Новости Нефтегазовая пром.
Выставки Наука и технология


Магний хлористый ГОСТ Р 55067-2012

Магний хлористый. Технические условия ГОСТ Р 55067-2012


ГОСТ Р 55067-2012

     
     
НАЦИОНАЛЬНЫЙ СТАНДАРТ РОССИЙСКОЙ ФЕДЕРАЦИИ

Магний хлористый

Технические условия

Magnesium chloride. Specifications



ОКС 71.060.50
ОКП 21 5216

Дата введения 2014-01-01

     
     
Предисловие

1 РАЗРАБОТАН Федеральным государственным унитарным предприятием "Всероссийский научно-исследовательский центр стандартизации, информации и сертификации сырья, материалов и веществ" (ФГУП "ВНИЦСМВ")

2 ВНЕСЕН Техническим комитетом по стандартизации ТК 60 "Химия"

3 УТВЕРЖДЕН И ВВЕДЕН В ДЕЙСТВИЕ Приказом Федерального агентства по техническому регулированию и метрологии от 14 ноября 2012 г. N 765-ст

4 ВВЕДЕН ВПЕРВЫЕ

Правила применения настоящего стандарта установлены в ГОСТ Р 1.0-2012 (раздел 8). Информация об изменениях к настоящему стандарту публикуется в ежегодном (по состоянию на 1 января текущего года) информационном указателе "Национальные стандарты", а официальный текст изменений и поправок - в ежемесячном информационном указателе "Национальные стандарты". В случае пересмотра (замены) или отмены настоящего стандарта соответствующее уведомление будет опубликовано в ближайшем выпуске информационного указателя "Национальные стандарты". Соответствующая информация, уведомление и тексты размещаются также в информационной системе общего пользования - на официальном сайте Федерального агентства по техническому регулированию и метрологии в сети Интернет.

     1 Область применения


Настоящий стандарт распространяется на хлористый магний (бишофит) и водный раствор магния хлористого (водный раствор бишофита), применяемые для производства металлического магния и других соединений магния, а также в других сферах промышленности.

Наименование по IUPAC: магний хлорид.

Формула: MgCl

Относительная молекулярная масса (по международным атомным массам 2012 г.) - 95,21.
_________________
 В соответствии с международными атомными массами 2012, опубликованными Международным союзом теоретической и прикладной химии (IUPAC) стандартные атомные массы некоторых элементов, в том числе хлора, представлены в виде диапазонов. При расчете относительной атомной массы соединения было взято значение из диапазона. 

2 Нормативные ссылки


В настоящем стандарте использованы нормативные ссылки на следующие стандарты:

ГОСТ Р 8.563-2009 Государственная система обеспечения единства измерений. Методики (методы) измерений

ГОСТ Р 8.568-97 Государственная система обеспечения единства измерений. Аттестация испытательного оборудования. Основные положения

ГОСТ Р 12.1.019-2009 Система стандартов безопасности труда. Электробезопасность. Общие требования и номенклатура видов защиты

ГОСТ Р 12.4.026-2001 Система стандартов безопасности труда. Цвета сигнальные, знаки безопасности и разметка сигнальная. Назначение и правила применения. Общие технические требования и характеристики. Методы испытаний

ГОСТ Р ИСО 5725-6-2002 Точность (правильность и прецизионность) методов и результатов измерений. Часть 6. Использование значений точности на практике

ГОСТ Р 53228-2008 Весы неавтоматического действия. Часть 1. Метрологические и технические требования. Испытания

ГОСТ Р 53361-2009 - Мешки из бумаги и комбинированных материалов. Общие технические условия

ГОСТ 8.579-2002 Государственная система обеспечения единства измерений. Требования к количеству фасованных товаров в упаковках любого вида при их производстве, расфасовке, продаже и импорте

ГОСТ 12.0.004-90 Система стандартов безопасности труда. Организация обучения безопасности труда. Общие положения

ГОСТ 12.1.004-91 Система стандартов безопасности труда. Пожарная безопасность. Общие требования

ГОСТ 12.1.005-88 Система стандартов безопасности труда. Общие санитарно-гигиенические требования к воздуху рабочей зоны

ГОСТ 12.1.007-76 Система стандартов безопасности труда. Вредные вещества. Классификация и общие требования безопасности

ГОСТ 12.2.003-91 Система стандартов безопасности труда. Оборудование производственное. Общие требования безопасности

ГОСТ 12.4.009-83 Система стандартов безопасности труда. Пожарная техника для защиты объектов. Основные виды. Размещение и обслуживание

ГОСТ 12.4.011-89 Система стандартов безопасности труда. Средства защиты работающих. Общие требования и классификация

ГОСТ 12.4.021-75 Система стандартов безопасности труда. Системы вентиляционные. Общие требования

ГОСТ 12.4.121-83 Система стандартов безопасности труда. Противогазы промышленные фильтрующие. Технические условия

ГОСТ 1277-75 Реактивы. Серебро азотнокислое. Технические условия

ГОСТ 1770-74 Посуда мерная лабораторная стеклянная. Цилиндры, мензурки, колбы, пробирки. Общие технические условия

ГОСТ 2517-85 Нефть и нефтепродукты. Методы отбора проб

ГОСТ 3118-77 Реактивы. кислота соляная. Технические условия

ГОСТ 3760-79 Реактивы. аммиак водный. Технические условия

ГОСТ 3773-72 Реактивы. Аммоний хлористый. Технические условия

ГОСТ 3956-76 силикагель технический. Технические условия

ГОСТ 4108-72 Реактивы. Барий хлорид 2-водный. Технические условия

ГОСТ 4145-74 Реактивы. Калий сернокислый. Технические условия

ГОСТ 4166-76 Реактивы. Натрий сернокислый. Технические условия

ГОСТ 4209-77 Реактивы. Магний хлористый 6-водный. Технические условия

ГОСТ 4212-76 Реактивы. Методы приготовления растворов для колориметрического и нефелометрического анализа

ГОСТ 4233-77 Реактивы. Натрий хлористый. Технические условия

ГОСТ 4234-77 Реактивы. Калий хлористый. Технические условия

ГОСТ 4523-77 Реактивы. магний сернокислый 7-водный. Технические условия

ГОСТ 4530-76 Реактивы. кальций углекислый. Технические условия

ГОСТ 5456-79 Реактивы. Гидроксиламина гидрохлорид. Технические условия

ГОСТ 6259-75 Реактивы. глицерин. Технические условия

ГОСТ 6709-72-->ГОСТ 6709-72 Вода дистиллированная. Технические условия

ГОСТ 9147-80 Посуда и оборудование лабораторные фарфоровые. Технические условия

ГОСТ 10117.2-2001 Бутылки стеклянные для пищевых жидкостей. Типы, параметры и основные размеры

ГОСТ 10398-76 Реактивы и особо чистые вещества. Комплексонометрический метод определения содержания основного вещества

ГОСТ 10652-73 Реактивы. Соль динатриевая этилендиамин-N,N,N',N'-тетрауксусной кислоты 2-водная (трилон б). Технические условия

ГОСТ 12026-76 Бумага фильтровальная лабораторная. Технические условия

ГОСТ 14192-96 Маркировка грузов

ГОСТ 14919-83 Электроплиты, электроплитки и жарочные электрошкафы бытовые. Общие технические условия

ГОСТ 15846-2002 Продукция, отправляемая в районы Крайнего Севера и приравненные к ним местности. Упаковка, маркировка, транспортирование и хранение

ГОСТ 17811-78 Мешки полиэтиленовые для химической продукции. Технические условия

ГОСТ ИСО/МЭК 17025-2009 Общие требования к компетентности испытательных и калибровочных лабораторий

ГОСТ 18300-87 Спирт этиловый ректификованный технический. Технические условия

ГОСТ 19433-88 Грузы опасные. Классификация и маркировка

ГОСТ 21650-76 Средства скрепления тарно-штучных грузов в транспортных пакетах. Общие требования

ГОСТ 24363-80 Реактивы. Калия гидроокись. Технические условия

ГОСТ 24597-81 Пакеты тарно-штучных грузов. Основные параметры и размеры

ГОСТ 25336-82 Посуда и оборудование лабораторные стеклянные. Типы, основные параметры и размеры

ГОСТ 26663-85 Пакеты транспортные. Формирование с применением средств пакетирования. Общие технические требования

ГОСТ 29169-91 (ИСО 648-77) Посуда лабораторная стеклянная. Пипетки с одной отметкой

ГОСТ 29227-91 (ИСО 835-1-81) Посуда лабораторная стеклянная. Пипетки градуированные. Часть 1. Общие требования

ГОСТ 29228-91 (ИСО 835-2-81) Посуда лабораторная стеклянная. Пипетки градуированные. Часть 2. Пипетки градуированные без установленного времени ожидания

ГОСТ 29229-91 (ИСО 835-3-81) Посуда лабораторная стеклянная. Пипетки градуированные. Часть 3. Пипетки градуированные с временем ожидания 15 с

ГОСТ 29251-91 (ИСО 385-1-84) Посуда лабораторная стеклянная. Бюретки. Часть 1. Общие требования

ГОСТ 29252-91 (ИСО 385-2-84) Посуда лабораторная стеклянная. Бюретки. Часть 2. Бюретки без установленного времени ожидания

ГОСТ 29253-91 (ИСО 385-3-84) Посуда лабораторная стеклянная. Бюретки. Часть 3. Бюретки с временем ожидания 30 с

ГОСТ 30090-93 Мешки и мешочные ткани. Общие технические условия

Примечание - При пользовании настоящим стандартом целесообразно проверить действие ссылочных стандартов в информационной системе общего пользования - на официальном сайте Федерального агентства по техническому регулированию и метрологии в сети Интернет или по ежегодному информационному указателю "Национальные стандарты", который опубликован по состоянию на 1 января текущего года, и по выпускам ежемесячного информационного указателя "Национальные стандарты" за текущий год. Если заменен ссылочный стандарт, на который дана недатированная ссылка, то рекомендуется использовать действующую версию этого стандарта с учетом всех внесенных в данную версию изменений. Если заменен ссылочный стандарт, на который дана датированная ссылка, то рекомендуется использовать версию этого стандарта с указанным выше годом утверждения (принятия). Если после утверждения настоящего стандарта в ссылочный стандарт, на который дана датированная ссылка, внесено изменение, затрагивающее положение, на которое дана ссылка, то это положение рекомендуется применять без учета данного изменения. Если ссылочный стандарт отменен без замены, то положение, в котором дана ссылка на него, рекомендуется применять в части, не затрагивающей эту ссылку.

