Марганец (II) уксуснокислый 4-водный. Реактивы ГОСТ 16538-79
Марганец (II) уксуснокислый 4-водный. Реактивы. Технические условия (с Изменением N 1) ГОСТ 16538-79
ГОСТ 16538-79
Группа Л52
МЕЖГОСУДАРСТВЕННЫЙ СТАНДАРТ
Реактивы
МАРГАНЕЦ (II) УКСУСНОКИСЛЫЙ 4-ВОДНЫЙ
Технические условия
Reagents. Manganese (II) acetate, 4-aqueous. Specifications
ОКП 26 3421 1010 05
Дата введения 1980-07-01
ИНФОРМАЦИОННЫЕ ДАННЫЕ
1. РАЗРАБОТАН И ВНЕСЕН Министерством химической промышленности
РАЗРАБОТЧИКИ
Г.В.Грязнов, Т.Г.Манова, И.Л.Ротенберг, З.М.Ривина, Е.К.Богомолова, И.В.Жарова, Л.В.Кидиярова
2. УТВЕРЖДЕН И ВВЕДЕН В ДЕЙСТВИЕ Постановлением Государственного комитета СССР по стандартам от 15.03.79 N 922
3. ВЗАМЕН ГОСТ 16538-71
4. ССЫЛОЧНЫЕ НОРМАТИВНО-ТЕХНИЧЕСКИЕ ДОКУМЕНТЫ
|
Обозначение НТД, на который дана ссылка |
Номер пункта, подпункта |
|
ГОСТ 12.1.007-76 |
2.1 |
|
ГОСТ 1770-74 |
4.3.1; 4.7.1; 4.8.1; 4.9.1 |
|
4.8.1; 4.9.1 |
|
|
3.1; 4.1; 5.1 |
|
|
ГОСТ 4212-76 |
4.7.1; 4.8.1; 4.9.1 |
|
4.8.1 |
|
|
4.7.1; 4.9.1 |
|
|
4.3.1; 4.7.1; 4.8.1; 4.9.1 |
|
|
4.8.1 |
|
|
4.8.1 |
|
|
ГОСТ 10398-76 |
4.2 |
|
ГОСТ 10555-75 |
4.6 |
|
ГОСТ 10671.5-74 |
4.4 |
|
ГОСТ 10671.7-74 |
4.5 |
|
ГОСТ 25336-82 |
4.3.1; 4.8.1 |
|
ГОСТ 25794.1-83 |
4.9.1 |
|
ГОСТ 27025-86 |
4.1а |
5. Ограничение срока действия снято по протоколу N 4-93 Межгосударственного Совета по стандартизации, метрологии и сертификации (ИУС 4-94)
6. ПЕРЕИЗДАНИЕ (июнь 1999 г.) с Изменением N 1, утвержденным в декабре 1989 г. (ИУС 3-90)
Настоящий стандарт распространяется на 4-водный Уксуснокислый марганец (II), который представляет собой кристаллический порошок бледно-розового цвета; растворим в воде и в спирте.
Формулы: эмпирическая Mn(CH3CoO)2*4H2O
структурная 
Молекулярная масса (по международным атомным массам 1971 г.) - 245,08.
(Измененная редакция, Изм. N 1).
1. ТЕХНИЧЕСКИЕ ТРЕБОВАНИЯ
1.1. 4-водный Уксуснокислый марганец (II) должен быть изготовлен в соответствии с требованиями настоящего стандарта по технологическому регламенту, утвержденному в установленном порядке.
1.2. По химическим показателям 4-водный Уксуснокислый марганец (II) должен соответствовать нормам, указанным в табл.1.
Таблица 1
(Измененная редакция, Изм. N 1).
2. ТРЕБОВАНИЯ БЕЗОПАСНОСТИ
2.1. Соединения марганца являются сильными ядами, действующими на нервную систему, легкие, печень, почки и органы кровообращения. Предельно допустимая концентрация марганца в воздухе рабочей зоны производственных помещений составляет 0,3 мг/м3. Относится ко 2-му классу опасности (ГОСТ 12.1.007).
2.2. При работе с препаратом следует применять индивидуальные средства защиты (респираторы типа "Лепесток", резиновые перчатки, защитные очки), а также соблюдать правила личной гигиены. Не допускать попадания препарата внутрь организма.
