Натрий лимоннокислый 5,5-водный. Реактивы ГОСТ 22280-76
натрий лимоннокислый 5,5-водный. Реактивы. Технические условия (с Изменением N 1) ГОСТ 22280-76
ГОСТ 22280-76
Группа Л52
МЕЖГОСУДАРСТВЕННЫЙ СТАНДАРТ
Реактивы
натрий лимоннокислый 5,5-ВОДНЫЙ
Технические условия
Reagents. tri-Sodium citrate 5,5-aqueous. Specifications
МКС 71.040.30
ОКП 26 3452 0890 01
Дата введения 1977-07-01
ИНФОРМАЦИОННЫЕ ДАННЫЕ
1. РАЗРАБОТАН И ВНЕСЕН Министерством химической промышленности
2. УТВЕРЖДЕН И ВВЕДЕН В ДЕЙСТВИЕ Постановлением Государственного комитета стандартов Совета Министров СССР от 28.12.76 N 2888
3. ВЗАМЕН ГОСТ 5.1314-72
4. ССЫЛОЧНЫЕ НОРМАТИВНО-ТЕХНИЧЕСКИЕ ДОКУМЕНТЫ
|
Обозначение НТД, на который дана ссылка |
Номер пункта, подпункта |
|
3.11.1 |
|
|
ГОСТ 1770-74 |
3.2.1, 3.3.1, 3.11.1, 3.13.1 |
|
3.2.1 |
|
|
2.1, 3.1, 4.1 |
|
|
3.11.1 |
|
|
ГОСТ 4212-76 |
3.13.1 |
|
3.2.1 |
|
|
3.7 |
|
|
ГОСТ 4517-87 |
3.2.1, 3.12 |
|
ГОСТ 4919.1-77 |
3.2.1 |
|
3.13.1 |
|
|
ГОСТ 6563-75 |
3.10 |
|
3.3.1, 3.11.1, 3.13.1 |
|
|
ГОСТ 10485-75 |
3.8 |
|
ГОСТ 10555-75 |
3.6 |
|
ГОСТ 10671.5-74 |
3.5 |
|
ГОСТ 10671.6-74 |
3.10 |
|
ГОСТ 10671.7-74 |
3.4 |
|
ГОСТ 14192-96 |
4.1 |
|
ГОСТ 17319-76 |
3.7 |
|
3.2.1, 3.5 |
|
|
ГОСТ 19433-88 |
4.1 |
|
3.2.1 |
|
|
ГОСТ 24245-80 |
3.9 |
|
ГОСТ 25336-82 |
3.2.1, 3.3.1, 3.11.1, 3.12 |
|
ГОСТ 25794.1-83 |
3.2.1 |
|
ГОСТ 27025-86 |
3.1а |
|
3.2.1 |
5. Ограничение срока действия снято по протоколу N 4-93 Межгосударственного совета по стандартизации, метрологии и сертификации (ИУС 4-94)
6. ИЗДАНИЕ (апрель 2003 г.) с Изменением N 1, утвержденным в декабре 1989 г. (ИУС 3-90)
Настоящий стандарт распространяется на 5,5-водный лимоннокислый натрий, представляющий собой белый кристаллический порошок, легко растворимый в воде, слабо растворимый в спирте.
Формулы:
эмпирическая Na3C6H5O7·5,5H2O
структурная 
Молекулярная масса (по международным атомным массам 1971 г.) - 357,16.
(Измененная редакция, Изм. N 1).
1. ТЕХНИЧЕСКИЕ ТРЕБОВАНИЯ
1.1а. 5,5-водный лимоннокислый натрий должен быть изготовлен в соответствии с требованиями настоящего стандарта по технологическому регламенту, утвержденному в установленном порядке.
(Введен дополнительно, Изм. N 1).
1.1. По физико-химическим показателям 5,5-водный лимоннокислый натрий должен соответствовать требованиям и нормам, указанным в табл.1.
Таблица 1
(Измененная редакция, Изм. N 1).
2. ПРАВИЛА ПРИЕМКИ
2.1. Правила приемки - по ГОСТ 3885.