3 Технические требования

3.1 Хлористый магний

3.1.1 Хлористый магний должен быть изготовлен в соответствии с требованиями настоящего стандарта по технологическому регламенту, утвержденному в установленном порядке.

3.1.2 По физико-химическим показателям хлористый магний должен соответствовать требованиям и нормам, указанным в таблице 1.

Таблица 1 - Физико-химические показатели

Наименование показателя

Значение показателя

1 Внешний вид

Порошок, гранулы или чешуйки от белого до светло серого цвета с оттенками от желтоватого до светло-коричневого

2 Массовая доля ионов магния (Mg2+), %, не менее, в том числе в пересчете на MgCl2x6H2O, %, не менее

11,8

97,0

3 Массовая доля сульфат-ионов SO42-, %, не более

0,1

4 Массовая доля ионов щелочных металлов (Na++K+), %, не более

0,8

5 Массовая доля нерастворимого в воде остатка, %, не более

0,2

3.1.3 Маркировка

3.1.3.1 Транспортная маркировка осуществляется по ГОСТ 14192 с нанесением манипуляционного знака "Беречь от влаги".

3.1.3.2 Предупредительная маркировка осуществляется по ГОСТ 31340, предупредительная маркировка наносится на каждую упаковочную единицу.

3.1.3.3 Маркировка тары с хлористым магнием должна содержать следующую информацию:

- наименование предприятия-изготовителя, его товарный знак и юридический адрес;

- наименование продукта;

- номер партии;

- дату изготовления;

- масса нетто;

- гарантийный срок хранения;

- обозначение настоящего стандарта.

3.1.4 Упаковка

3.1.4.1 Хлористый магний массой нетто от 0,5 до 1,0 т упаковывают в специализированные мягкие контейнеры разовые, оборотные и многооборотные по действующей нормативной документации.

3.1.4.2 Хлористый магний массой нетто не более (50±2) кг упаковывают в:

полиэтиленовые мешки по ГОСТ 17811 [толщина пленки (0,220±0,030) мм], вложенные в льно-джуто-кенафные мешки не ниже третьей категории по ГОСТ 30090;

в четырех-шестислойные бумажные мешки по ГОСТ Р 53361 марок ВМ, ПМ, БМП, ВМБ, ВМП без полиэтиленовых мешков-вкладышей или других марок с полиэтиленовыми мешками-вкладышами.

Полиэтиленовые мешки-вкладыши заваривают, бумажные мешки прошивают машинным способом.

3.1.4.3 По согласованию с потребителем допускается использовать другие виды тары, обеспечивающие полную сохранность продукции и не ухудшающие ее качество, а также другую массу фасовки.

3.1.4.4 Предел допускаемого отрицательного отклонения массы нетто конкретной упаковочной единицы от номинальной массы нетто фасованного продукта должен соответствовать требованиям ГОСТ 8.579, приложения А, таблицы А2 и рассчитываться в соответствии с [1]*.
________________
* См. раздел Библиография. - Примечание изготовителя базы данных.

Предел допускаемого положительного отклонения массы нетто равен пределу допускаемого отрицательного отклонения.

3.1.4.5 Хлористый магний, предназначенный для районов Крайнего Севера и отдаленных районов, упаковывается по ГОСТ 15846.

3.2 Водный раствор хлористого магния

3.2.1 Водный раствор хлористого магния должен быть изготовлен в соответствии с требованиями настоящего стандарта по технологическому регламенту, утвержденному в установленном порядке.

3.2.2 По физико-химическим показателям водный раствор магния хлористого должен соответствовать требованиям и нормам, указанным в таблице 2.

Таблица 2 - Физико-химические показатели

Наименование показателя

Значение нормы

1 Внешний вид

Прозрачный раствор с желтоватым оттенком

2 Массовая концентрация хлористого магния (MgCl2), г/дм3, не менее

400

Примечания:

1. Допускается по согласованию с потребителем выпуск продукта с массовой концентрацией меньше 400 г/дм3.

2. Раствор хлористого магния содержит примеси калия, натрия, кальция, а также ряд микроэлементов (в т.ч. бром и йод)

3. Допускается наличие осадка солей при длительном хранении продукта. Осадок не должен содержать посторонние включения (песок, глину).

3.2.3 Маркировка

3.2.3.1 При перевозке груз не опасен, по ГОСТ 19433 не классифицируется.

3.2.3.2 Маркировка, характеризующая упакованную продукцию должна содержать следующую информацию:

- наименование предприятия-изготовителя, его товарный знак и юридический адрес;

- наименование продукта;

- номер партии;

- дату изготовления;

- объем продукта;

- обозначение настоящего стандарта.

3.2.3.3 Маркировочные данные наносят непосредственно на упаковку штампованием, окраской по трафарету или на этикетку (ярлык), крепящуюся к упаковке любым способом в соответствии с ГОСТ 14192.

3.2.4 Упаковка

3.2.4.1 Водный раствор хлористого магния фасуют в бутылки по ГОСТ 10117.2 или бочки вместимостью 50, 100, 200 дм3.

3.2.4.2 Водный раствор магния хлористого для промышленных целей заливают в железнодорожные цистерны, предназначенные для перевозки химических продуктов, а также в автоцистерны и спецконтейнеры при перевозке автотранспортом.

3.2.4.3 Предел допускаемого отрицательного отклонения массы нетто конкретной упаковочной единицы от номинальной массы нетто фасованного продукта должен соответствовать требованиям ГОСТ 8.579, приложения А и рассчитываться в соответствии с [1].

4 Требования безопасности

4.1 Хлористый магний и водный раствор хлористого магния не токсичны, пожаро- и взрывобезопасны.

4.2 Предельно допустимая концентрация хлористого магния в воздухе рабочей зоны 2 мг/м3[2].

4.3 Хлористый магний и водный раствор хлористого магния в соответствии с ГОСТ 12.1.007относятся к умеренно опасным веществам (3-й класс опасности).

4.4 Хлористый магний и водный раствор хлористого магния обладают умеренным раздражающим действием на кожные покровы, слизистые оболочки верхних дыхательных путей и глаз. Сенсибилизирующим и кожно-резорбтивным действием не обладают. Кумулятивная активность не выражена.

4.5 Все работы, связанные с изготовлением и применением хлористого магния и водного раствора хлористого магния, должны проводиться в помещениях, снабженных приточно-вытяжной вентиляцией по ГОСТ 12.4.021.

4.6 Производственное оборудование и коммуникации должны быть герметичны и соответствовать требованиям ГОСТ 12.2.003.

4.7 Работающие с хлористым магнием и водным раствором хлористого магния должны быть обеспечены спецодеждой, спецобувью и средствами индивидуальной защиты (резиновыми перчатками, респиратором, защитными очками) в соответствии с ГОСТ 12.4.011. В производственных помещениях должны быть плакаты с сигнальными знаками безопасности, выполненные в соответствии с ГОСТ Р 12.4.026.

4.8 При попадании хлористого магния (водного раствора хлористого магния) на открытые участки тела необходимо смыть его водой, при попадании в глаза - промыть большим количеством воды и обратиться к врачу.

4.9 В аварийных ситуациях и при тушении пожара необходимо использовать промышленные фильтрующие противогазы по ГОСТ 12.4.121. В качестве средств пожаротушения при возгорании использовать воду, пену, песок, кошму, порошковые огнетушители.

5 Требования охраны окружающей среды

5.1 Хлористый магний и водный раствор хлористого магния при хранении вредных веществ в окружающую среду не выделяют, токсичных веществ не образуют. Образования токсичных соединений в присутствии других веществ не происходит. Отходов, требующих разработки специфических условий транспортирования и захоронения, нет. Просыпи от оборудования на стадии фасовки собираются в мягкие контейнеры и вывозятся на пруд-накопитель. Солевой раствор после промывки оборудования из емкостей загружается в автоцистерну и направляется на пруд-накопитель. Усредненные сточные воды от смыва полов направляются в самотечную канализацию.

5.2 ПДК хлористого магния для воздуха населенных мест среднесуточная 0,3 мг/м3, 4-й класс опасности в соответствии с [3].

5.3 Ориентировочный безопасный уровень воздействия хлористого магния (ОБУВ) в атмосферном воздухе населенных мест 0,1 мг/м3 в соответствии с [4]*.
________________
* См. раздел Библиография. - Примечание изготовителя базы данных.

5.4 Контроль воздуха рабочей зоны проводится в соответствии с ГОСТ 12.1.005 по методикам, утвержденным в установленном порядке.

5.5 Для водных объектов хозяйственно-питьевого водоснабжения ПДК хлоридов - 350 мг/дм3, 4-й класс опасности, ПДК магния - 50 мг/дм3, 3-й класс опасности в соответствии с [5].

5.6 Охрана окружающей среды на месте производства обеспечивается герметичностью оборудования, а при транспортировании и хранении - герметичностью используемой упаковки.

5.7 По истечении срока годности или несоответствии продукции требованиям настоящего стандарта хлористый магний (водный раствор хлористого магния) утилизируют.

6 Правила приемки

6.1 Хлористый магний и водный раствор хлористого магния поставляют партиями.

6.2 Партией считают любое количество продукта, однородного по показателям качества и сопровождаемого одним документом о качестве.