2.3. Помещения, в которых проводят работы с препаратом, должны быть оборудованы общей приточно-вытяжной вентиляцией, а места наибольшего пыления - местными отсосами. Анализ препарата необходимо проводить в вытяжном шкафу.
(Измененная редакция, Изм. N 1).
2.4. При проведении анализа препарата с использованием горючего газа следует соблюдать меры противопожарной безопасности.
3. ПРАВИЛА ПРИЕМКИ
3.1. Правила приемки - по ГОСТ 3885.
3.2. Определение массовых долей кальция, меди, свинца и цинка изготовитель проводит периодически в каждой двадцатой партии.
(Введен дополнительно, Изм. N 1).
4. МЕТОДЫ АНАЛИЗА
4.1а. Общие указания по проведению анализа - по ГОСТ 27025.
При взвешивании применяют лабораторные весы общего назначения типов ВЛР-200 и ВЛКТ-500г-М или ВЛЭ-200г.
Допускается применение других средств измерения с метрологическими характеристиками и оборудования с техническими характеристиками не хуже, а также реактивов по качеству не ниже указанных в настоящем стандарте.
(Введен дополнительно, Изм. N 1).
4.1. Метод отбора проб - по ГОСТ 3885. Масса средней пробы должна быть не менее 240 г.
4.2. Определение массовой доли 4-водного уксуснокислого марганца (II) проводят по ГОСТ 10398 из навески около 0,3500 г. Масса 4-водного уксуснокислого марганца (II), соответствующая 1 см3 раствора ди-Na-ЭДТА концентрации точно 0,05 моль/дм3, - 0,01225 г.
За результат анализа, принимают среднее арифметическое результатов двух параллельных определений, абсолютное расхождение между которыми не превышает допускаемое расхождение, равное 0,3%.
Допускаемая абсолютная суммарная погрешность результата анализа ±0,5% при доверительной вероятности P=0,95.
4.1, 4.2. (Измененная редакция, Изм. N 1).
4.3. Определение массовой доли нерастворимых в воде веществ
4.3.1. Реактивы и посуда
Вода дистиллированная по ГОСТ 6709.
Стакан В(Н)-1-250 по ГОСТ 25336.
Тигель фильтрующий типа ТФ класса ПОР 10 или ПОР 16 по ГОСТ 25336.
Цилиндр 1(3)-250 или мензурка 250 по ГОСТ 1770.
4.3.2. Проведение анализа
50,00 г препарата помещают в стакан и растворяют в 200 см3 воды. Раствор фильтруют через фильтрующий тигель, предварительно прокаленный до постоянной массы и взвешенный. Результат взвешивания в граммах записывают с точностью до четвертого десятичного знака. Остаток на фильтре промывают 100 см3 горячей воды и сушат при 105-110 °С до постоянной массы.
Препарат считают соответствующим требованиям настоящего стандарта, если масса остатка после высушивания не будет превышать:
для препарата чистый для анализа - 2,5 мг,
для препарата чистый - 5 мг.
Допускаемая относительная суммарная погрешность результата анализа ±25% для препарата чистый для анализа и ±20% для препарата чистый при доверительной вероятности P=0,95.
4.4. Определение массовой доли сульфатов проводят по ГОСТ 10671.5. При этом 1,00 г препарата помещают в коническую колбу вместимостью 50 см3 (с меткой на 26 см3), растворяют в 20 см3 воды и, если раствор мутный, его фильтруют через обеззоленный фильтр "синяя лента", промытый горячей водой. Затем раствором соляной кислоты с массовой долей 10% доводят pH раствора до 1,2 (приблизительно 3,3 см3). Проверяют pH раствора на универсальном иономере ЭВ-74 или другом приборе с допускаемой основной погрешностью ±0,05 pH со стеклянным электродом.
Далее определение проводят фототурбидиметрическим или визуально-нефелометрическим (способ 1) методом, не прибавляя раствора соляной кислоты.
Препарат считают соответствующим требованиям настоящего стандарта, если масса сульфатов не будет превышать:
для препарата чистый для анализа - 0,05 мг,
для препарата чистый - 0,10 мг.
При разногласиях в оценке массовой доли сульфатов определение проводят фототурбидиметрическим методом.
