO4;

X6 - массовая доля хлоридов, определенная по п.3.12, %;

1,6484 - коэффициент пересчета Сl в NaCl;

X7 - потери массы при прокаливании, определенные по п.3.6, %.

За результат анализа принимают среднее арифметическое двух параллельных определений, допускаемые расхождения между которыми не должны превышать 0,14%.

(Измененная редакция, Изм. N 1, 3).

3 4.3, 3.4.4, 3.4.5. (Исключены, Изм. N 1).

3.5. Определение общей щелочности в пересчете на Na2CO3

3.5.1. Применяемые реактивы и растворы:

кислота соляная по ГОСТ 3118-77, раствор концентрации 0,1 моль/дм3 (0,1 н.);

индикатор смешанный, готовят следующим образом: спиртовой раствор метилового красного с массовой долей 0,2% и спиртовой раствор метиленового голубого с массовой долей 0,1% смешивают в соотношении 1:1.

Раствор смешанного индикатора годен в течение двух суток;

Вода дистиллированная по ГОСТ 6709-72-->ГОСТ 6709-72.

3.5.2. Проведение анализа

Около 10 г анализируемого сульфата натрия взвешивают (результат взвешивания в граммах записывают до четвертого десятичного знака), помещают в коническую колбу вместимостью 250 см3, растворяют в 100 см3 воды при 50-60 °C в течение 30 мин, прибавляют 2-3 капли смешанного индикатора и титруют раствором соляной кислоты концентрации 0,1 моль/дм3 (0,1 н.) до появления фиолетовой окраски.

3.5.3. Обработка результатов

Общую щелочность в пересчете на Na2CO3 (X) в процентах вычисляют по формуле где V - объем раствора соляной кислоты концентрации 0,1 моль/дм3 (0,1 н.), израсходованный на титрование анализируемой пробы, см3;
m - масса навески сульфата натрия г;

0,0053 - количество Na2CO3, соответствующее 1 см3 раствора соляной кислоты концентрации точно 0,1 моль/дм3 (0,1 н.), г.

За результат анализа принимают среднее арифметическое двух параллельных определений, допускаемые расхождения между которыми не должны превышать 6% относительно среднего результата определения вычисляемой концентрации.

3.5.1-3.5.3. (Измененная редакция, Изм. N 3). 

3.6. Определение потери массы при прокаливании

3.6.1. Проведение анализа

Около 50 г анализируемого сульфата натрия взвешивают (результат взвешивания в граммах записывают до четвертого десятичного знака), помещают в фарфоровую чашку или тигель, доведенную до постоянной массы, и прокаливают в муфельной печи при 750-800 °С до постоянной массы. Первое взвешивание производят после 2 ч прокаливания.

(Измененная редакция, Изм. N 3).

3.6.2. Обработка результатов

Потери массы при прокаливании (X2) в процентах вычисляют по формуле где m - масса навески сульфата натрия, г;
m1 - масса прокаленного остатка, г.

За результат анализа принимают среднее арифметическое двух параллельных определений, допускаемые расхождения между которыми не должны превышать 6% относительно среднего результата определения вычисляемой концентрации.

3.7. Определение массовой доли нерастворимого остатка

(Измененная редакция, Изм. N 3). 

3.7.1. (Исключен, Изм. N 3).

3.7.1.1. Применяемые растворы и реактивы:

кислота серная по ГОСТ 4204-77, 20%-ный раствор;

барий хлористый по ГОСТ 4108-72, 10%-ный раствор;

Вода дистиллированная по ГОСТ 6709-72-->ГОСТ 6709-72;

фильтр бумажный "белая лента".

3.7.1.2. Проведение анализа

Около 40 г прокаленного сульфата натрия взвешивают с погрешностью не более 0,0002 г, помещают в стакан вместимостью 300 см3 и растворяют в 200 см3 горячей воды, раствор подкисляют 10 см3 раствора серной кислоты.

Раствор фильтруют в мерную колбу вместимостью 500 см3 через фильтр, предварительно высушенный до постоянной массы при 100-105 °С и взвешенный после охлаждения в эксикаторе.

Остаток на фильтре промывают несколько раз горячей водой до отрицательной реакции на сульфат-ион (проба раствором хлористого бария).

По охлаждении фильтрата колбу доливают водой до метки и тщательно перемешивают (раствор А).

Фильтр с промытым нерастворимым остатком помещают во взвешенную бюксу и высушивают в сушильном шкафу при 100-105 °C до постоянной массы.