6.3 Документ о качестве должен содержать:

- наименование предприятия-изготовителя, его товарный знак и юридический адрес;

- наименование продукта и код ОКП;

- дату изготовления;

- номер партии;

- массу нетто (для магния хлористого);

- объем продукта (для водного раствора магния хлористого);

- результаты проведенных испытаний, подтверждающих соответствие качества продукта требованиям настоящего стандарта;

- обозначение настоящего стандарта.

6.4 Для проверки соответствия хлористого магния требованиям настоящего стандарта проводят приемо-сдаточные испытания для каждой партии по показателям таблицы 1.

6.5 Для проверки соответствия водного раствора хлористого магния требованиям настоящего стандарта проводят приемо-сдаточные испытания для каждой партии по показателям таблицы 2.

6.6 Для проверки качества хлористого магния пробы отбирают от 2% мешков, но не менее чем от пяти мешков при партии не более 250 мешков, или от 10% контейнеров, но не менее чем от одного контейнера при партии не более 10 контейнеров.

6.7 Для проверки качества водного раствора хлористого магния проводят отбор проб из заполненной цистерны (спецконтейнера). Пробу помещают в чистую стеклянную или полиэтиленовую емкость, которую герметически закрывают крышкой или пробкой. На емкость наклеивают этикетку с указанием наименования предприятия-изготовителя, наименования продукта, номера партии, даты отбора пробы и фамилии пробоотборщика.

6.8 При получении неудовлетворительных результатов испытаний хотя бы по одному из показателей проводят повторную проверку на удвоенном количестве пробы от той же партии. Результаты повторного испытания являются окончательными и распространяются на всю партию.

7 Методы измерений

7.1 Общие требования к методам измерений

7.1.1 Требования к безопасности

При выполнении измерений соблюдают следующие требования:

7.1.1.1 Требования техники безопасности при работе с химическими реактивами - по ГОСТ 12.1.007.

7.1.1.2 Требования электробезопасности при работе с электроустановками по - ГОСТ Р 12.1.019.

7.1.1.3 Требования, изложенные в эксплуатационной документации на средства измерений, испытательное и вспомогательное оборудование.

7.1.1.4 Помещение, в котором проводятся работы, должно быть оборудовано общей приточно-вытяжной вентиляцией по ГОСТ 12.4.021. Содержание вредных веществ в воздухе рабочей зоны не должно превышать норм, установленных ГОСТ 12.1.005.

7.1.1.5 Помещение лаборатории должно соответствовать требованиям пожаробезопасности по ГОСТ 12.1.004 и иметь средства пожаротушения по ГОСТ 12.4.009.

7.1.1.6 Работающие должны быть обучены правилам безопасности труда согласно ГОСТ 12.0.004.

7.1.2 Требования к квалификации исполнителей

К выполнению измерений и обработке их результатов могут быть допущены специалисты, имеющие высшее или среднее специальное образование или опыт работы в лаборатории.

Специалисты должны быть знакомы с устройством средств измерений, операциями, проводимыми при подготовке, выполнении измерений и обработке результатов.

7.1.3 Условия выполнения измерений

При выполнении измерений соблюдают следующие условия:

- температура окружающего воздуха (20±5) °С;

- относительная влажность воздуха не более 80% при 25 °С;

- частота переменного тока (50±0,4) Гц;

- напряжение в сети (220±22) В.

7.1.4 При проведении измерений применяют:

- весы лабораторные по ГОСТ Р 53228 специального класса точности с наибольшим пределом взвешивания 100 (120, 200) г, ценой поверочного деления 1 мг и погрешностью в эксплуатации 1 мг и весы высокого класса точности с наибольшим пределом взвешивания 300 г, ценой поверочного деления 1 мг и погрешностью в эксплуатации 1 мг.

- мерную лабораторную стеклянную посуду не ниже 2-го класса точности по ГОСТ 1770, ГОСТ 25336, ГОСТ 29169, ГОСТ 29227, ГОСТ 29251.

7.1.5 Средства измерений, применяемые в методах измерений, должны иметь действующие свидетельства о поверке и (или) сертификаты калибровки, испытательное оборудование должно быть аттестовано по ГОСТ Р 8.568.

7.1.6 При проведении измерений и приготовления растворов применяют реактивы квалификации х.ч. или ч.д.а. Допускается применение реактивов более низкой квалификации при условии обеспечения ими метрологических характеристик, указанных в методах измерений.

7.1.7 При проведении измерений допускается использование других средств измерений, посуды, испытательного, вспомогательного оборудования, реактивов, материалов, в том числе импортных, при условии обеспечения ими метрологических характеристик, указанных в методах измерений.

7.1.8 Срок хранения растворов в соответствии с требованиями ГОСТ 4212, если нет других указаний в методах измерений.

7.1.9 Массовую долю (массовую концентрацию) компонентов в магнии хлористом и (или) водном растворе магния хлористого определяют параллельно в двух навесках (объемах).

7.1.10 Проверку приемлемости результатов параллельных определений, полученных в условиях повторяемости, проводят при получении каждого результата измерений массовой доли (массовой концентрации) компонентов в магнии хлористом и (или) водном растворе магния хлористого. За результат измерений массовой доли (массовой концентрации) определяемого компонента принимают среднеарифметическое значение результатов двух параллельных определений X1 и X2 при выполнении следующего условия (1) где X1 и X- результаты параллельных определений, полученных в условиях повторяемости;
r - предел повторяемости.

При невыполнении условия (1) используют методы проверки приемлемости результатов параллельных определений и установления окончательного результата измерений согласно ГОСТ Р ИСО 5725-6 (пункт 5.2).

7.1.11 Расхождение между результатами измерений, полученными в двух лабораториях, не должно превышать критической разности CD0,95. При выполнении этого условия приемлемы оба результата измерений и в качестве окончательного может быть использовано их общее среднее значение.

При превышении критической разности могут быть использованы способы оценки приемлемости результатов измерений согласно ГОСТ Р 5725-6 (пункт 5.3.2).

7.1.12 Допускается применение других методов измерений, аттестованных в установленном порядке в соответствии с ГОСТ Р 8.563 и обеспечивающих получение результатов измерений с метрологическими характеристиками, не превышающими указанных в настоящих технических условиях.

7.1.13 Контроль показателей качества результатов измерений

Контроль показателей качества результатов измерений в испытательной лаборатории предусматривает проведение контроля стабильности результатов измерений с учетом требований ГОСТ Р ИСО 5725-6 (раздел 6) или [6].

7.1.14 Оформление результатов измерений

Результаты измерений регистрируют в протоколе испытаний, который оформляют в соответствии с требованиями ГОСТ ИСО/МЭК 17025, при этом протокол испытаний должен содержать ссылку на настоящий стандарт.

Результаты измерений массовой доли компонентов в магнии хлористом (в процентах) или массовой концентрации компонентов в водном растворе магния хлористого (в г/дм3) могут быть представлены в виде (2) где  - результат измерений, полученный в соответствии с методом измерений;
 - границы абсолютной погрешности измерений при P=0,95.

7.2 Хлористый магний

7.2.1 Отбор проб

Точечные пробы отбирают щупом, погружая его на 3/4 глубины мешка или контейнера. Масса точечной пробы, отобранной из мешка, должна быть не менее 0,1 кг, от контейнера - не менее 0,5 кг. Точечные пробы объединяют. Объединенную пробу тщательно перемешивают и сокращают методом квартования до получения средней пробы массой не менее 1 кг. Полученную среднюю пробу делят на две равные части, помещают в чистые сухие емкости или полиэтиленовые пакеты и герметично упаковывают. Обе пробы маркируют этикетками. Одну из проб передают для испытаний в лабораторию, а вторую арбитражную пробу хранят в течение гарантийного срока хранения.

7.2.2 Подготовка пробы

100 г пробы растворяют в дистиллированной воде в соотношении (по массе) 1:1. Для полного растворения пробы склянку встряхивают не менее 10 мин и получают раствор объединенной пробы.

7.2.3 Определение внешнего вида

Внешний вид продукта определяют визуально.

7.2.4 Определение массовой доли ионов магния

7.2.4.1 Область применения

Настоящий раздел устанавливает измерение массовой доли ионов магния комплексонометрическим методом. Диапазон измерений ионов магния (Mg2+) от 11,8% до 12,3%, в пересчете на MgCl2x6H2O от 97,0%.

7.2.4.2 Метрологические характеристики

Метод обеспечивает получение результатов измерений с метрологическими характеристиками, не превышающими значений, приведенных в таблице 3, при доверительной вероятности P=0,95.

Таблица 3 - Метрологические характеристики результатов измерений

В процентах

Диапазон измерений

Показатель точности (границы абсолютной погрешности измерений), ±

Предел повторяемости (допускаемое расхождение между двумя результатами параллельных определений), r 

Критическая разность (допускаемое расхождение между двумя средними арифметическими результатами параллельных определений, полученными в двух лабораториях), CD0,95

Массовая доля ионов магния (Mg2+)

От 11,8 до 12,3 включ.

0,4

0,3

0,6

Массовая доля ионов магния в пересчете на MgCl2x6H2O

От 97,0

0,4

-

-

2) Соответствует пределу воспроизводимости по [6] (Здесь и далее по тексту).

3) Расчетное значение.

7.2.4.3 Сущность метода

Определение массовой доли ионов магния в пробах хлористого магния проводят комплексонометрическим методом. Метод основан на способности ионов магния образовывать с трилоном Б малодиссоциированное устойчивое в слабощелочной среде (10) соединение. В качестве индикатора используется хромоген черный. Точка эквивалентности определяется по изменению окраски индикатора от винно-красной до синей.

7.2.4.4 Средства измерений, вспомогательное оборудование, реактивы и материалы

Колбы мерные 1(2)-500-2, 1(2)-1000-2 по ГОСТ 1770.

Цилиндр 1-100-2, 1-1000-2 по ГОСТ 1770.

Бюретка 1-3-2-50-0,1 по ГОСТ 29251.

Пипетка 1(2)-2-2-10 по ГОСТ 29227.

Пипетка 2-2-5, 2-2-10 по ГОСТ 29169.

Стакан В-1-150 ТС по ГОСТ 25336.

