Новости Нефтегазовая пром.
Выставки Наука и технология


Кобальт (II) азотнокислый 6-водный ГОСТ 4528-78

Кобальт (II) азотнокислый 6-водный. Технические условия (с Изменениями N 1, 2) ГОСТ 4528-78


ГОСТ 4528-78

Группа Л51

     
     
ГОСУДАРСТВЕННЫЙ СТАНДАРТ СОЮЗА ССР

Реактивы

КОБАЛЬТ (II) АЗОТНОКИСЛЫЙ 6-ВОДНЫЙ 

Технические условия 

Reagents. Cobaltaus nitrate 6-aqueous. Specifications



ОКП 26 2222 0010 04

Дата введения 1979-07-01

     
ИНФОРМАЦИОННЫЕ ДАННЫЕ

1. РАЗРАБОТАН И ВНЕСЕН Министерством химической промышленности СССР

ИСПОЛНИТЕЛИ

З.М.Ривина, З.М.Сульман, Л.В.Кидиярова, Т.К.Палдина

2. УТВЕРЖДЕН И ВВЕДЕН В ДЕЙСТВИЕ Постановлением Государственного комитета стандартов Совета Министров СССР от 12.07.78 N 1872

3. ВЗАМЕН ГОСТ 4528-68

4. ССЫЛОЧНЫЕ НОРМАТИВНО-ТЕХНИЧЕСКИЕ ДОКУМЕНТЫ

Обозначение НТД, на который дана ссылка

Номер пункта, подпункта

ГОСТ 1277-75

4.5.1

ГОСТ 1770-74

4.3.1, 4.5.1, 4.6, 4.8.1, 4.10.1, 4.11

ГОСТ 3885-73-->ГОСТ 3885-73

3.1, 4.1, 5.1

ГОСТ 4212-76

4.5.1, 4.8.1, 4.10.1

ГОСТ 4461-77

4.5.1

ГОСТ 4517-87

4.3.1, 4.5.1, 4.11

ГОСТ 5457-75

4.8.1, 4.10.1

ГОСТ 6709-72-->ГОСТ 6709-72

4.3.1, 4.4, 4.5.1, 4.8.1, 4.10.1 

ГОСТ 9147-80

4.4

ГОСТ 10398-76

4.2

ГОСТ 10555-75

4.7

ГОСТ 10671.4-74

4.6

ГОСТ 10671.5-74

4.4

ГОСТ 10671.7-74

4.5.2

ГОСТ 20292-74

4.4, 4.5.1, 4.8.1, 4.10.1

ГОСТ 22001-87

4.9

ГОСТ 24104-88

4.1а

ГОСТ 25336-82

4.3.1, 4.4, 4.6, 4.10.1, 4.11

ГОСТ 27025-86

4.1а

5. Срок действия продлен до 01.07.94* Постановлением Госстандарта СССР от 13.12.88 N 4056
_______________
* Ограничение срока действия снято по протоколу N 3-93 Межгосударственного Совета по стандартизации, метрологии и сертификации (ИУС N 5/6, 1993 год). - Примечание изготовителя базы данных. 

6. ПЕРЕИЗДАНИЕ (декабрь 1988 г.) с Изменениями N 1, 2, утвержденными в октябре 1983 г., декабре 1988 г. (ИУС 11-84, 3-89)

Настоящий стандарт распространяется на 6-водный Азотнокислый кобальт (II), который представляет собой буро-красные кристаллы, расплывающиеся во влажном воздухе; легко растворим в воде.

Формула: Co(NO3)2·6H2O

Молекулярная масса (по международным атомным массам 1971 г.) - 291,03.

1. ТЕХНИЧЕСКИЕ ТРЕБОВАНИЯ

1.1. 6-водный Азотнокислый кобальт (II) должен быть изготовлен в соответствии с требованиями настоящего стандарта по технологическому регламенту, утвержденному в установленном порядке.

1.2. По физико-химическим показателям 6-водный Азотнокислый кобальт (II) должен соответствовать нормам, указанным в табл.1.

Таблица 1

Наименование показателя

Норма

Чистый 
для анализа (ч.д.а.)

Чистый 
(ч.)