3.7.1.3. Обработка результатов

Массовую долю нерастворимого в кислоте остатка (X3) в процентах вычисляют по формуле где m - масса навески сульфата натрия, г;
m1 - масса бюксы с сухим фильтром, г;

m2 - масса бюксы с фильтром и высушенным нерастворимым остатком, г.

За результат анализа принимают среднее арифметическое двух параллельных определений, допускаемые расхождения между которыми не должны превышать 20% относительно среднего результата определения вычисляемой концентрации. 

3.7.2. Определение в воде

3.7.2.1. Применяемые растворы и реактивы:

Вода дистиллированная по ГОСТ 6709-72-->ГОСТ 6709-72;

фильтр бумажный "белая лента";

барий хлористый по ГОСТ 4108-72, раствор с массовой долей 10%.

3.7.2.2. Проведение анализа

Около 40 г прокаленного сульфата натрия взвешивают (результат взвешивания в граммах записывают до четвертого десятичного знака), помещают в стакан вместимостью 300 см3 и растворяют в 200 см3 горячей воды. Раствор фильтруют в мерную колбу вместимостью 500 см3 через фильтр, предварительно высушенный до постоянной массы при 100-105 °C и взвешенный после охлаждения в эксикаторе.

Остаток на фильтре промывают несколько раз горячей водой до отрицательной реакции на сульфат-ион (проба раствором хлористого бария).

Фильтрат собирают в мерную колбу вместимостью 500 см3, доливают водой до метки и тщательно перемешивают (раствор А).

Фильтр с промытым осадком помещают в предварительно взвешенную бюксу и сушат в сушильном шкафу при температуре 100-105 °C до постоянной массы.

3.7.2.3. Обработка результатов

Массовую долю нерастворимого в воде остатка (X4) в процентах вычисляют по формуле где m - масса навески сульфата натрия, г:
m1 - масса бюксы с сухим фильтром, г;

m2 - масса бюксы с фильтром и высушенным нерастворимым остатком, г.

За результат анализа принимают среднее арифметическое двух параллельных определений, допускаемые расхождения между которыми не должны превышать 12% относительно среднего результата определения вычисляемой концентрации.

3.7.2.1-3.7.2.3. (Измененная редакция, Изм. N 3).

3.8. Определение массовой доли серной кислоты

3.8.1. Применяемые реактивы и растворы:

натрия гидроокись по ГОСТ 4328-77, раствор концентрации 0,1 моль/дм3 (0,1 н.);

метиловый оранжевый (индикатор);

Вода дистиллированная по ГОСТ 6709-72-->ГОСТ 6709-72.

3.8.2. Проведение анализа

Около 10 г анализируемого сульфата натрия взвешивают (результат взвешивания в граммах записывают до второго десятичного знака), помещают в коническую колбу вместимостью 250 см3, растворяют в 100 см3 воды, добавляют 1-2 капли метилового оранжевого и титруют раствором едкого натра. Проба выдерживает испытание, если на ее нейтрализацию по метиловому оранжевому пойдет не более 0,8 см раствора гидроокиси натрия концентрации 0,1 моль/дм3 (0,1 н.).

3.8-3.8.2. (Измененная редакция, Изм. N 3).

3.9. Определение массовой доли кальция и магния в пересчете на CaSO4

3.9.1. Применяемые растворы и реактивы:

кислота винная (виннокаменная кислота) по ГОСТ 5817-77, раствор с массовой долей 50%;

Аммоний хлористый по ГОСТ 3773-72, ч.д.а.;

аммиак водный по ГОСТ 3760-79, растворы с массовой долей 10 и 25%;

аммиачный буферный раствор, pH 10; готовят следующим образом: 54 г хлористого аммония растворяют в 200 см3 воды, добавляют 350 см3 раствора аммиака с массовой долей 25% и доводят объем водой до 1 л;

соль динатриевая этилендиамин-N, N, N'N'-тeтpayкcycной кислоты, 2-водная (трилон б) по ГОСТ 10652-73, раствор концентрации c(1/2C10H14N2O8Na2x2H2O)=0,01 моль/дм3 (0,01 н.);

унитиол, раствор с массовой долей 2,5% или натрий сернистый 9-водный по ГОСТ 2053-77, раствор с массовой долей 10%;

Натрий хлористый по ГОСТ 4233-77;

эриохром черный Т; готовят следующим образом: 0,5 г эриохрома черного Т и 100 г тонко измельченного хлористого натрия тщательно перемешивают.