Стаканчик СВ-34/12 по ГОСТ 25336.

Колба Кн-2-250-34 ТХС по ГОСТ 25336.

Воронки В-56-80 ХС, В-75-110 ХС по ГОСТ 25336.

Ступка 3 по ГОСТ 9147.

Пестик 2 по ГОСТ 9147.

Сушильный шкаф, обеспечивающий температуру нагрева (80±2) °С.

Плитка электрическая по ГОСТ 14919.

Шпатель.

Аммоний хлористый по ГОСТ 3773, х.ч.

аммиак водный по ГОСТ 3760, х.ч.

Калий хлористый по ГОСТ 4234, х.ч.

Натрий хлористый по ГОСТ 4233, х.ч.

Соль динатриевая этилендиамин-N,N,N',N'-тетрауксусной кислоты 2-водная (трилон б) по ГОСТ 10652, х.ч.

Стандарт - титр (фиксанал) трилона Б.

Эрихром черный Т (хромоген черный ЕТ-00).

Вода дистиллированная по ГОСТ 6709.

Фильтр бумажный обеззоленный "синяя лента" или из фильтровальной лабораторной бумаги по ГОСТ 12026.

7.2.4.5 Приготовление растворов и индикаторов

Раствор трилона Б молярной концентрации c(C10H14O8N2Na2x2H2O)=0,025 моль/дм3

трилон б высушивают при 80 °С в течение двух часов, навеску массой 9,31 г помещают в мерную колбу вместимостью 1000 см3, растворяют в теплой (от 40 °С до 60 °С) дистиллированной воде и после охлаждения раствора до комнатной температуры доводят объем в колбе до метки дистиллированной водой. Если раствор мутный, то его фильтруют через фильтр обеззоленный "синяя лента".

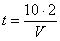
Титр (коэффициент молярности) трилона Б (t) устанавливают по раствору соли цинка - по ГОСТ 10398-76, отбирая 10 см3 раствора с(Zn)2+=0,05 моль/дм3.

Титр раствора трилона Б вычисляют по формуле (3) где V - объем раствора трилона Б, молярной концентрации 0,025 моль/дм3, израсходованный на титрование, см3.

Раствор из стандарт-титра (фиксанала) трилона Б готовят в соответствии с инструкцией по применению, разбавляя его до требуемой концентрации. Раствор трилона Б пригоден для использования в течение шести месяцев. Рекомендуется не реже одного раза в месяц проверять значение коэффициента поправки.

Аммиачный буферный раствор (pH=10)

Для приготовления 1000 см3 аммиачного буферного раствора в мерную колбу вместимостью 1000 см3 помещают 67 г хлористого аммония, добавляют 200 см3 дистиллированной воды для его растворения и 570 см3 водного раствора аммиака с массовой долей 25%, тщательно перемешивают и доводят до метки дистиллированной водой.

Аммиачный буферный раствор пригоден для использования в течение двух месяцев при его хранении в плотно закрытой полимерной таре.

Сухая смесь индикатора

Сухую смесь индикатора готовят в следующей последовательности: 0,25 г эриохрома черного Т (хромогена черного ЕТ-00) смешивают с 25 г хлористого натрия или хлористого калия в фарфоровой ступке и тщательно растирают. Смесь пригодна для использования в течение одного года при хранении в склянке из темного стекла.

Примечание - Приготовление растворов и индикаторов может быть проведено в соответствии с ГОСТ 10398-76.

7.2.4.6 Подготовка пробы к измерению

От 10,0 г до 10,2 г раствора пробы хлористого магния, полученной по 7.2.2, взвешивают в стаканчике для взвешивания с точностью до 0,0001 г, переносят в мерную колбу вместимостью 500 см3, доводят объем раствора водой до метки и тщательно перемешивают.

7.2.4.7 Выполнение измерений

Пипеткой отбирают 10 см3 полученного раствора в коническую колбу вместимостью 250 см3, прибавляют 100 см3 воды, 10 см3 буферного раствора , на кончике шпателя сухую индикаторную смесь от 0,1 до 0,15 г и титруют медленно, по каплям, при постоянном перемешивании раствором трилона Б до перехода окраски раствора в синий цвет.

7.2.4.8 Обработка результатов измерений

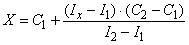
Массовую долю ионов магния (X), %, в процентах вычисляют по формуле (4) где 2 - коэффициент учитывающий разбавление пробы;


V - объем раствора трилона Б молярной концентрации 0,025 моль/дм3, израсходованный на титрование ионов магния, см3;

t - титр раствора трилона Б молярной концентрации 0,025 моль/дм3;

0,0006078 - масса магния в граммах, соответствующая 1 см3 раствора трилона Б молярной концентрации точно 0,025 моль/дм3, г/см3;

m - навеска раствора хлористого магния, г.

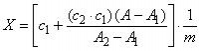
7.2.4.9 Массовую долю ионов магния в пересчете на MgCl2x6H2O (X1), %, процентах вычисляют по формуле (5) где X - массовая доля ионов магния по 7.2.4.8, %;


X2 - массовая доля сульфат-ионов по 7.2.5, %;

0,2531 - коэффициент пересчета массы сульфат-иона на ион магния;

8,3631 - коэффициент пересчета массы ионов магния на MgCl2x6H2O.

7.2.5 Определение массовой доли сульфат-ионов

7.2.5.1 Область применения

Настоящий раздел устанавливает измерение массовой доли сульфатов в пересчете на сульфат-ион гравиметрическим методом.

Диапазон измерений от 0,030% до 0,100%.

7.2.5.2 Метрологические характеристики

Метод обеспечивает получение результатов измерений с метрологическими характеристиками, не превышающими значений, приведенных в таблице 4, при доверительной вероятности P=0,95.

Таблица 4 - Метрологические характеристики результатов измерений

В процентах

Диапазон измерений

Показатель точности (границы абсолютной погрешности измерений), ±

Предел повторяемости (допускаемое расхождение между двумя результатами параллельных определений), r

Критическая разность (допускаемое расхождение между двумя среднеарифметическими результатами параллельных определений, полученными в двух лабораториях), CD0,95

Массовая доля сульфат-ионов в пересчете на сульфат-ион (SO4)2-

От 0,030 до 0,100 включ.

0,012

0,013

0,017

7.2.5.3 Сущность метода

Определение массовой доли сульфат-ионов в пробах хлористого магния проводят гравиметрическим методом. Метод основан на способности сульфат-ионов образовывать в слабокислой среде и в присутствии ионов бария малорастворимый осадок сернокислого бария, массу которого определяют после ее прокаливания.

7.2.5.4 Средства измерений, испытательное и вспомогательное оборудование, реактивы и материалы

Колбы мерные 1(2)-100-2, 1(2)-250-2 по ГОСТ 1770.

Цилиндры 1-10-2, 1-25-2, 1-50-2, 1-100-2 по ГОСТ 1770.

Пипетки 1-2-2-2, 1(2)-2-2-10 по ГОСТ 29227.

Пипетка 2-2-100 по ГОСТ 29169.

Электропечь муфельная, обеспечивающая температуру нагрева в пределах 800 °С - 900 °С.

Сушильный шкаф, обеспечивающий температуру нагрева в пределах 150 °С - 180 °С.

Стаканчик для взвешивания СН-34/12 по ГОСТ 25336.

Стаканы В-1-250 ТС, В-1-400 ТС по ГОСТ 25336.

Эксикаторы 2-230, 2-290 по ГОСТ 25336.

Воронки В-56-80 ХС, В-75-110 ХС по ГОСТ 25336.

Тигли низкие 3 или 4 по ГОСТ 9147.

Щипцы тигельные.

Палочки стеклянные.

Таймер.

Электроплитка по ГОСТ 14919.

аммиак водный по ГОСТ 3760, х.ч.

Барий хлорид 2-водный по ГОСТ 4108, х.ч.

кислота соляная по ГОСТ 3118, х.ч.

Серебро азотнокислое по ГОСТ 1277, х.ч.

силикагель по ГОСТ 3956, марка КСМГ; КСКГ.

Спирт этиловый ректификованный технический по ГОСТ 18300, высший сорт.

Метиловый красный (индикатор).

Вода дистиллированная по ГОСТ 6709.

Фильтры обеззоленные "синяя лента".

7.2.5.5 Приготовление растворов и индикаторов

Хлористый барий, раствор с массовой долей 10%

10 г барий хлорида 2-водного растворяют в 90 см3 воды. Раствор фильтруют через фильтр обеззоленный "синяя лента".

Азотнокислое серебро, раствор с массовой долей 1%

1 г серебра азотнокислого растворяют в 99 см3 воды.

Метиловый красный (индикатор), спиртовой раствор с массовой долей 0,1%

0,1 г метилового красного растворяют при нагревании в 100 см3 этилового спирта.

Подготовка силикагеля

Перед применением технический силикагель просушивают в сушильном шкафу при 150 °С - 180 °С в течение 3-4 ч для удаления адсорбированной влаги.

7.2.5.6 Выполнение измерений

Навеску хлористого магния массой 25-26 г, приготовленную по 7.2.1, взвешивают с точностью до 0,1 г, помещают в стакан вместимостью 400 см3, прибавляют 100 см3 воды, 15 см3 соляной кислоты плотностью 1,19 г/см3 и кипятят 10 мин. К горячему раствору прибавляют 25%-ный водный раствор аммиака для осаждения гидроокиси железа, доводят до кипения, охлаждают, количественно переносят в мерную колбу вместимостью 250 см3, доводят объем до метки водой, перемешивают, фильтруют, отбрасывая первые порции фильтрата.

100 см3 полученного фильтрата отбирают пипеткой в стакан вместимостью 250 см3, прибавляют 50 см3 воды, нейтрализуют соляной кислотой по метиловому красному, добавляют 1,5 см3 избытка соляной кислоты, нагревают до кипения и приливают медленно по каплям 10 см3 кипящего 10%-ного раствора хлористого бария. По истечении не менее 8 ч раствор с осадком фильтруют через обеззоленный фильтр "синяя лента" несколько раз декантируя дистиллированной водой, затем осадок количественно переносят на фильтр.