2.2. Массовые доли хлоридов, мышьяка, тяжелых металлов, фосфатов и восстанавливающие вещества изготовитель определяет периодически в каждой 10-й партии.
(Введен дополнительно, Изм. N 1).
3. МЕТОДЫ АНАЛИЗА
3.1а. Общие указания по проведению анализа - по ГОСТ 27025.
При взвешивании применяют весы лабораторные общего назначения типа ВЛР-200 и ВЛКТ-500 г-М или ВЛЭ-200 г.
Допускается применение других средств измерения с метрологическими характеристиками и оборудования с техническими характеристиками не хуже, а также реактивов по качеству не ниже указанных в настоящем стандарте.
(Введен дополнительно, Изм. N 1).
3.1. Пробы отбирают по ГОСТ 3885. Масса средней пробы должна быть не менее 360 г.
3.2. Определение массовой доли 5,5-водного лимоннокислого натрия
3.1, 3.2. (Измененная редакция, Изм. N 1).
3.2.1. Аппаратура, реактивы и растворы
Колонка стеклянная с притертыми кранами, с внутренним диаметром 18-20 мм и рабочей высотой 100-150 мм, в верхней части которой имеется расширение, в нижнюю часть впаяна стеклянная пластинка с мелкими отверстиями или пористая пластинка типа ПОР 160 (ГОСТ 25336), можно применять стеклянную вату.
Бюретка вместимостью 50 см3 с ценой деления 0,1 см3 или вместимостью 25 см3 с ценой деления 0,05 см3.
Колба 2-250-2 по ГОСТ 1770.
Колба Кн-2-500-34 ХС по ГОСТ 25336.
Пипетка вместимостью 25 см3 и пипетка градуированная вместимостью 10 см3.
Цилиндр 1(3)-250 по ГОСТ 1770.
Катионит марки КУ-1 или КУ-2-8 по ГОСТ 20298.
аммоний роданистый по ГОСТ 27067, раствор с массовой долей 25%.
Вода дистиллированная, не содержащая CO2; готовят по ГОСТ 4517.
кислота соляная по ГОСТ 3118, раствор с массовой долей 25%; готовят по ГОСТ 4517.
Метиловый оранжевый (индикатор), раствор с массовой долей 0,1%; готовят по ГОСТ 4919.1.
Натрия гидроокись (гидроксид) по ГОСТ 4328, раствор концентрации c(NaOH)=0,1 моль/дм3 (0,1 н.); готовят по ГОСТ 25794.1.
Спирт этиловый ректификованный технический по ГОСТ 18300, высшего сорта;
Фенолфталеин (индикатор), спиртовой раствор с массовой долей 1%; готовят по ГОСТ 4919.1.
(Измененная редакция, Изм. N1).
3.2.2. Подготовка к анализу
Катионит отсеивают от пыли и крупных частиц. Для анализа применяют фракции размером от 0,3 до 1,5 мм.
Для удаления загрязнений и минеральных примесей и перевода катионита в Н-форму катионит помещают в стакан и несколько раз обрабатывают раствором соляной кислоты, нагретым до 50-60 °С. После этого катионит загружают в колонку до высоты столба 100-150 мм и продолжают отмывать нагретым раствором соляной кислоты до отрицательной реакции на ион железа (проба с раствором роданистого аммония), затем дистиллированной водой до нейтральной реакции по метиловому оранжевому.
При работе в слое катионита не должно быть воздуха.
Катионит хранят в колонке под слоем воды и отсасывают на воронке Бюхнера и хранят в банке с притертой пробкой.
3.2.3. Проведение анализа
Около 2,0000 г препарата помещают в мерную колбу, растворяют в воде, доводят объем водой до метки и перемешивают, 25 см3 полученного раствора, отмеренного пипеткой, пропускают со скоростью 5-6 см3/мин через колонку, наполненную катионитом. Катионит в колонке промывают 250 см3 воды с той же скоростью. Раствор и промывные воды собирают в коническую колбу, затем прибавляют 1-2 капли раствора фенолфталеина и титруют из бюретки раствором гидроксида натрия до появления розовой окраски, не исчезающей в течение 5 мин.