(Измененная редакция, Изм. N 1,3).

3.9.2. Проведение анализа

В коническую колбу вместимостью 250 см3 отбирают 100 см3 раствора А, приготовленного по п.3.7.2.2, прибавляют 2 см3 винной кислоты и нейтрализуют 7 см3 раствора аммиака с массовой долей 10%. Добавляют 2-5 см3 аммиачного буферного раствора, 5 см3 раствора унитиола или сернистого натрия и титруют раствором трилона Б в присутствии смеси индикатора эриохрома черного Т (около 0,1 г) до перехода окраски от малиново-розовой в синюю.

3.9.3. Обработка результатов

Массовую долю кальция и магния в пересчете на CaSO4 (X5) в процентах вычисляют по формуле где V - объем раствора трилона Б концентрации точно c(1/2C10H14N2O8Na2x2H2O)=0,01 моль/дм3 (0,01 н.), израсходованный на титрование анализируемого раствора, см3;
0,00068 - количество сернокислого кальция, соответствующее 1 см3 раствора трилона Б концентрации точно c(1/2C10H14N2O8Na2x2H2O)=0,01 моль/дм3 (0,01 н.), г;

m - масса навески прокаленного сульфата натрия, г.

За результат анализа принимают среднее арифметическое двух параллельных определений, допускаемые расхождения между которыми не должны превышать 18% относительно среднего результата определения вычисляемой концентрации.

3.10. Определение массовой доли железа

3.10.1 Применяемые приборы, реактивы и растворы:

фотоэлектроколориметр;

кислота азотная по ГОСТ 4461-77, раствор с массовой долей 10%;

кислота сульфосалициловая по ГОСТ 4478-78, раствор с массовой долей 10%;

аммиак водный по ГОСТ 3760-79, раствор с массовой долей 10%;

Вода дистиллированная по ГОСТ 6709-72-->ГОСТ 6709-72;

раствор, содержащий железо (Fe3+), готовят по ГОСТ 4212-76, 1 см3 приготовленного раствора содержит 1 мг железа. Разбавлением получают раствор с массовой долей 0,01 мг железа (раствор Б).

3.10.2. Построение градуировочного графика

Для построения градуировочного графика готовят серию образцовых растворов.

Для этого в стаканчики вместимостью по 100 см3 каждый приливают по 25 см3 воды, 5 смраствора азотной кислоты и кипятят содержимое в течение 10 мин. Затем растворы количественно переносят в мерные колбы вместимостью по 50 см3 каждая, охлаждают до комнатной температуры и вводят соответственно 2,0; 4,0; 6,0; 8,0; 10,0 см3 раствора Б, что соответствует содержанию 0,02; 0,04; 0,06; 0,08; 0,10 мг железа.

В колбы приливают по 10 см3 сульфосалициловой кислоты, перемешивают, добавляют по каплям раствор аммиака до образования желтой окраски, приливают еще 1,5 см3 раствора аммиака, доводят объем растворов водой до метки и тщательно перемешивают. Одновременно в мерной колбе готовят раствор сравнения, не содержащий железа. Через 15 мин измеряют оптическую плотность образцовых растворов по отношению к раствору сравнения на фотоэлектроколориметре при длине волны (400±5) нм в кюветах с толщиной поглощающего свет слоя раствора 30 мм, пользуясь синим светофильтром.

По полученным данным строят градуировочный график, откладывая по оси абсцисс содержание железа в миллиграммах и по оси ординат - соответствующие им значения оптических плотностей растворов.

3.10.3. Проведение анализа

В стакан вместимостью 100 см3 отбирают 25 см3 раствора А, приготовленного по п.3.7.2.2, прибавляют 5 см3 азотной кислоты и кипятят в течение 10 мин. Затем раствор количественно переносят в мерную колбу вместимостью 50 см3, охлаждают до комнатной температуры, приливают 10 см3 сульфосалициловой кислоты, перемешивают, добавляют раствор аммиака по каплям до образования желтой окраски, приливают еще 1,5 см3 раствора аммиака, доводят объем раствора до метки водой и перемешивают.

Через 15 мин измеряют оптическую плотность анализируемого раствора так же, как при построении градуировочного графика. Пользуясь градуировочным графиком, находят содержание железа в анализируемой пробе.

3.10.4. Обработка результатов

Массовую долю железа (X6) в процентах вычисляют по формуле где m1 - масса железа, найденная по градуировочному графику, мг;
m - масса навески сульфата натрия, г.