Затем осадок количественно переносят на тот же фильтр стеклянной палочкой с резиновым наконечником. Осадок на фильтре промывают горячей дистиллированной водой до отрицательной реакции на хлорид-ион. К пробе фильтрата в пробирке прибавляют несколько капель 1%-ного раствора азотнокислого серебра.

Фильтр с осадком помещают в предварительно прокаленный до постоянной массы и взвешенный тигель, просушивают, обугливают на электроплитке, не допуская воспламенения, и затем прокаливают в муфельной печи при температуре 800 °С - 900 °С, и доступе воздуха до получения осадка белого цвета. Тигли охлаждают в эксикаторе, в котором в качестве осушителя используют подготовленный силикагель, взвешивают с точностью до 0,0001 г и вновь прокаливают до постоянной массы.

7.2.5.7 Обработка результатов измерений

Массовую долю сульфат-ионов (X3), %, вычисляют по формуле (6) где m1 - масса прокаленного осадка сернокислого бария, г;


0,4115 - коэффициент пересчета массы сернокислого бария на сульфат-ион;

m - масса навески хлористого магния, г.

Примечание - Массовую долю сульфатов допускается определять турбидиметрическим методом (см. приложение А). При разногласиях в оценке массовой доли сульфатов измерения проводят гравиметрическим методом.

7.2.6 Определение массовой доли ионов щелочных металлов (Na+ и K+)

7.2.6.1 Область применения

Настоящий раздел устанавливает измерение массовой доли ионов щелочных металлов (натрий и калий) методом пламенной фотометрии. Диапазон измерений от 0,20% до 0,80%.

7.2.6.2 Метрологические характеристики

Метод обеспечивает получение результатов измерений с метрологическими характеристиками, не превышающими значений, приведенных в таблице 5, при доверительной вероятности P=0,95.

Таблица 5 - Метрологические характеристики результатов измерений

В процентах

Диапазон измерений

Показатель точности (границы абсолютной погрешности измерений), ±

Предел повторяемости (допускаемое расхождение между двумя результатами параллельных определений), r

Критическая разность (допускаемое расхождение между двумя среднеарифметическими результатами параллельных определении, полученными в двух лабораториях), CD0,95

Массовая доля щелочных металлов (Na++K+)

От 0,20 до 0,80 включ.

0,13

0,12

0,18

7.2.6.3 Сущность метода

Определение массовой доли щелочных металлов (натрия и калия) проводят методом пламенной фотометрии. В основе метода пламенной фотометрии лежит измерение физической величины светового излучения, возникающего под влиянием высокой температуры пламени у элементов, переходящих в состояние возбуждения с характерным для каждого из них эмиссионным спектром. В результате измерения этой величины получают числовые значения, отражающие концентрацию элементов в исследуемых растворах.

7.2.6.4.Средства измерений, вспомогательное оборудование, реактивы и материалы

Спектрофотометр для пламени, работающий в диапазоне длин волн от 200 до 800 нм.

Колбы мерные 1-100-2, 1-250-2, 1-1000-2 по ГОСТ 1770.

Цилиндр 1(2)-100-2 по ГОСТ 1770.

Пипетка 2-2-10, 2-2-25 по ГОСТ 29169.

Пипетка 1-1-2-1 по ГОСТ 29227.

Бюретка 1-3-2-10-0,1 по ГОСТ 29251.

Компрессор любого типа для воздуха.

Пропан-бутан (бытовой в баллоне) или природный газ из централизованной системы газоснабжения.

Калий хлористый по ГОСТ 4234, х.ч.

Натрий хлористый по ГОСТ 4233, х.ч.

магний сернокислый 7-водный по ГОСТ 4523, х.ч.

Магний хлористый 6-водный по ГОСТ 4209, ч.д.а.

Вода дистиллированная по ГОСТ 6709.

Все растворы и дистиллированную воду, применяемую для их приготовления, хранят в полиэтиленовой таре.

7.2.6.5 Приготовление растворов

Раствор магния хлористого с массовой долей 5%

5 г хлористого магния растворяют в 95 см3 воды и перемешивают.

Раствор магния сернокислого с массовой долей 1%

1 г сернокислого магния растворяют в 99 см3 воды и перемешивают.

Основные растворы, содержащие по 1 мг/см3 ионов натрия и калия каждый

Растворы готовят по ГОСТ 4212.

Рабочий градуировочный раствор (раствор А), содержащий по 0,1 мг/см3 натрия и калия

В мерную колбу вместимостью 250 см3 помещают по 25 см3 основных градуировочных растворов ионов натрия и калия, доводят объем раствора в колбе до метки водой и тщательно перемешивают.

7.2.6.6 Установление градуировочного графика

Градуировочные растворы с массовой концентрацией ионов натрия и калия 0,5; 1,0; 2,0; 3,0; 6,0; 8,0; 10,0 мг/дм3 готовят следующим образом: в восемь мерных колб вместимостью 100 смпомещают 1,0 см3 раствора хлористого магния, по 0,2 см3 раствора сернокислого магния, добавляют раствор А в следующих объемах: 0; 0,5; 1,0; 2,0; 3,0; 6,0; 8,0; 10,0 см3, затем доводят объем растворов в колбах до метки и тщательно перемешивают.

Раствор в первой колбе не содержит определяемые элементы и используется в качестве раствора холостого опыта.

Подготовку к определению массовой доли натрия и калия проводят согласно инструкции к прибору.

7.2.6.7 Выполнение измерений

Для определения массовой доли натрия или калия используют раствор хлористого магния, приготовленный по 7.2.4.6, 10 см3 раствора пробы хлористого магния помещают в мерную колбу вместимостью 100 см3, доводят объем в колбе до метки водой и тщательно перемешивают.

Определение проводят при длинах волн - для натрия 589,0 нм, для калия - 766,9 нм с использованием пламени пропан-бутан-воздух. Нулевую линию прибора устанавливают по воде. Определение проводят методом градуировочного графика (способ 1) или методом ограничивающих растворов (способ 2).

Определение массовой доли ионов щелочных металлов методом градуировочного графика.

После подготовки прибора к работе проводят фотометрирование дистиллированной воды, применяемой для приготовления градуировочных растворов и раствора холостого опыта в порядке возрастания массовой концентрации щелочных металлов.

После этого проводят фотометрирование в обратной последовательности, начиная с растворов максимальной концентрации ионов щелочных металлов.

Каждый раствор фотометрируют трижды, вычисляют среднее арифметическое значение и делают поправку на значение, полученное при фотометрировании раствора холостого опыта. После каждого измерения распыляют воду.

По полученным данным строят градуировочный график, откладывая на оси ординат показания регистрирующего устройства прибора, а по оси абсцисс - массовую концентрацию ионов калия и натрия в мг/дм3.

Определение массовой доли ионов щелочных металлов методом ограничивающих растворов.

В качестве ограничивающих растворов используют два вновь приготовленных по 7.2.6.6 градуировочных раствора с минимальной и максимальной массовой долей определяемого элемента по сравнению с анализируемым раствором. Концентрация компонента в трех растворах должна быть одного порядка. Затем поочередно при одинаковых условиях фотометрируют анализируемый раствор и ограничивающие растворы, регистрируют величину сигнала, учитывая поправку на величину сигнала, полученного при фотометрировании раствора холостого опыта.

7.2.6.8 Обработка результатов измерений

При определении массовой доли ионов щелочных металлов по способу 1 массовые доли ионов натрия и калия находят по градуировочному графику.

Массовую долю ионов щелочных металлов (натрия или калия) (X4), %, вычисляют по формуле (7) где 2 - коэффициент, учитывающий разбавление пробы;


c - массовая концентрация натрия или калия в анализируемой пробе, найденная по градуировочному графику, мг/дм3;

m - масса навески раствора хлористого магния, г.

При определении массовой доли ионов щелочных металлов по способу 2 массовую долю ионов щелочных металлов (натрия или калия) вычисляют по формуле (8) где c1 - массовая концентрация натрия или калия в ограничивающем растворе с меньшей концентрацией, мг/дм3;

c2 - массовая концентрация натрия или калия в ограничивающем растворе с большей концентрацией, мг/дм3;

A - показания регистрирующего устройства прибора при измерении анализируемого раствора;

A1 - показания регистрирующего устройства прибора при измерении ограничивающих растворов с меньшей концентрацией натрия и калия;

A2 - показания регистрирующего устройства прибора при измерении ограничивающих растворов с большей концентрацией натрия и калия;

m - масса навески, г.

Примечания

1 Для определения массовой доли щелочных металлов могут быть применены другие спектрометры, обеспечивающие длины волн в диапазоне от 200 до 800 нм. Например, атомно-адсорбционные спектрометры с пламенным атомизатором. При выборе средств измерений необходимо учитывать требования Государственной системы обеспечения единства измерений - обеспечить применение средств измерений утвержденных типов, прошедших поверку в установленном порядке.

2 Допускается определять массовую долю ионов щелочных металлов с использованием фотометра пламенного. Метод измерений приведен в обязательном приложении Б. При разногласиях в оценке массовой доли щелочных металлов определение проводят по методу, изложенному в п.7.2.6

7.2.7 Определение массовой доли нерастворимого в воде остатка

7.2.7.1 Область применения

Настоящий раздел устанавливает измерение массовой доли нерастворимого в воде остатка гравиметрическим методом. Диапазон измерений от 0,02% до 0,20%.

7.2.7.2 Метрологические характеристики

Метод обеспечивает получение результатов измерений с метрологическими характеристиками, не превышающими значений, приведенных в таблице 6, при доверительной вероятности P=0,95.

Таблица 6 - Метрологические характеристики результатов измерений

В процентах

Диапазон измерений

Показатель точности (границы абсолютной погрешности измерений), ±

Предел повторяемости (допускаемое расхождение между двумя результатами параллельных определений), r

Критическая разность (допускаемое расхождение между двумя средними арифметическими результатами параллельных определений, полученными в двух лабораториях), CD0,95

Массовая доля нерастворимого в воде остатка

От 0,02 до 0,2 включ.