1. Массовая доля 6-водного азотнокислого кобальта (II) [Co(NO3)2·6H2O], %, не менее

99

97

2. Массовая доля нерастворимых в воде веществ, %, не более

0,003

0,01

3. Массовая доля сульфатов (SO4), %, не более

0,003

0,01

4. Массовая доля хлоридов (Сl), %, не более

0,001

0,005

5. Массовая доля аммонийных солей (NH4), %, не более

0,05

0,6

6. Массовая доля железа (Fe), %, не более

0,0005

0,001

7. Массовая доля калия и натрия (K+Na), %, не более

0,02

0,04

8. Массовая доля кальция (Ca), %, не более

0,005

0,02

9. Массовая доля никеля (Ni), %, не более

0,01

0,1

10. Массовая доля магния (Mg), %, не более

0,005

0,01

11. Массовая доля цинка (Zn), %, не более

0,002

0,02

12. Массовая доля меди (Сu), %, не более

0,001

0,005

13. pH раствора препарата с массовой долей 5%

3-5

3-5


Примечание. Препарату, содержащему не более 0,005% Ni, присваивается название квалификации с добавлением "без никеля".

(Измененная редакция, Изм. N 1, 2).

1.3. Коды ОКП для каждой квалификации 6-водного азотнокислого кобальта (II) должны соответствовать указанным в табл.1а.

Таблица 1а

Квалификация

Код ОКП

Чистый для анализа (ч.д.а.)

26 2222 0012 02

Чистый (ч.)

26 2222 0011 03

Чистый для анализа (ч.д.а.) без никеля

26 2222 0022 00

Чистый (ч.) без никеля

26 2222 0021 01



(Введен дополнительно, Изм. N 1).

2. ТРЕБОВАНИЯ БЕЗОПАСНОСТИ

2.1. 6-водный Азотнокислый кобальт (II) может вызывать нарушения пищеварения, дыхания, кровеносной системы, а также острый дерматит.

2.2. При работе с препаратом следует применять индивидуальные средства защиты (респираторы, защитные очки, резиновые перчатки), а также соблюдать правила личной гигиены; не допускать попадания препарата внутрь организма и на кожу.

2.3. Помещения, в которых проводятся работы с препаратом, должны быть оборудованы общей приточно-вытяжной вентиляцией. Анализ препарата следует проводить в вытяжном шкафу лаборатории.

2.4. При проведении анализа препарата с использованием горючего газа следует соблюдать правила противопожарной безопасности.

3. ПРАВИЛА ПРИЕМКИ

3.1. Правила приемки - по ГОСТ 3885-73-->ГОСТ 3885-73.

3.2. Массовую долю магния и цинка в препарате квалификации "чистый" изготовитель определяет периодически в каждой 20-й партии.

(Введен дополнительно, Изм. N 2).

4. МЕТОДЫ АНАЛИЗА

4.1а. Общие указания по проведению анализа - по ГОСТ 27025-86.

При взвешивании применяют лабораторные весы по ГОСТ 24104-88* 2-го класса точности с наибольшим пределом взвешивания 200 г и 3-го класса точности с наибольшим пределом взвешивания 500 г или 1 кг или 4-го класса точности с наибольшим пределом взвешивания 200 г.
_______________
* На территории Российской Федерации действует ГОСТ 24104-2001. - Примечание изготовителя базы данных.


Допускается применение импортной лабораторной посуды и аппаратуры по классу точности и реактивов по качеству не ниже отечественных.

(Измененная редакция, Изм. N 2).

4.1. Пробы отбирают по ГОСТ 3885-73-->ГОСТ 3885-73. Масса средней пробы должна быть не менее 260 г.

4.2. Определение массовой доли 6-водного азотнокислого кобальта (II)

Определение проводят по ГОСТ 10398-76. При этом 0,4000 г препарата помещают в коническую колбу вместимостью 250 см3, растворяют в воде, объем раствора доводят до 100 см3 и далее определение проводят комплексонометрическим методом.

Масса 6-водного азотнокислого кобальта (II), соответствующая 1 см3 раствора ди-Na-ЭДТА концентрации c(ди-Na-ЭДТА)=0,05 моль/дм3, равна 0,01455.

За результат анализа принимают среднее арифметическое результатов двух параллельных определений, абсолютное расхождение между которыми не превышает допускаемое расхождение, равное 0,5%.