(Измененная редакция, Изм. N 1).
3.2.4. Обработка результатов
Массовую долю 5,5-водного лимоннокислого натрия (X) в процентах вычисляют по формуле
где V - объем раствора гидроксида натрия концентрации точно 0,1 моль/дм3, израсходованный на титрование, см3;
0,011905 - масса 5,5-водного лимоннокислого натрия, соответствующая 1 см3 раствора гидроксида натрия концентрации точно 0,1 моль/дм3, г;
m - масса навески препарата, г.
За результат анализа принимают среднеарифметическое результатов двух параллельных определений, абсолютное расхождение между которыми не превышает допускаемое расхождение, равное 0,3%.
Допускаемая абсолютная суммарная погрешность результата анализа ±0,7% при доверительной вероятности P=0,95.
(Измененная редакция, Изм. N 1).
3.3. Определение массовой доли нерастворимых в воде веществ
3.3.1. Реактивы и посуда
Вода дистиллированная по ГОСТ 6709.
Стакан В-1-400 ТХС по ГОСТ 25336.
Тигель фильтрующий типа ТФ ПОР 10 или ТФ ПОР 16 по ГОСТ 25336.
Цилиндр 1(3)-250 или мензурка 250 по ГОСТ 1770.
(Измененная редакция, Изм. N 1).
3.3.2. Проведение анализа
50,00 г препарата помещают в стакан и растворяют при нагревании в 250 см3 воды. Стакан с раствором накрывают часовым стеклом и выдерживают на водяной бане в течение 1 ч.
Затем раствор фильтруют через фильтр, предварительно высушенный до постоянной массы и взвешенный (результат взвешивания в граммах записывают с точностью до четвертого десятичного знака). Остаток на фильтре промывают 150 см3 горячей воды и сушат в сушильном шкафу при 105-110 °С до постоянной массы.
Препарат считают соответствующим требованиям настоящего стандарта, если масса остатка после высушивания не будет превышать:
Допускаемая относительная суммарная погрешность результата анализа ±35% для препарата "чистый для анализа" и ±20% для препарата "чистый" при доверительной вероятности P=0,95.
(Измененная редакция, Изм. N 1).
3.4. Определение массовой доли хлоридов
Определение массовой доли хлоридов проводят по ГОСТ 10671.7.
При этом 2,00 г препарата помещают в коническую колбу вместимостью 100 см3 (с меткой на 40 см3) и растворяют в 20 см3 воды.
Если раствор мутный, его фильтруют через обеззоленный фильтр "синяя лента", тщательно промытый горячим раствором азотной кислоты с массовой долей 1%.
Затем прибавляют 5 см3 раствора азотной кислоты с массовой долей 25%, кипятят 1-2 мин, охлаждают и далее определение проводят визуально-нефелометрическим методом (способ 2).
Препарат считают соответствующим требованиям настоящего стандарта, если наблюдаемая через 10 мин опалесценция анализируемого раствора не будет интенсивнее опалесценции раствора сравнения, приготовленного одновременно с анализируемым и содержащего в таком же объеме:
5 см3 раствора азотной кислоты с массовой долей 25% и 1 см3 раствора азотнокислого серебра.
(Измененная редакция, Изм. N 1).
3.5. Определение массовой доли сульфатов
Определение массовой доли сульфатов проводят по ГОСТ 10671.5. При этом 1,00 г препарата помещают в стакан или коническую колбу, растворяют в 20 см3 воды. Если раствор мутный, его фильтруют через обеззоленный фильтр "синяя лента", промытый горячей водой, прибавляют 4 см3 раствора соляной кислоты, перемешивают, прибавляют 5 см3 этилового спирта (ГОСТ 18300) и далее определение проводят (без добавления раствора соляной кислоты и крахмала) визуально-нефелометрическим методом (способ 1).