0,01

0,01

0,02

7.2.7.3 Сущность метода

Определение массовой доли нерастворимого в воде остатка проводят гравиметрическим методом. Метод основан в удалении из навески хлористого магния веществ, растворившихся в воде, высушивании остатка и определении его массы по отношению к массе общей навески хлористого магния.

7.2.7.4 Средства измерений, испытательное и вспомогательное оборудование, реактивы и материалы

Колбы мерные 1(2)-100-2 по ГОСТ 1770.

Цилиндр 1-100-2 по ГОСТ 1770.

Сушильный шкаф, обеспечивающий температуру нагрева в пределах 100 °С - 105 °С.

Стаканчик для взвешивания СН-34/12 по ГОСТ 25336.

Стаканы В-1-250 ТС по ГОСТ 25336.

Эксикатор 2-230, 2-290 по ГОСТ 25336.

Воронки В-56-80 ХС, В-75-110 ХС по ГОСТ 25336.

Электроплитка по ГОСТ 14919.

Серебро азотнокислое по ГОСТ 1277, х.ч.

силикагель по ГОСТ 3956, марка КСМГ; КСКГ.

Вода дистиллированная по ГОСТ 6709.

Тигель фильтрующий по ГОСТ 25336.

7.2.7.5 Приготовление растворов

Серебро азотнокислое, раствор с массовой долей 1%.

1 г серебра азотнокислого растворяют в 99 см3 воды.

7.2.7.6 Выполнение измерений

Взвешивают с точностью до 0,02 г в стаканчике для взвешивания около 40 г раствора средней пробы хлористого магния по 7.2.2, переносят в стакан и растворяют в 80 см3 горячей воды. Раствор фильтруют через предварительно высушенный до постоянной массы и взвешенный фильтрующий тигель. Нерастворимый в воде остаток количественно переносят на фильтрующий тигель и промывают горячей водой до исчезновения в промывных водах реакции на хлорид-ион (проба с раствором азотнокислого серебра). Промытый тигель с нерастворимым остатком сушат в сушильном шкафу при 100 °С - 105 °С до постоянной массы и вновь взвешивают.

7.2.7.7 Обработка результатов измерений

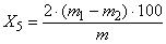
Массовую долю нерастворимого в воде остатка (X5), %, вычисляют по формуле (8) где 2 - коэффициент, учитывающий разбавление пробы;


m - навеска раствора хлористого магния, г;

m1 - масса фильтра с осадком, г;

m2 - масса фильтра, г.

7.3 Водный раствор магния хлористого

7.3.1 Отбор проб

Отбор проб проводят по ГОСТ 2517.

Пробы отбирают из верхнего, среднего и нижнего слоев, по одной пробе, при этом соотношение продукта должно быть 2:3:2. Отобранные точечные пробы соединяют вместе, тщательно перемешивают и получают среднюю пробу. Объем точечной пробы должен быть не менее 0,5 дм3.

Полученную среднюю пробу делят на две равные части, помещают в стеклянные или полиэтиленовые емкости, которые герметично закрывают крышкой или пробкой и маркируют этикеткой с указанием:

- наименования пробы;

- номера партии;

- даты отбора пробы;

- фамилии пробоотборщика.

Одну из проб передают для испытаний в лабораторию, а вторую арбитражную пробу хранят в течение гарантийного срока хранения.

7.3.2 Определение внешнего вида

Внешний вид водного раствора хлористого магния в каждой средней пробе определяют визуально в пробирке из бесцветного стекла П2 по ГОСТ 25336. Перед определением тщательно перемешивают.

7.3.3 Определение массовой концентрации хлористого магния

7.3.3.1 Область применения

Настоящий раздел устанавливает измерение массовой концентрации хлористого магния (MgCl2) комплексонометрическим методом

Диапазон измерений от 250 до 400 г/дм3.

7.3.3.2 Метрологические характеристики

Метод обеспечивает получение результатов измерений с метрологическими характеристиками, не превышающими значений, приведенных в таблице 7, при доверительной вероятности P=0,95.

Таблица 7 - Метрологические характеристики результатов измерений

В г/дм3

Диапазон измерений

Показатель точности (границы абсолютной погрешности измерений), ±

Предел повторяемости (допускаемое расхождение между двумя результатами параллельных определений), r

Критическая разность (допускаемое расхождение между двумя среднеарифметическими результатами параллельных определений, полученными в двух лабораториях), CD0,95

Массовая концентрация хлористого магния (MgCl2)

От 250 до 400 включ.

14

12

20

7.3.3.3 Сущность метода

Определение массовой концентрации хлористого магния проводят комплексонометрическим методом. Метод основан на способности трилона Б образовывать малодиссоциированное устойчивое в слабощелочной среде (pH~10) соединение с ионами магния и кальция, а в щелочной среде (pH~12) - с ионами кальция. Точка эквивалентности определяется по изменению окраски индикатора.

7.3.3.4 Средства измерений, стандартные образцы и вспомогательное оборудование, реактивы и материалы

ГСО состава водного раствора ионов магния с относительной погрешностью аттестованного значения ±1% при P=0,95

Колбы мерные 1(2)-500-2, 1(2)-1000-2 по ГОСТ 1770.

Бюретки 1-3-2-25-0,1, 1-3-2-50-0,1 по ГОСТ 29251.

Цилиндры 1-50-2, 1-100-2, 1-250-2, 1-1000-2 по ГОСТ 1770.

Пипетка 1(2)-2-2-10 по ГОСТ 29227.

Пипетки 2-2-5, 2-2-10 по ГОСТ 29169.

Капельница 2-50 ХС по ГОСТ 25336.

Стаканы В-1-100 ТС, В-1-150 ТС, В-1-400 ТС, В-1-1000 ТС по ГОСТ 25336.

Колба Кн-2-250-34 ТХС по ГОСТ 25336.

Воронка В-56-80 ТС по ГОСТ 25336.

Стакан 7 по ГОСТ 9147.

Ступка 3 по ГОСТ 9147.

Пестик 2 по ГОСТ 9147.

Шпатель.

Соль динатриевая этилендиамин-N,N,N',N'-тетрауксусной кислоты 2-водная (трилон б) по ГОСТ 10652, х.ч.

Стандарт-титр (фиксанал) трилона Б.

Стандарт-титр (фиксанал) сернокислого магния.

Калия гидроокись по ГОСТ 24363, х.ч.

Аммоний хлористый по ГОСТ 3773, х.ч.

аммиак водный по ГОСТ 3760, х.ч.

Калий хлористый по ГОСТ 4234, х.ч.

Натрий хлористый по ГОСТ 4233, х.ч.

2,2',2"-Нитрилотриэтанол (Триэтаноламин), ч.

Гидроксиламинагидрохлорид по ГОСТ 5456, ч.д.а.

Спирт этиловый ректификованный технический по ГОСТ 18300, высший сорт.

Хромовый темно-синий (кислотный хром темно-синий).

Эриохром черный Т.

Эриохром сине-черный Р, цинковая соль.

Вода дистиллированная по ГОСТ 6709.

7.3.3.5 Приготовление растворов и индикаторов

Раствор трилона Б молярной концентрации c(C10H14O8N2Na2x2H2O)=0,025 моль/дм3

Раствор готовят по 7.2.5.4.

Раствор гидроокиси калия с массовой долей 10%

100,0 г гидроокиси калия переносят в стакан из термостойкого стекла (или фарфоровый) вместимостью 1000 см3, цилиндром приливают 900 см3 воды, перемешивают. Раствор годен к использованию в течение 1 мес. Раствор хранят в стеклянной бутыли с резиновой пробкой.

Аммиачный буферный раствор с 10
54,0 г хлористого аммония переносят в мерную колбу вместимостью 1000 см3, приливают цилиндром 200-250 см3 воды, к полученному раствору добавляют 350 см3 водного раствора аммиака, доводят объем раствора водой до метки, перемешивают. Раствор хранят в стеклянной бутыли с резиновой или корковой пробкой.

Раствор хромового темно-синего

0,10 г хромового темно-синего переносят в стакан вместимостью 100 см3 цилиндром приливают 50 см3 смеси, состоящей из 20 см3 этилового спирта и 30 см3 2,2',2"-нитрилотриэтанола, перемешивают. Раствор годен к использованию в течение 1 мес. Раствор хранят в склянке из темного стекла с завинчивающейся крышкой.

Раствор эриохрома сине-черного

0,20 г эриохрома сине-черного переносят в стакан вместимостью 100 см3, цилиндром приливают 50 см3 смеси, состоящей из 20 см3 этилового спирта и 30 см3 2,2',2"-нитрилотриэтанола, перемешивают. Раствор годен к использованию в течение 1 мес. Раствор хранят в склянке из темного стекла с завинчивающейся крышкой.

Раствор эриохрома черного Т

0,25 г эриохрома черного Т помещают в стакан вместимостью 100 см3 цилиндром приливают 20 смэтилового спирта, добавляют 2,0 г гидрохлорида гидроксиламина, доводят объем раствора этиловым спиртом до 50 см3, перемешивают. Раствор годен к использованию в течение двух недель. Раствор хранят в склянке из темного стекла с завинчивающейся крышкой.

Индикаторные смеси эриохрома черного Т и хромового темно-синего

0,10 г индикатора растирают в ступке с 10,00 г хлористого натрия или хлористого калия. Смеси годны к использованию в течение 12 мес. Смеси хранят в герметично закрытой банке из темного стекла.

7.3.3.6 Подготовка пробы к измерению

Отбирают пипеткой 5 см3 водного раствора хлористого магния, полученного по п.7.3.1, в мерную колбу вместимостью 500 см3, объем доводят водой до метки, перемешивают.