4.5. Определение массовой доли хлоридов проводят по ГОСТ 10671.7. При этом 1,00 г препарата помещают в мерную колбу вместимостью 50 см3 или коническую колбу вместимостью 100 см3 и растворяют в 30 см3 воды. Если раствор мутный, его фильтруют через обеззоленный фильтр "синяя лента", промытый горячим раствором азотной кислоты с массовой долей 1%.
Далее определение проводят фототурбидиметрическим (способ 2) или визуально-нефелометрическим (способ 2) методом, прибавляя 3,0 см3 25%-ного раствора азотной кислоты вместо 2,0 см3.
Препарат считают соответствующим требованиям настоящего стандарта, если масса хлоридов не будет превышать:
для препарата чистый для анализа - 0,020 мг,
для препарата чистый - 0,100 мг.
При разногласиях в оценке массовой доли хлоридов определение проводят фототурбидиметрическим методом.
4.6. Определение массовой доли железа проводят по ГОСТ 10555. При этом 1,00 г препарата помещают в коническую колбу, растворяют в 15 см3 воды, прибавляют 3 см3 соляной кислоты и кипятят в течение 5 мин. Раствор охлаждают и количественно переносят в мерную колбу.
Далее определение проводят роданидным методом с предварительным окислением железа надсернокислым аммонием, не прибавляя раствора соляной кислоты.
Препарат считают соответствующим требованиям настоящего стандарта, если масса железа не будет превышать:
для препарата чистый для анализа - 0,010 мг,
для препарата чистый - 0,0200 мг.
4.3.1-4.6. (Измененная редакция, Изм. N 1).
4.7. Определение массовой доли натрия, калия и кальция
4.7.1. Приборы, реактивы и растворы
Фотометр пламенный или спектрофотометр на основе спектрографа ИСП-51 с приставкой ФЭП-1 с соответствующим фотоумножителем, или спектрофотометр "Сатурн" в эмиссионном режиме.
Горелка газовая.
Распылитель.
Ацетилен растворенный технический по ГОСТ 5457.
Пропан-бутан (бытовой в баллоне) или газ из городской сети.
Воздух сжатый для питания контрольно-измерительных приборов.
Вода дистиллированная по ГОСТ 6709, вторично перегнанная в кварцевом дистилляторе, или воде деминерализованная.
Растворы, содержащие Na, K, Ca; готовят по ГОСТ 4212; соответствующим разбавлением и смешением получают раствор массовой концентрации Na, K, Ca по 0,1 мг/см3 - раствор А.
Марганец (II) уксуснокислый 4-водный по настоящему стандарту, перекристаллизованный с установленными методом добавок массовыми долями примесей Na, K, Ca, раствор с массовой долей 10% - раствор Б.
Все растворы, а также воду, применяемую для их приготовления, хранят в полиэтиленовой или кварцевой посуде.
Колба 2-100-2 по ГОСТ 1770.
Пипетки вместимостью 2, 5 и 10 см.
Цилиндр 1(3)-100 по ГОСТ 1770.
(Измененная редакция, Изм. N 1).
4.7.2. Подготовка к анализу
4.7.2.1. Приготовление анализируемого раствора
1,00 г препарата помещают в мерную колбу, растворяют в воде, доводят объем раствора водой до метки и тщательно перемешивают.
4.7.2.2. Приготовление растворов сравнения
В пять мерных колб помещают по 20 см3 воды, 10 см3 раствора Б и объемы раствора А, указанные в табл.2.
Таблица 2
|
Номер раствора сравнения |
Объем раствора А, см3 |
Масса каждого элемента |
Массовая доля каждого элемента (Na, К, Ca) в растворе сравнения в пересчете на препарат, % |
||||
|
1 |
0 |
- |
- |
- |
- |
- |
- |
|
2 |
0,5 |
0,05 |
0,05 |
0,05 |
0,005 |
0,005 |
0,005 |
|
3 |
1 |
0,10 |
0,10 |
0,10 |
0,01 |
0,01 |
0,01 |
|
4 |
1,5 |
0,15 |
0,15 |
0,15 |
0,015 |
0,015 |
0,015 |
|
5 |
3 |
0,3 |
0,3 |
0,3 |
0,03 |
0,03 |
0,03 |
Растворы перемешивают, доводят водой до метки и снова тщательно перемешивают.
4.7.2.1, 4.7.2.2. (Измененная редакция, Изм. N 1).