За результат анализа принимают среднее арифметическое двух параллельных определений, допускаемые расхождения между которыми не должны превышать 12% относительно среднего результата определения вычисляемой концентрации.

3.11. Определение массовой доли цинка

3.9.2-3.11. (Измененная редакция, Изм. N 3).

3.11.1. Применяемые реактивы и растворы:

Натрий фтористый по ГОСТ 4463-76, раствор с массовой долей 4%;

кислота винная (виннокаменная кислота) по ГОСТ 5817-77, раствор с массовой долей 50%;

аммиак водный по ГОСТ 3760-79, растворы с массовой долей 10 и 25%;

Аммоний хлористый по ГОСТ 3773-72;

аммиачный буферный раствор, pH 10, приготовленный по п.3.9.1;

индикатор эриохром черный Т, приготовленный по п.3.9.1;

соль динатриевая этилендиамин-N,N,N'N'-тетрауксусной кислоты, 2-водная (трилон б) по ГОСТ 10652-73, растворы концентраций c(1/2C10H14N2O8Na2x2H2O)=0,01 моль/дм3 (0,01 н.) и 0,1 моль/дм3 (0,1 н.).

(Измененная редакция, Изм. N 1,3).

3.11.2. Проведение анализа

В коническую колбу вместимостью 250 см3 отбирают 50 см3 раствора А, приготовленного по п.3.7.2.2, прибавляют 2 см3 раствора фтористого натрия, 1 см3 раствора винной кислоты и нейтрализуют раствором аммиака с массовой долей 10% по универсальной индикаторной бумажке до pH 7. Затем прибавляют 2 см3 аммиачного буферного раствора и титруют раствором трилона Б в присутствии эриохрома черного Т (около 0,1 г) до перехода окраски от малиново-розовой в синюю.

3.11.3. Обработка результатов

Массовую долю цинка (X7) в процентах вычисляют по формуле где V - объем раствора трилона Б концентрации точно c(1/2C10H14N2O8Na2x2H2O)=0,01 моль/дм3 (0,01 н.), израсходованный на титрование анализируемого раствора, см3;

0,0003269 - количество ионов цинка, соответствующее 1 см3 раствора трилона Б концентрации точно c(1/2C10H14N2O8Na2x2H2O)=0,01 моль/дм3 (0,01 н.), г;

- масса навески сульфата натрия, г.

За результат анализа принимают среднее арифметическое двух параллельных определений, допускаемые расхождения между которыми не должны превышать 20% относительно среднего результата определения вычисляе

мой концентрации.

3.12. Определение массовой доли хлоридов

3.11.2-3.12. (Измененная редакция, Изм. N 3).

3.12.1. Применяемые реактивы и растворы:

кислота азотная по ГОСТ 4461-77, раствор концентрации 1 моль/дм3 (1 н.);

Ртуть азотнокислая окисная по ГОСТ 4520-78, раствор концентрации c(1/2Hg(NO3)2)=0,1 моль/дм3 (0,1 н.);

дифенилкарбазид по ТУ 6-09-07-1672-88, раствор с массовой долей 1%, готовят по ГОСТ 4919.1-77.

(Измененная редакция, Изм. N 1, 3).

3.12.2. Проведение анализа

В коническую колбу вместимостью 250 см3 отбирают 100 см3 раствора А, приготовленного по п.3.7.2.2, прибавляют 1 см3 азотной кислоты, 1 см3 раствора дифенилкарбазида с массовой долей 1% и титруют раствором окисной азотнокислой ртути до перехода окраски от бесцветной в фиолетовую. 

(Измененная редакция, Изм. N 1, 3).

3.12.3. Обработка результатов

Массовую долю хлоридов (X8) в процентах вычисляют по формуле где V - объем раствора окисной азотнокислой ртути концентрации точно c(1/2Hg(NO3)2)=0,1 моль/дм3 (0,1 н.), израсходованный на титрование анализируемого раствора, см3;
0,00355 - количество хлора, соответствующее 1 см3 раствора окисной азотнокислой ртути концентрации точно c(1/2Hg(NO3)2)=0,1 моль/дм3 (0,1 н.);

m - масса навески сульфата натрия, г.

За результат анализа принимают среднее арифметическое двух параллельных определений, допускаемые расхождения между которыми не должны превышать 18% относительно среднего результата определения вычисляемой концентрации.