Допускаемая абсолютная суммарная погрешность результата анализа ±0,5% при доверительной вероятности P=0,95.

(Измененная редакция, Изм. N 2).

4.3. Определение массовой доли нерастворимых в воде веществ.

4.3.1. Реактивы и посуда

Вода дистиллированная по ГОСТ 6709-72-->ГОСТ 6709-72.

Стакан В-1-400 ТХС по ГОСТ 25336-82.

Тигель фильтрующий ТФ ПОР10 или ТФ ПОР16 по ГОСТ 25336-82.

Цилиндр 1-250 (500), 3-250 или мензурка 250 (500) по ГОСТ 1770-74.

4.3.2. Проведение анализа

50,00 г препарата помещают в стакан и растворяют в 250 см3 воды. Стакан накрывают часовым стеклом и выдерживают раствор на кипящей водяной бане в течение 1 ч.

Затем раствор фильтруют через фильтрующий тигель, предварительно высушенный до постоянной массы и взвешенный (результат взвешивания в граммах записывают с точностью до четвертого десятичного знака).

Остаток на фильтре промывают 100 см3 горячей воды и сушат в сушильном шкафу при 105-110 °С до постоянной массы.

Препарат считают соответствующим требованиям настоящего стандарта, если масса остатка после высушивания не будет превышать:

для препарата "чистый для анализа" - 1,5 мг,

для препарата "чистый" - 5,0 мг.

За результат анализа принимают среднее арифметическое результатов двух параллельных определений, относительное расхождение между которыми не превышает допускаемое расхождение, равное 30%.

Допускаемая относительная суммарная погрешность результата анализа ±25% для препарата квалификации "чистый для анализа" и ±15% для препарата квалификации "чистый", при доверительной вероятности P=0,95.

4.3.1; 4.3.2. (Измененная редакция, Изм. N 2).

4.4. Определение массовой доли сульфатов

Определение проводят по ГОСТ 10671.5-74. При этом 2,00 г препарата квалификации "чистый для анализа" или 1,00 г препарата квалификации "чистый" помещают в выпарительную чашку (ГОСТ 9147-80), растворяют в 10 см3 воды (ГОСТ 6709-72-->ГОСТ 6709-72), прибавляют 2 см3 концентрированной соляной кислоты и выпаривают на водяной бане досуха. Сухой остаток смачивают 0,5 см3 раствора соляной кислоты с массовой долей 10%, растворяют в 10 см3 воды и фильтруют через обеззоленный фильтр "синяя лента", тщательно промытый горячей водой, в коническую колбу (Кн-2-50-18 ТХС по ГОСТ 25336-82). Объем раствора доводят пипеткой 6 (7)-2-25 по ГОСТ 20292-74* до 26 см3 и далее определение проводят фототурбидиметрическим или визуально-нефелометрическим (способ 1) методом, не прибавляя раствора соляной кислоты.
________________
* На территории Российской Федерации действуют ГОСТ 29169-91, ГОСТ 29227-91-ГОСТ 29229-91, ГОСТ 29251-91-ГОСТ 29253-91, здесь и далее по тексту. - Примечание изготовителя базы данных.

Препарат считают соответствующим требованиям настоящего стандарта, если масса сульфатов не будет превышать:

для препарата "чистый для анализа" - 0,06 мг,

для препарата "чистый" - 0,1 мг.

При определении визуально-нефелометрическим методом в контрольный раствор и в растворы сравнения вводят освобожденный от сульфатов раствор, который готовят следующим образом: 6 г препарата помещают в выпарительную чашку, растворяют в 30 см3 воды, прибавляют 6 см3 концентрированной соляной кислоты и выпаривают на водяной бане досуха. Остаток смачивают 1,5 см3 раствора соляной кислоты с массовой долей 10%, растворяют в 30 см3 воды, переносят в коническую колбу вместимостью 100 см3, объем раствора доводят водой до 60 см3, нагревают до кипения, прибавляют при перемешивании 9 см3 раствора хлористого бария и выдерживают. Через 18-20 ч раствор фильтруют через обеззоленный фильтр "синяя лента", тщательно промытый горячей водой.

Для приготовления каждого раствора сравнения берут 23 см3 фильтрата для препарата "чистый для анализа" или 11,5 см3 - для препарата "чистый".