4.7.3. Проведение анализа
Для анализа берут не менее двух навесок препарата. Проводят фотометрирование анализируемого раствора и раствор сравнения в порядке возрастания содержания примесей. Затем проводят фотометрирование в обратной последовательности, начиная с максимального содержания примесей, и вычисляют среднее арифметическое значение показаний, учитывая в качестве поправки отсчет, полученный при фотометрировании первого раствора сравнения. После каждого измерения распыляют воду.
Сравнивают интенсивность излучения резонансных линий Na - 589,0-589,6; K - 766,5; Ca - 422,7 нм, возникающих в спектре пламени газ-воздух при введении в него анализируемого раствора и растворов сравнения.
4.7.4. Обработка результатов
По полученным данным для растворов сравнения строят градуировочный график, откладывая значения интенсивности излучения на оси ординат, массовую долю примеси в процентах - на оси абсцисс.
Массовую долю каждой примеси в препарате находят по графику.
За результат анализа принимают среднее арифметическое результатов двух параллельных определений, относительное расхождение между которыми не превышает допускаемое расхождение, равное 20%.
Допускаемая относительная суммарная погрешность результата анализа ±10% при доверительной вероятности P=0,95.
(Измененная редакция, Изм. N 1).
4.8. Определение массовой доли меди и свинца
4.8.1. Приборы, реактивы и растворы
Полярограф регистрирующий.
Ячейка полярографическая с насыщенным каломельным электродом (или донной ртутью) - анодом и с ртутным капающим электродом - катодом.
Азот газообразный по ГОСТ 9293, очищенный от кислорода, или
Аргон газообразный по ГОСТ 10157, очищенный от кислорода.
Вода дистиллированная по ГОСТ 6709.
кислота соляная по ГОСТ 3118, раствор концентрации c(HCl)=0,1 моль/дм3.
Ртуть металлическая по ГОСТ 4658 марки Р-0 или Р-1, очищенная для полярографических работ.
Растворы, содержащие Cu и Pb; готовят по ГОСТ 4212; соответствующим разбавлением готовят растворы массовой концентрации Cu и Pb по 0,01 мг/см3.
Колба 2-50-2 по ГОСТ 1770.
Пипетки вместимостью 2 и 10 см3.
Стакан В-1-25 ТХС по ГОСТ 25336.
Цилиндр 1(3)-50 по ГОСТ 1770.
4.8.2. Подготовка к анализу
5,00 г препарата помещают в мерную колбу, растворяют в 10-15 см3 раствора соляной кислоты, доводят объем раствора этой же кислотой до метки и тщательно перемешивают.
4.8.3. Проведение анализа
В два стаканчика помещают по 10 см3 подготовленного раствора (соответствуют 1 г препарата). В первый стаканчик вводят по 0,005 мг Cu и Pb (в виде растворов) для препарата чистый для анализа или 0,005 мг Cu и 0,02 мг Pb (в виде растворов) для препарата чистый. Объемы растворов в первом и во втором стаканчиках должны быть одинаковыми, для этого во второй стаканчик добавляют воду (1,0 см3 при анализе препарата чистый для анализа или 2,5 см3 при анализе препарата чистый). Содержимое стаканчиков по очереди помещают в полярографическую ячейку. Через растворы в течение 10-15 мин пропускают азот или аргон, очищенные от кислорода, и снимают полярограммы в интервале потенциалов (0) - (минус 1,0) В.
Потенциал полуволны меди - минус 0,3 В.
Потенциал полуволны свинца - минус 0,6 В, относительно насыщенного каломельного электрода.
Чувствительность прибора подбирают так, чтобы высота волны в пробе была не менее 20 мм.
4.8.4. Обработка результатов
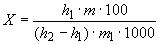
Массовую долю меди и свинца (X) в процентах вычисляют по формуле
где h1 - высота волны определяемой примеси в анализируемом растворе, мм;
h2 - высота волны определяемой примеси в растворе с добавками, мм;
m - масса определяемой примеси, введенная с раствором, содержащим Cu и Pb, мг;
m1 - масса навески препарата, г.
За результат анализа принимают среднее арифметическое результатов двух параллельных определений, относительное расхождение между которыми не превышает допускаемое расхождение, равное 5%.
4.8.1-4.8.4. (Измененная редакция, Изм. N 1).