Препарат считают соответствующим требованиям настоящего стандарта, если наблюдаемая на темном фоне через 1 л опалесценция анализируемого раствора будет не интенсивнее опалесценции раствора сравнения, приготовленного одновременно с анализируемым и содержащего в таком же объеме:
1 см3 раствора соляной кислоты, 5 см3 этилового спирта и 3 см3 раствора хлористого бария.
(Измененная редакция, Изм. N 1).
3.6. Определение массовой доли железа
Определение массовой доли железа проводят по ГОСТ 10555. При этом 1,00 г препарата помещают в стакан вместимостью 100 см3, растворяют в 20 см3 воды и далее определение проводят 1,10-фенантролиновым методом.
Препарат считают соответствующим требованиям настоящего стандарта, если массовая доля железа не будет превышать:
Допускается заканчивать определение визуально.
При разногласиях в оценке массовой доли железа анализ заканчивают фотометрически.
(Измененная редакция, Изм. N 1).
3.7. Определение массовой доли тяжелых металлов
Определение массовой доли тяжелых металлов проводят по ГОСТ 17319. При этом 5,00 г препарата помещают в коническую колбу вместимостью 50 см3, растворяют в 20 см3 воды, прибавляют 1,5 см3 концентрированной азотной кислоты (ГОСТ 4461) и кипятят в течение 10 мин.
Раствор охлаждают, прибавляют 0,5 см3 раствора 4-водного виннокислого калия-натрия, нейтрализуют раствором гидроксида натрия по индикаторной бумаге (проба на вынос) и далее определение проводят тиоацетамидным методом визуально-колориметрически.
Препарат считают соответствующим требованиям настоящего стандарта, если наблюдаемая через 10 мин окраска анализируемого раствора будет не интенсивнее окраски раствора сравнения, приготовленного одновременно с анализируемым и содержащего в таком же объеме:
для препарата чистый для анализа и чистый - 0,025 мг Pb и 0,5 см3 раствора 4-водного виннокислого калия-натрия, 2 см3 раствора гидроксида натрия и 1 см3 раствора тиоацетамида.
(Измененная редакция, Изм. N 1).
3.8. Определение массовой доли мышьяка
Определение массовой доли мышьяка проводят по ГОСТ 10485 из навески 2,00 г препарата визуальным методом с применением бромнортутной бумаги в сернокислой среде.
Препарат считают соответствующим требованиям настоящего стандарта, если окраска бромнортутной бумаги от анализируемого раствора будет не интенсивнее окраски бромнортутной бумаги от раствора сравнения, приготовленного одновременно с анализируемым и содержащего в таком же объеме:
20 см3 раствора серной кислоты, 0,5 см3 раствора двухлористого олова и 5 г цинка.
(Измененная редакция, Изм. N 1).
3.9. Определение массовой доли аммония
Определение массовой доли аммония проводят по ГОСТ 24245. При этом 1,00 г препарата помещают в коническую колбу вместимостью 100 см3 (с меткой на 50 см3), растворяют в 40 см3 воды, прибавляют 2 см3 реактива Несслера (вместо 1 см), доводят объем раствора водой до метки, перемешивают и далее определение проводят по ГОСТ 24245 визуально, не добавляя раствора гидроксида натрия.
Препарат считают соответствующим требованиям настоящего стандарта, если наблюдаемая через 5 мин окраска анализируемого раствора не будет интенсивнее окраски раствора сравнения, приготовленного одновременно с анализируемым и содержащего в таком же объеме:
и 2 см3 реактива Несслера.
(Измененная редакция, Изм. N 1).
3.9.1, 3.9.2. (Исключены, Изм. N 1).
3.10. Определение массовой доли фосфатов
Определение массовой доли фосфатов проводят по ГОСТ 10671.6. При этом 1,00 г препарата помещают в платиновую чашку (ГОСТ 6563) и осторожно нагревают на песчаной бане, постепенно увеличивая температуру нагревания, затем прокаливают в муфельной печи при 500-600 °С до полного сгорания угля.
При неполном сгорании его смачивают несколькими каплями воды, выпаривают на водяной бане досуха и снова прокаливают. Операцию повторяют до получения остатка белого цвета. К остатку в чашке прибавляют раствор азотной кислоты до прекращения выделения пузырьков CO2 (около 1 см3) и выпаривают досуха на водяной бане.