7.3.3.7 Выполнение измерений

В две конические колбы вместимостью 250 см3 переносят пипеткой по 5 смраствора, приготовленного по 7.3.3.6. В колбу для титрования суммы ионов магния и кальция добавляют цилиндром 85 см3 воды, 10 см3 аммиачного буферного раствора, семь-восемь капель индикатора эриохрома черного Т и титруют раствором трилона Б до перехода окраски из вино-красной в синюю.

В колбу для титрования ионов кальция добавляют цилиндром 85 см3 воды, 10 см10%-ного раствора гидроокиси калия, семь-восемь капель раствора эриохрома сине-черного или хромового темно-синего и титруют раствором трилона Б до перехода окраски из малиновой в голубую при титровании с эриохромом сине-черным, в сиреневую при титровании с хромовым темно-синим.

7.3.3.8 Обработка результатов измерений

Массовую концентрацию хлористого магния (X6) в г/дм3 вычисляют по формуле (9) где V1 - объем раствора трилона Б, израсходованного на титрование суммы ионов магния и кальция см3;

V2 - объем раствора трилона Б, израсходованного на титрование ионов кальция, см3;

K - коэффициент поправки к концентрации раствора трилона Б;

0,002381 - масса хлористого магния, соответствующая массе трилона Б, содержащегося в 1 см3 раствора концентрации точно  c(C10H14O8N2Na2x2H2O)0,025 моль/дм3, г;

500 - вместимость мерной колбы, см3;

5 - объем раствора технического хлористого магния, см3;

5 - объем анализируемого раствора, см3.

8 Транспортирование и хранение

8.1 Хлористый магний транспортируют всеми видами транспорта в крытых транспортных средствах в соответствии с правилами перевозки грузов, действующими на транспорте данного вида.

8.2 Транспортирование хлористого магния не подпадает под действие правил перевозок опасных грузов по железным дорогам и автомобильным транспортом в соответствии с [7], [8].

8.3 Хлористый магний, упакованный в специализированные мягкие контейнеры, по железной дороге транспортируют в открытом подвижном составе. Контейнеры типа МКР должны транспортироваться без перевалок в пути следования, с погрузкой и выгрузкой на подъездных путях предприятий. Размещение и крепление контейнеров на открытом подвижном составе проводят в соответствии с техническими условиями погрузки и крепления грузов, действующими на железной дороге.

Хлористый магний, упакованный в мешки, транспортируется в пакетированном виде в соответствии с ГОСТ 26663, средства скрепления по ГОСТ 21650. Габаритные размеры и масса брутто транспортного пакета должны соответствовать ГОСТ 24597.

При условии сохранности продукта при производстве грузовых операций хлористый магний, упакованный в мешки, допускается транспортировать без пакетирования.

8.4 Водный раствор хлористого магния транспортируют в чистых железнодорожных цистернах, предназначенных для перевозки химических продуктов, и в автоцистернах и спецконтейнерах при перевозке автотранспортом в соответствии с правилами перевозок грузов, действующими на данном виде транспорта.

8.5 Хлористый магний, упакованный в мешки, должен храниться в закрытых складских помещениях. Хлористый магний упакованный в контейнеры - на контейнерных площадках, исключающих попадание влаги и прямых солнечных лучей.

8.6 Водный раствор хлористого магния хранится в закрытой таре при температуре от минус 40 °С до плюс 40 °С.

9 Гарантии изготовителя

9.1 Изготовитель гарантирует соответствие хлористого магния (водного раствора хлористого магния) требованиям настоящего стандарта при соблюдении условий транспортирования и хранения, установленных настоящим стандартом.

9.2 Гарантийный срок хранения хлористого магния - 6 мес со дня изготовления.

9.3 Гарантийный срок хранения водного раствора хлористого магния не ограничен.

Приложение А (обязательное). Определение массовой доли сульфатов в пересчете на сульфат-ион турбидиметрическим методом

Приложение А
(обязательное)

А.1 Область применения

Настоящий раздел устанавливает измерение массовой доли сульфатов в пересчете на сульфат-ион турбидиметрическим методом. Диапазон измерений от 0,030% до 0,100%.

А.2 Метрологические характеристики

Метод обеспечивает получение результатов измерений с метрологическими характеристиками, не превышающими значений, приведенных в таблице А.1, при доверительной вероятности P=0,95.

Таблица А.1 - Метрологические характеристики результатов измерений

В процентах

Диапазон измерений

Показатель точности (границы абсолютной погрешности измерений), ±

Предел повторяемости (допускаемое расхождение между двумя результатами параллельных определений), r

Критическая разность (допускаемое расхождение между двумя среднеарифметическими результатами параллельных определений, полученными в двух лабораториях), CD0,95

Массовая доля сульфат-ионов в пересчете на сульфат-ион (SO4)2-

От 0,030 до 0,100 включ.

0,012

0,013

0,017

А.3 Сущность метода

Определение массовой доли сульфат-ионов проводят турбидиметрическим методом. Метод основан на измерении интенсивности помутнения раствора пробы хлористого магния, содержащей сульфат-ионы, при взаимодействии их с ионами бария. При этом образуется малорастворимое соединение сернокислого бария, суспензию которого стабилизируют добавлением глицерина.

А.4 Средства измерения, вспомогательное оборудование, реактивы и материалы

А.4.1 Средства измерений и вспомогательное оборудование

Спектрофотометр или фотоэлектроколориметр, позволяющий проводить измерения оптической плотности в области длин волн от 330 до 400 нм.

Секундомер механический, диапазон измерений (0-30) мин, цена деления 0,2 с, класс точности 2 или 3.

Колбы мерные 1(2)-250-2, 1(2)-1000-2 по ГОСТ 1770.

Бюретка 1-3-2-25-0,1 по ГОСТ 29251.

Пипетки 2-2-2, 2-2-5, 2-2-10, 2-2-20, 2-2-25, 2-2-50, 2-2-100 по ГОСТ 29169.

Цилиндр 1-10-2, 1-500-2 по ГОСТ 1770.

Колба Кн-2-100-18 ТС по ГОСТ 25336.

Воронки В-56-80 ХС, В-75-110 ХС по ГОСТ 25336.

Стакан В-1-250 ТС, В-1-1000 ТС по ГОСТ 25336.

Стаканчик для взвешивания СН-34/12 по ГОСТ 25336.

Плитка электрическая по ГОСТ 14919.

А.4.2 Реактивы и материалы

Барий хлорид 2-водный по ГОСТ 4108, х.ч.

глицерин по ГОСТ 6259, ч.д.а.

Калий сернокислый по ГОСТ 4166, х.ч.

Натрий сернокислый по ГОСТ 4145, х.ч.

Натрий хлористый по ГОСТ 4233, х.ч.

кислота соляная по ГОСТ 3118, х.ч.

Вода дистиллированная по ГОСТ 6709.

Фильтры обеззоленные "синяя лента".

А.5 Подготовка к выполнению измерений

А.5.1 Приготовление растворов и реактивов

А.5.1.1 Реактив для осаждения сульфат-ионов

В 500 см3 воды растворяют последовательно 120 г хлористого натрия, добавляют 10 смсоляной кислоты, 500 см3 глицерина, 50 г хлористого бария, перемешивают, оставляют на двое суток и, если раствор мутный, фильтруют, хранят в темном месте.

А.5.1.2 Основной градуировочный раствор с содержанием сульфат-ионов 1 мг/см3 (раствор А)

Готовят по ГОСТ 4212 из сернокислого натрия или сернокислого калия.

А.5.1.3 Рабочий раствор с содержанием сульфат-ионов 0,1 мг/см3 (раствор Б).

Отбирают пипеткой 100 см3 раствора А в мерную колбу вместимостью 1000 см3, объем в колбе доводят до метки водой и тщательно перемешивают.

А.5.2 Построение градуированного графика

Готовят серию градуировочных растворов. В конические колбы вместимостью 100 см3 с меткой на 50 см3, отбирают 2,5; 5,0; 7,5; 10,0; 12,5; 15,0 см3 раствора Б, что соответствует содержанию сульфат-ионов (SO42-).

0,25; 0,50; 0,75; 1,0; 1,25; 1,50 мг, разбавляют водой до 50 см3, приливают 10 см3 реактива для осаждения сульфат-ионов, перемешивают в течение 1 мин.

Одновременно готовят раствор сравнения, не содержащий сульфат-ионы (SO42-) следующим образом: в коническую колбу вместимостью 100 см3 приливают 50 см3 воды и 10 см3 реактива для осаждения сульфат-ионов и тщательно перемешивают.

Через 5 мин встряхивают в течение 15 с и измеряют оптическую плотность градуировочных растворов по отношению к раствору сравнения на фотоэлектроколориметре при длине волны 434 нм (синий светофильтр) в кюветах с толщиной поглощающего свет слоя 50 мм.

По полученным данным строят градуировочный график, откладывая на оси абсцисс массу сульфат-ионов (SO42-) в миллиграммах, а на оси ординат - соответствующие им значения оптических плотностей.

А.5.3 Контроль стабильности градуировочного графика

Контроль стабильности градуировочного графика заключается в определении параметров этого графика через установленные промежутки времени, сопоставлении их с первоначальными параметрами и оценке на этой основе возможности продолжения текущих измерений.

Периодичность контроля определяется частотой использования данного метода.

Контроль стабильности градуировочного графика проводят в соответствии с графиком контроля и при каждой смене реактивов. Средствами контроля являются градуировочные растворы - образцы для градуировки. Для контроля готовят не менее трех образцов для градуировки по А.3.2.

Градуировочный график считают стабильным, если расхождения между заданным и измеренным значениями массы сульфат-ионов (SO42-) в образцах для градуировки не превышает 10% от заданного значения.

Если условие стабильности для градуировочного графика не выполняется для одного из образцов для градуировки, выполняют повторное приготовление и измерение массы сульфат-ионов (SO42-) для этого образца.

Если условие стабильности для градуировочного графика не выполняется для всех образцов для градуировки, выясняют причины и повторяют контроль с использованием других образцов для градуировки, предусмотренных методикой. При повторном обнаружении нестабильности строят новый градуировочный график.