При разногласиях в оценке массовой доли сульфатов анализ проводят фототурбидиметрическим методом.

4.5. Определение массовой доли хлоридов

4.5.1. Аппаратура, реактивы и растворы

Спектрофотометр или фотоколориметр любого типа.

Колба 2-25-2 по ГОСТ 1770-74.

Пипетки 4 (5)-2-1 (2), 6 (7)-2-5 и 2 (3)-2-10 по ГОСТ 20292-74.

Вода дистиллированная по ГОСТ 6709-72-->ГОСТ 6709-72.

Кислота азотная по ГОСТ 4461-77, х. ч., раствор с массовой долей 25%, готовят по ГОСТ 4517-87.

Раствор, содержащий хлориды, готовят по ГОСТ 4212-76; соответствующим разбавлением готовят раствор, содержащий 0,01 мг/см3 хлоридов.

Серебро азотнокислое по ГОСТ 1277-75, раствор концентрации c(AgNO3)=0,1 моль/дм3(0,1 н.).

4.5.2. Построение градуировочного графика

Готовят растворы сравнения. Для этого в пять мерных колб помещают растворы, содержащие 0,005; 0,01; 0,02; 0,04; 0,06 мг Cl, доводят объемы раствора водой до 15 см3 и перемешивают.

Одновременно готовят контрольный раствор, не содержащий CI.

В каждый раствор прибавляют 1 см3 раствора азотной кислоты, 1 см3 раствора азотнокислого серебра, перемешивают, доводят объемы растворов до метки и снова перемешивают.

Через 20 мин после выдержки в темноте оптическую плотность растворов сравнения измеряют по отношению к контрольному раствору при длине волны 400 нм в кюветах с толщиной поглощающего свет слоя 50 мм.

По полученным данным строят градуировочный график, откладывая на оси ординат значение оптической плотности, на оси абсцисс - массу хлоридов в миллиграммах.

4.5.3. Проведение анализа

2,50 г препарата помещают в мерную колбу, растворяют в воде, доводят объем раствора водой до метки и перемешивают - раствор 1.

10 см3 раствора 1 (соответствует 1 г препарата) помещают пипеткой в мерную колбу, прибавляют 5 см3 воды, 1 см3 раствора азотной кислоты, перемешивают, прибавляют 1 смраствора азотнокислого серебра, доводят объем раствора водой до метки и перемешивают.

Одновременно готовят контрольный раствор следующим образом: 10 см3 раствора 1 помещают пипеткой в мерную колбу, прибавляют 5 см3 воды, 1 см3 раствора азотной кислоты, перемешивают, доводят объем раствора водой до метки и перемешивают.

Через 20 мин оптическую плотность анализируемого раствора измеряют по отношению к контрольному раствору при длине волны 400 нм в кюветах с толщиной поглощающего свет слоя 50 мм.

Массу хлоридов в анализируемом растворе в миллиграммах находят по градуировочному графику.

Препарат считают соответствующим требованиям настоящего стандарта, если масса хлоридов не будет превышать:

для препарата "чистый для анализа"

- 0,01 мг;

для препарата "чистый"

- 0,05 мг.


За результат анализа принимают среднее арифметическое результатов двух параллельных определений, относительное расхождение между которыми не превышает допускаемое расхождение, равное 30% для препарата чистый для анализа и 10% для препарата чистый.

Допускаемая относительная суммарная погрешность результата анализа ±30% для препарата "чистый для анализа" и ±10% для препарата "чистый" при доверительной вероятности P=0,95.

Допускается проводить определение по ГОСТ 10671.7-74 визуально-нефелометрически (в объеме 40 см3). При этом в контрольный раствор и растворы сравнения вводят освобожденный от хлоридов раствор, который готовят следующим образом: 3,00 г препарата растворяют в 60 см3 воды, прибавляют 6 см3 раствора азотной кислоты и 3 см3 раствора азотнокислого серебра. Объем раствора доводят водой до 90 см3, перемешивают и выдерживают. Через 16-18 ч раствор фильтруют через обеззоленный фильтр "синяя лента", тщательно промытый горячим раствором азотной кислоты с массовой долей 1%.

При разногласиях в оценке массовой доли хлоридов анализ проводят фотометрически.