3.13. Определение массовой доли воды

3.13.1. Проведение анализа

Около 10 г сульфата натрия взвешивают (результат взвешивания в граммах записывают до четвертого десятичного знака), помещают в бюксу, доведенную до постоянной массы, и высушивают в сушильном шкафу при 100-105 °С до постоянной массы.

3.12.3-3.13.1. (Измененная редакция, Изм. N 3).

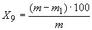
3.13.2. Обработки результатов

Массовую долю воды (X9) в процентах вычисляют по формуле где m - масса навески сульфата натрия, г;
m1 - масса высушенного продукта, г.

За результат анализа принимают среднее арифметическое двух параллельных определений, допускаемые расхождения между которыми не должны превышать 6% относительно среднего результата определения вычисляемой концентрации.

4. УПАКОВКА, МАРКИРОВКА, ТРАНСПОРТИРОВАНИЕ И ХРАНЕНИЕ

4.1. Сульфат натрия упаковывают в четырех-, пятислойные бумажные мешки марок ВМ, ПМ, БМП, ВМБ, ВМП по ГОСТ 2226-88, полиэтиленовые мешки по ГОСТ 17811-78, в мягкие контейнеры типа МКР-1, О М, МКР-1, О С (с мешком-вкладышем).

Полиэтиленовые мешки должны быть заварены, бумажные - прошиты машинным способом.

Масса каждого мешка одной партии должна быть одинаковой, допускаемые отклонения в массе составляют ±3%. Предельная масса мешка - по ГОСТ 2226-88.

(Измененная редакция, Изм. N 1, 3).

4.2. Сульфат натрия, упакованный в мешки, транспортируют по железной дороге пакетами по ГОСТ 26663-85.

Допускается Сульфат натрия, упакованный в мешки, транспортировать по железной дороге в непакетированном виде повагонными отправками при наличии подъездных путей у изготовителя и потребителя.

Сульфат натрия, упакованный в мягкие контейнеры, транспортируют в полувагонах повагонными отправками без перевалов в пути следования с погрузкой и выгрузкой на подъездных путях грузоотправителя (получателя) согласно правилам перевозки грузов и техническим условиям погрузки и крепления грузов, утвержденным Министерством путей сообщения СССР.

По согласованию с потребителем допускается мягкие контейнеры транспортировать в крытых железнодорожных вагонах.

Сульфат натрия транспортируют в содовозах.

4.3. Транспортная манкировка по ГОСТ 14192-77 с нанесением манипуляционного знака "Боится сырости".

Маркировка должна содержать следующие данные об упакованной продукции:

наименование и товарный знак предприятия-изготовителя;

наименование продукции и сорта;

дату изготовления;

номер партии;

массу нетто и брутто;

обозначение настоящего стандарта. 

4.2, 4.3. (Измененная редакция, Изм. N 3).

4.4. (Исключен, Изм. N 2).

4.5. (Исключен, Изм. N 3).

4.6. Упакованный Сульфат натрия хранят в неповрежденной упаковке в крытых складских помещениях, в неупакованном виде - в крытых складских помещениях с цементным полом, асфальтовым или кирпичным в силосах. Мягкие контейнеры хранят на открытых площадках.

(Измененная редакция, Изм. N 3).

5. ГАРАНТИИ ИЗГОТОВИТЕЛЯ

5.1. Изготовитель должен гарантировать соответствие сульфата натрия требованиям настоящего стандарта при соблюдении условия транспортирования и хранения.

5.2. Гарантийный срок хранения сульфата натрия - шесть месяцев со дня изготовления. 

5.1, 5.2. (Измененная редакция, Изм. N 2).

6. ТРЕБОВАНИЯ БЕЗОПАСНОСТИ

6.1. Сульфат натрия не токсичен, пожаро- и взрывобезопасен. Пылевоздушная смесь сульфата натрия не взрывоопасна. 

6.2. (Исключен, Изм. N 1).

6.3. Все работы с сульфатом натрия должны проводиться в помещениях, оборудованных приточно-вытяжной вентиляцией, а места наибольшего пылевыделения должны быть оборудованы укрытиями с местной вытяжной вентиляцией.

6.4. Для защиты от пыли сульфата натрия применяют противопыльные респираторы типа ШБ-1 "Лепесток-5".

6.5. Все работы проводятся в спецодежде в соответствии с типовыми отраслевыми нормами, утвержденными Постановлением Государственного комитета Совета Министров СССР по вопросам труда и заработной платы и Президиума ВЦСПС.




официальное издание
М.: Издательство стандартов, 1991