А.6 Выполнение измерений

Навеску хлористого магния массой от 10,0 до 10,5 г, взвешенной с точностью до 0,1 г, помещают в стакан вместимостью 250 см3, прибавляют 50 см3 воды, 2 см3 соляной кислоты плотностью 1,19 г/см3, кипятят 3-5 мин. Затем переводят в мерную колбу вместимостью 250 см3, доводят до метки дистиллированной водой, перемешивают, фильтруют, отбрасывая первые порции фильтрата.

В зависимости от содержания сульфатов 5-50 см3 полученного фильтрата, отбирают пипеткой в коническую колбу вместимостью 100 см3, разбавляют водой до 50 см3, приливают 10 см3 реактива для осаждения сульфат-ионов, перемешивают в течение 1 мин. Через 5 мин встряхивают в течение 15 с и измеряют оптическую плотность анализируемого раствора по А.3.2.

Массу сульфат-ионов в анализируемом растворе находят по градуировочному графику.

А.7 Обработка результатов измерений

Массовую долю сульфат-ионов (X) в процентах вычисляют по формуле (А.1) где m1 - масса сульфат-ионов, найденная по градуировочному графику, мг;


m - масса навески хлористого магния, г;

V - объем анализируемого раствора, взятый для анализа, см3.

Приложение Б (обязательное). Определение массовой доли ионов щелочных металлов (натрий и калий)

Приложение Б
(обязательное)

Б.1 Область применения

Настоящий раздел устанавливает измерение массовой доли ионов щелочных металлов (Na++K+) методом пламенной фотометрии.

Диапазон измерений от 0,20% до 0,80%.

Б.2 Метрологические характеристики

Метод обеспечивает получение результатов измерений с метрологическими характеристиками, не превышающими значений, приведенных в таблице Б.2, при доверительной вероятности P=0,95.

Таблица Б.2* - Метрологические характеристики результатов измерений 
_________________
* Нумерация соответствует оригиналу. - Примечание изготовителя базы данных. 

В процентах

Диапазон измерений

Показатель точности (границы абсолютной погрешности измерений), ±

Предел повторяемости (допускаемое расхождение между двумя результатами параллельных определений), r

Критическая разность (допускаемое расхождение между двумя средними арифметическими результатами параллельных определений, полученными в двух лабораториях), CD0,95

Массовая доля щелочных металлов (Na++K+)

От 0,20 до 0,80 включ.

0,13

0,12

0,18

Б.3 Сущность метода

Определение массовой доли щелочных металлов (натрия и калия) проводят методом пламенной фотометрии. В основе метода пламенной фотометрии лежит измерение физической величины светового излучения, возникающего под влиянием высокой температуры пламени у элементов, переходящих в состояние возбуждения с характерным для каждого из них эмиссионным спектром. В результате измерения этой величины получают числовые значения, отражающие содержание элементов в исследуемых растворах.

Б.4 Средства измерений, вспомогательное оборудование, реактивы и материалы

Б.4.1 Средства измерений и вспомогательное оборудование

Фотометр пламенный любого типа, позволяющий определять содержание ионов щелочных металлов (натрия и калия) в водной среде.

Колбы мерные 1(2)-500-2 по ГОСТ 1770.

Цилиндр 1-100-2 по ГОСТ 1770.

Пипетки 2-2-10, 2-2-20, 2-2-50, 2-2-100 по ГОСТ 29169.

Сушильный шкаф, обеспечивающий температуру нагрева (105±2) °С.

Б.4.2 Реактивы и материалы

Смесь пропан-бутан с воздухом.

Калий хлористый по ГОСТ 4234, х.ч.

Натрий хлористый по ГОСТ 4233, х.ч.

магний сернокислый 7-водный по ГОСТ 4523, х.ч.

Магний хлористый 6-водный по ГОСТ 4209, ч.д.а.

Вода дистиллированная по ГОСТ 6709.

Все растворы и воду, применяемую для их приготовления, хранят в полиэтиленовой таре.

Б.5 Подготовка к выполнению измерений

Б.5.1 Приготовление растворов

Б.5.1.1 Раствор с массовой долей по 0,1% натрия и калия (раствор А)

Навески хлористого натрия массой 1,2711 г и хлористого калия массой 0,9534 г, предварительно высушенных при 105 °С, взвешивают и количественно переносят в мерную колбу вместимостью 500 см3, растворяют в воде, объем раствора доводят до метки и тщательно перемешивают.

Б.5.1.2 Раствор магния хлористого с массовой долей 5%

5 г хлористого магния растворяют в 95 см3 воды и перемешивают.

Б.5.1.3 Раствор магния сернокислого с массовой долей 1%

1 г сернокислого магния растворяют в 99 см3 воды и перемешивают.

Б.5.2 Построение градуировочных графиков

Серию градуировочных растворов готовят следующим образом: в десять мерных колб вместимостью 500 см3 помещают отмеренные пипеткой 50 см3 5%-ного раствора хлористого магния, 10 см3 1%-ного раствора сернокислого магния и раствора А, в объемах, указанных в таблице Б.2, доводят объем в колбах водой до метки и тщательно перемешивают.

Таблица Б.2

Индекс градуировочного раствора

Содержание ионов Na+ или K+ в растворе сравнения, %

Объем раствора A, см

0,2

0,002

10

0,4

0,004

20

0,6

0,006

30

0,8

0,008

40

1,0

0,01

50

1,2

0,012

60

1,4

0,014

70

1,6

0,016

80

1,8

0,018

90

2,0

0,02

100



Индекс градуировочного раствора численно равен содержанию ионов натрия или калия в процентах в анализируемой пробе. Каждый градуировочный раствор трижды фотометрируют на пламенном фотометре и строят отдельно для натрия и калия градуировочные графики, откладывая по оси абсцисс содержание ионов натрия или калия в градуировочном растворе в процентах, а по оси ординат - соответствующие им показания прибора.

Градуировочные графики используют для проверки правильности приготовления растворов сравнения. В качестве растворов сравнения используют вновь приготовленные градуировочные растворы по п.Б.5.2.

Если при трехкратном измерении какого-либо раствора сравнения его точка выпадает из графика, считают, что данный раствор сравнения приготовлен неправильно и его готовят вновь.

Б.6 Выполнение измерений

Для определения массовой доли натрия или калия используют раствор хлористого магния, приготовленный по п.7.2.4.6. Определение проводят раздельно через натриевый и калиевый светофильтры прибора. Условия для определения (диафрагмы, давление воздуха и газа) подбирают, исходя из инструкций к прибору.

Перед началом измерений проводят градуировку прибора по графику. Для этого в распылитель вводят раствор сравнения с максимальной массовой долей определяемого компонента и устанавливают стрелку измерительного прибора на деление, соответствующее данному раствору сравнения на графике.

Затем в распылитель поочередно вводят анализируемый раствор и два раствора сравнения, для одного из которых отсчет по шкале больше, а для другого - меньше, чем для анализируемого раствора. Для исключения влияния изменения давления газа и воздуха измерение повторяют в обратном порядке. Показания прибора при измерении одного и того же раствора не должны различаться больше чем на одно деление шкалы. Для расчетов берут среднее значение.

Б.7 Обработка результатов измерений

Массовую долю ионов щелочных металлов (натрия или калия) (X) в процентах вычисляют по формуле (Б.1) где l1, l2 - показания прибора при измерении растворов сравнения с меньшей или большей концентрациями натрия, или калия соответственно;
C1 - массовая доля натрия или калия в анализируемой пробе, численно равная индексу раствора сравнения с меньшей концентрацией натрия или калия, %;

C2 - массовая доля натрия или калия в анализируемой пробе, численно равная индексу раствора сравнения с большей концентрацией натрия или калия, %;

lx - показания прибора при измерении анализируемого раствора пробы на массовую долю натрия или калия соответственно.

Библиография

[1]

ПР 50.2.004-94* Правила по метрологии. Государственная система обеспечения единства измерений. Порядок осуществления государственного метрологического надзора за количеством фасованных товаров в упаковках любого вида при их расфасовке и продаже

________________
* На территории Российской Федерации документ не действует. Действует Положение об осуществлении федерального государственного метрологического надзора, утвержденное постановлением Правительства Российской Федерации от 6 апреля 2011 года N 246. - Примечание изготовителя базы данных.

[2]

ГН 2.2.5.1313-03

Предельно допустимые концентрации (ПДК) вредных веществ в воздухе рабочей зоны. Гигиенические нормативы

[3]

ГН 2.1.6.1338-03

Предельно допустимые концентрации (ПДК) загрязняющих веществ в атмосферном воздухе населенных мест. Гигиенические нормативы

[4]

ГН 2.1.6.1339-03*

Ориентировочные безопасные уровни воздействия (ОБУВ) загрязняющих веществ в атмосферном воздухе населенных мест. Гигиенические нормативы

________________
* На территории Российской Федерации документ не действует. Действуют ГН 2.1.6.2309-07, утвержденные постановлением Главного государственного санитарного врача Российской Федерации от 19 декабря 2007 года N 92. - Примечание изготовителя базы данных.

[5]

ГН 2.1.5.1315-03

Предельно допустимые концентрации (ПДК) химических веществ в воде водных объектов хозяйственно-питьевого и культурно-бытового водопользования. Гигиенические нормативы

[6]

РМГ 61-2010

Государственная система обеспечения единства измерений. Показатели точности, правильности, прецизионности методик количественного химического анализа. Методы оценки

[7]

Правила перевозки опасных грузов по железным дорогам. Утв. Советом по железнодорожному транспорту государств - участников Содружества, Протокол от 05.04.1996 N 15

[8]

Правила перевозки опасных грузов автомобильным транспортом. Утверждены Постановлением Правительства Российской Федерации от 15 апреля 2011 г. N 272



_____________________________________________________________________

УДК 661.846.321:006.354 ОКС 71.060.50 ОКП 21 5216

Ключевые слова: хлористый магний, бишофит, технические требования, применение, безопасность, упаковка, маркировка, транспортирование, хранение

_____________________________________________________________________





официальное издание
М.: Стандартинформ, 2014