4.6. Определение массовой доли аммонийных солей

Определение проводят по ГОСТ 10671.4-74 без прибавления сплава Деварда.

При этом 0,50 г препарата помещают в круглодонную колбу (К-2-250-34 ТХС по ГОСТ 25336-82), растворяют в воде, доводят объем раствора водой до 44 см3, прибавляют 6 см3 раствора гидроокиси натрия, перемешивают, помещают в колбу кусочки неглазурованного фарфора и отгоняют 25 см3 раствора в цилиндр 2 (4)-100 по ГОСТ 1770-74, содержащий 5 см3 воды и 5 см3 раствора соляной кислоты.

Объем раствора доводят водой до метки и перемешивают.

6 см3 полученного раствора (соответствуют 0,03 г препарата) для препарата чистый для анализа или 1 см3 раствора (соответствует 0,005 г препарата) для препарата чистый помещают в коническую колбу вместимостью 100 см3 (с пришлифованной пробкой) с меткой на 50 см3, прибавляют при тщательном перемешивании воду и далее определение проводят фотометрическим или визуально-нефелометрическим методом.

Препарат считают соответствующим требованиям настоящего стандарта, если масса аммонийных солей не будет превышать:

для препарата "чистый для анализа" - 0,015 мг;

для препарата "чистый" - 0,03 мг.

При разногласиях в оценке массовой доли аммонийных солей анализ проводят фотометрическим методом.

4.7. Определение массовой доли железа

Определение проводят по ГОСТ 10555-75. При этом 2,00 г препарата помещают в коническую колбу вместимостью 100 см3, растворяют в 20 см3 воды и далее определение проводят сульфосалициловым методом с предварительным отделением железа в виде гидроокиси раствором аммиака в присутствии хлористого аммония.

Препарат считают соответствующим требованиям настоящего стандарта, если масса железа не будет превышать:

для препарата "чистый для анализа" - 0,01 мг;

для препарата "чистый" - 0,02 мг.

Одновременно в тех же условиях проводят контрольный опыт на определение железа в применяемых объемах реактивов. При обнаружении примеси железа в результат анализа вносят поправку.

Допускается заканчивать определение визуально.

При разногласиях в оценке массовой доли железа анализ заканчивают фотометрически.

4.4-4.7. (Измененная редакция, Изм. N 2).

4.8. Определение массовой доли натрия, калия и кальция

4.8.1. Приборы, оборудование, реактивы и растворы

Спектрофотометр на основе спектрографа типа ИСП-51 (или универсального монохроматора УМ-2) с фотоэлектрической приставкой типа ФЭП-1, с соответствующим фотоумножителем или спектрофотометр "Сатурн". Допускается использование других приборов с аналогичными метрологическими характеристиками.

Ацетилен растворенный технический по ГОСТ 5457-75.

Воздух сжатый для питания контрольно-измерительных приборов.

Горелка.

Распылитель.

Колба 2-100-2 по ГОСТ 1770-74.

Пипетки 4 (5)-2-12, 6 (7)-2-5, 6 (7)-2-25 и 2 (3)-2-20 по ГОСТ 20292-74.

Вода дистиллированная по ГОСТ 6709-72-->ГОСТ 6709-72, вторично перегнанная в кварцевом дистилляторе, или Вода деминерализованная.

Кобальт (II) азотнокислый 6-водный по настоящему стандарту, дважды перекристаллизованный, проверенный на содержание натрия, калия и кальция по методу добавок (найденные количества примесей учитываются при приготовлении растворов сравнения); раствор с массовой долей 5% - раствор А.

Растворы, содержащие натрий, калий и кальций, готовят по ГОСТ 4212-76; соответствующим разбавлением и смешением получают раствор с концентрацией натрия, калия и кальция по 0,1 мг/см3 - раствор Б.

Все растворы, а также воду, применяемую для их приготовления, хранят в полиэтиленовой или кварцевой посуде.

(Измененная редакция, Изм. N 2).

4.8.2. Подготовка к анализу

4.8.2.1. Приготовление анализируемого раствора

1,00 г препарата помещают в мерную колбу вместимостью 100 см3, растворяют в воде, доводят объем раствора водой до метки и тщательно перемешивают.