Содержимое чашки растворяют при нагревании в 10 см3 воды, раствор переносят в мерную колбу вместимостью 25 см3, доводят объем раствора водой до 15 см3, если раствор мутный, его фильтруют через обеззоленный фильтр "синяя лента" и далее определение проводят фотометрическим методом по желтой окраске фосфорнованадиевомолибденового комплекса.
Препарат считают соответствующим требованиям настоящего стандарта, если массовая доля фосфатов не будет превышать:
Допускается заканчивать определение визуально.
При разногласиях в оценке массовой доли фосфатов анализ заканчивают фотометрически.
(Измененная редакция, Изм. N 1).
3.11 Испытание на отсутствие восстанавливающих веществ
3.11.1. Реактивы, растворы и посуда
Вода дистиллированная по ГОСТ 6709.
Медь (II) сернокислая 5-водная по ГОСТ 4165, раствор с массовой долей 12,5%.
Натрий углекислый по ГОСТ 83.
Колба Кн-2-250-34 ТХС по ГОСТ 25336.
Пипетка градуированная вместимостью 10 см3.
Цилиндр 1(3)-50 по ГОСТ 1770.
(Измененная редакция, Изм. N 1).
3.11.2. Проведение анализа
12,00 г препарата помещают в коническую колбу, растворяют в 50 см3 воды, добавляют 4 г углекислого натрия и 10 см3 раствора 5-водной сернокислой меди (II). Раствор нагревают и кипятят 5 мин.
Препарат считают соответствующим требованиям настоящего стандарта, если при этом не появляется осадка или мути.
(Измененная редакция, Изм. N 1).
3.12. Определение рН раствора препарата с массовой долей 10%
10,00 г препарата помещают в коническую колбу вместимостью 250 см3 (ГОСТ 25336), растворяют в 90 см3 дистиллированной воды, не содержащей углекислоты (готовят по ГОСТ 4517), перемешивают и измеряют pH раствора на универсальном иономере ЭВ-74.
За результат анализа принимают среднеарифметическое результатов двух параллельных определений, абсолютное расхождение между которыми не превышает допускаемое расхождение, равное 0,1 pH.
Допускаемая абсолютная суммарная погрешность результата анализа ±0,1 pH при доверительной вероятности P=0,95.
(Измененная редакция, Изм. N 1).
3.13. Определение массовой доли кальция пламенно-фотометрическим способом ограничивающих растворов
3.13.1. Приборы, оборудование, реактивы и растворы
Ацетилен растворенный технический по ГОСТ 5457.
Воздух сжатый для питания контрольно-измерительных приборов.
Фотометр пламенный или спектрофотометр на основе спектрографа ИСП-51 с приставкой ФЭП-1 с соответствующим фотоумножителем или спектрофотометр "Сатурн".
Горелка для воздушно-ацетиленового пламени.
Распылитель углового типа.
Колбы 2-100-2 по ГОСТ 1770.
Пипетки градуированные вместимостью 1, 2 и 10 см3.
Вода дистиллированная по ГОСТ 6709, вторично перегнанная в кварцевом дистилляторе.
натрий лимоннокислый 5,5-водный, не содержащий кальций, или с установленной остаточной концентрацией кальция (остаточную концентрацию определяют на спектрофотометре для пламени по методу добавок), раствор с массовой долей 10% - раствор А.
Раствор массовой концентрации Ca 1 мг/см3; готовят по ГОСТ 4212, соответствующим разбавлением готовят раствор массовой концентрации Ca 0,1 мг/см3 - раствор Б.
(Измененная редакция, Изм. N 1).
3.13.2. Подготовка к анализу
3.13.2.1. 1,00 г препарата помещают в мерную колбу, растворяют в воде, доводят объем водой до метки и тщательно перемешивают.
(Измененная редакция, Изм. N 1).
3.13.2.2. Приготовление растворов сравнения
В пять мерных колб помещают по 10 см3 раствора А (соответствует 1,00 г 5,5-водного лимоннокислого натрия) и указанные в табл.2 объемы раствора Б.