4.9. Определение массовой доли цинка
4.9.1. Приборы, оборудование, реактивы и растворы
Спектрофотометр атомно-абсорбционный типов "Сатурн", "Сатурн-2".
Лампа спектральная с полым катодом ЛСП-Zn.
Ацетилен растворенный и газообразный технический по ГОСТ 5457.
Воздух сжатый для питания контрольно-измерительных приборов.
Вода дистиллированная по ГОСТ 6709, вторично перегнанная в кварцевом дистилляторе, или Вода деминерализованная.
Раствор, содержащий Zn; готовят по ГОСТ 4212; соответствующим разбавлением раствором соляной кислоты концентрации 0,001 моль/дм3 получают раствор массовой концентрации 0,1 мг/см3 Zn - раствор А.
кислота соляная по ГОСТ 3118, раствор концентрации c(HCl)=0,001 моль/дм3 (0,001 н.); готовят по ГОСТ 25794.1.
Колба 2-100-2 по ГОСТ 1770.
Пипетки вместимостью 2 и 5 см3.
Цилиндр 1(3)-50 по ГОСТ 1770.
(Измененная редакция, Изм. N 1).
4.9.2. Подготовка к анализу
4.9.2.1. Приготовление анализируемого раствора
1,00 г препарата помещают в мерную колбу, растворяют в воде, доводят объем раствора водой до метки и тщательно перемешивают.
4.9.2.2. Приготовление растворов сравнения
В пять мерных колб помещают по 20 см3 воды и объемы раствора А, указанные в табл.3. Объем каждого раствора доводят водой до метки и тщательно перемешивают.
Таблица 3
|
Номер раствора сравнения |
Объем раствора А, см3 |
Масса цинка, введенного в 100 см3 раствора сравнения, мг |
Массовая доля цинка в растворе сравнения в пересчете на препарат, % |
|
1 |
0,4 |
0,04 |
0,004 |
|
2 |
1,0 |
0,1 |
0,01 |
|
3 |
1,5 |
0,15 |
0,015 |
|
4 |
2,0 |
0,2 |
0,02 |
|
5 |
2,5 |
0,25 |
0,025 |
4.9.3. Проведение анализа
Анализ проводят в пламени ацетилен-воздух, используя аналитическую линию Zn - 213,9 нм.
После подготовки прибора в соответствии с прилагаемой к нему инструкцией по эксплуатации проводят фотометрирование анализируемых растворов и растворов сравнения в порядке возрастания массовых долей примесей. Затем проводят фотометрирование в обратной последовательности и вычисляют среднее арифметическое результатов трех измерений атомного поглощения для каждого раствора. После каждого измерения распыляют воду.
4.9.4. Обработка результатов
По полученным данным для растворов сравнения строят градуировочный график, откладывая значения атомного поглощения на оси ординат, массовые доли цинка в пересчете на препарат - на оси абсцисс.
Массовую долю примеси цинка находят по графику.
За результат анализа принимают среднее арифметическое результатов двух параллельных определений, относительное расхождение между которыми не превышает допускаемое расхождение, равное 20%.
Допускаемая относительная суммарная погрешность результата анализа ±10% при доверительной вероятности P=0,95.
4.9.1-4.9.4. (Измененная редакция, Изм. N 1).
5. УПАКОВКА, МАРКИРОВКА, ТРАНСПОРТИРОВАНИЕ И ХРАНЕНИЕ
5.1. Препарат упаковывают и маркируют в соответствии с ГОСТ 3885.
Вид и тип тары: 2-1, 2-4, 2-9.
Группа фасовки: IV, V.
(Измененная редакция, Изм. N 1).
5.2. Препарат перевозят всеми видами транспорта в соответствии с правилами перевозки грузов, действующими на данном виде транспорта.
5.3. Препарат хранят в упаковке изготовителя в крытых складских помещениях.
6. ГАРАНТИИ ИЗГОТОВИТЕЛЯ
6.1. Изготовитель гарантирует соответствие качества препарата требованиям настоящего стандарта при соблюдении условий транспортирования и хранения.
6.2. Гарантийный срок хранения - шесть месяцев со дня изготовления.
6.1, 6.2. (Измененная редакция, Изм. N 1).
официальное издание
М.: ИПК Издательство стандартов, 1999