Таблица 2
Объем каждого раствора доводят водой до метки и тщательно перемешивают.
Все рабочие растворы, растворы сравнения и воду следует хранить в полиэтиленовой посуде.
(Измененная редакция, Изм. N 1).
3.13.2.3. Условия анализа
Анализ проводят в воздушно-ацетиленовом пламени при следующих рабочих условиях:
Условия анализа могут меняться при замене сопла для жидкости в распылителе или других деталей.
(Измененная редакция, Изм. N 1).
3.13.2.4. (Исключен, Изм. N 1).
3.13.3. Проведение анализа
Для анализа берут не менее двух навесок препарата. Анализ кальция проводят в пламени ацетилен-воздух, используя аналитическую линию 422,7 нм.
После подготовки прибора к работе проводят фотометрирование анализируемого раствора и растворов сравнения в следующем порядке:
распыляют серию растворов сравнения и анализируемого раствора, затем выбирают два раствора сравнения, между которыми находится проба, фотометрируют три раза все растворы в прямой и обратной последовательности и находят среднеарифметическое.
3.13.4. Обработка результатов
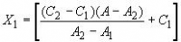
Массовую долю кальция (X1) в процентах вычисляют по формуле
где A - результат измерения величины сигнала анализируемого раствора;
A1 - результат измерения величины сигнала раствора сравнения с меньшей концентрацией кальция;
A2 - результат измерения величины сигнала раствора сравнения с большей концентрацией кальция;
C1 и C2 - массовая доля кальция в растворах сравнения, %, (
).
За результат анализа принимают среднеарифметическое результатов двух параллельных определений, относительное расхождение между которыми не превышает допускаемое расхождение, равное 20%.
Допускаемая относительная суммарная погрешность результата анализа ±10% при доверительной вероятности P=0,95.
(Измененная редакция, Изм. N 1).
4. УПАКОВКА, МАРКИРОВКА, ТРАНСПОРТИРОВАНИЕ И ХРАНЕНИЕ
4.1. Препарат упаковывают и маркируют в соответствии с ГОСТ 3885.
Вид и тип тары: 2-1, 2-4, 2-9, 11-1.
Группа фасовки: III, IV, V, VI, VII.
Тару маркируют по ГОСТ 14192 с нанесением знаков опасности по ГОСТ 19433 (класс 9, подкласс 9.1, классификационный шифр 9153).
(Измененная редакция, Изм. N 1).
4.2. Препарат перевозят всеми видами транспорта в соответствии с правилами перевозок грузов, действующими на данном виде транспорта.
4.3. Препарат хранят в упаковке изготовителя в крытых складских помещениях.
5. ГАРАНТИИ ИЗГОТОВИТЕЛЯ
5.1. Изготовитель гарантирует соответствие 5,5-водного лимоннокислого натрия требованиям настоящего стандарта при соблюдении условий транспортирования и хранения.
5.2. Гарантийный срок хранения препарата - один год со дня изготовления.
5.1, 5.2. (Измененная редакция, Изм. N 1).
6. ТРЕБОВАНИЯ БЕЗОПАСНОСТИ
6.1. 5,5-водный лимоннокислый натрий оказывает раздражающее действие на кожу, а при вдыхании в виде пыли - раздражает дыхательные пути.
6.2. При работе с препаратом необходимо пользоваться противопылевыми респираторами, а также соблюдать правила личной гигиены и не допускать попадания продукта внутрь организма.
6.3. Все рабочие помещения, где возможно выделение пыли 5,5-водного лимоннокислого натрия, должны быть оборудованы общей, приточно-вытяжной вентиляцией, а места наибольшего пыления - укрытиями с местной вытяжной вентиляцией; анализ препарата следует проводить в вытяжном шкафу лаборатории.
6.4. При проведении анализа 5,5-водного лимоннокислого натрия с использованием горючего газа следует соблюдать меры противопожарной безопасности.
6.1-6.4. (Измененная редакция, Изм. N 1).
официальное издание
М.: ИПК Издательство стандартов, 2003