4.8.2.2. Приготовление растворов сравнения

В пять мерных колб помещают по 25 см3 воды, по 20 см3 раствора А (соответствуют 1 г препарата) и объемы раствора Б, указанные в табл.2. Затем объем каждого раствора доводят водой до метки и тщательно перемешивают.

Таблица 2

Номер раствора сравнения

Объем раствора Б, см3

Масса каждого элемента (Na, K, Ca) 
в 100 см3 раствора сравнения 
в виде добавок, мг

Массовая доля в растворе сравнения каждого элемента (Na, K, Ca) 
в пересчете на препарат, %

1

-

-

-

2

0,5

0,05

0,005

3

1

0,1

0,01

4

2

0,2

0,02

5

4

0,4

0,04

4.8.3. Проведение анализа

Для анализа берут не менее двух навесок препарата. Сравнивают интенсивность излучения резонансных линий Na-589,0-589,6; K-766,5 и Ca-422,7 нм, возникающих в спектре пламени ацетилен-воздух при введении анализируемых растворов и растворов сравнения.

После подготовки прибора к анализу проводят фотометрирование спектров анализируемых растворов и растворов сравнения в порядке возрастания массовых долей определяемых примесей. Затем проводят фотометрирование в обратной последовательности, начиная с максимальных массовых долей примесей, и вычисляют среднее арифметическое значение интенсивности излучения для каждого раствора, учитывая в качестве поправки отсчет, полученный при фотометрировании первого раствора сравнения.

После каждого измерения распыляют воду.

4.8.2; 4.8.3. (Измененная редакция, Изм. N 2).

4.8.4. Обработка результатов

По полученным данным для растворов сравнения строят градуировочный график, откладывая значения интенсивности излучения на оси ординат, массовую долю определяемых элементов в пересчете на препарат в процентах - на оси абсцисс. Массовую долю каждой примеси в препарате в процентах находят по графику.

Массовую долю натрия, калия и кальция можно определять методом ограничивающих растворов; при этом проводят фотометрирование спектров двух растворов сравнения и анализируемого раствора. Масса определяемого элемента в одном из растворов сравнения должна быть меньше, а в другом - больше, чем в анализируемом растворе.

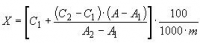
В этом случае массовую долю каждой примеси (X) в процентах вычисляют по формуле где C1 и C2 - масса определяемого элемента в 100 см3 раствора сравнения (), мг;
A - значение интенсивности излучения для анализируемого раствора;

A1 и A2 - значения интенсивности излучения для растворов сравнения;

m - масса навески препарата, г.

Препарат считают соответствующим требованиям настоящего стандарта, если массовая доля кальция и суммарная массовая доля натрия и калия не будут превышать допускаемых норм.

За результат анализа принимают среднее арифметическое результатов двух параллельных определений, относительное расхождение между которыми не превышает допускаемое расхождение, равное 20%.

Допускаемая относительная суммарная погрешность результата анализа ±10% при доверительной вероятности P=0,95.

При разногласиях в оценке массовой доли натрия, калия и кальция обработку результатов проводят по градуировочному графику.

(Измененная редакция, Изм. N 1,2).

4.9. Определение массовой доли цинка и магния

Определение проводят по ГОСТ 22001-87.

Анализируемый раствор сохраняют для определения массовой доли никеля и меди по п.4.10.

(Измененная редакция, Изм. N 2).

4.10. Определение массовой доли никеля и меди

4.10.1. Приборы, оборудование, реактивы и растворы

Спектрофотометр атомно-абсорбционный.

Лампы с полым катодом типа ЛСП на никель и медь.

Колба 2-100-2 по ГОСТ 1770-74.

Пипетка 4 (5)-2-1 (2), 6 (7)-2-5 (10), 2 (3)-2-20 или 6 (7)-2-25 по ГОСТ 20292-74.

Цилиндр 1 (3)-50 по ГОСТ 1770-74.

Ацетилен растворенный технический по ГОСТ 5457-75.

Воздух сжатый для питания контрольно-измерительных приборов.

Вода дистиллированная по ГОСТ 6709-72-->ГОСТ 6709-72, вторично перегнанная в кварцевом дистилляторе или Вода деминерализованная.

Растворы, содержащие никель и медь, готовят по ГОСТ 4212-76; соответствующим разбавлением готовят раствор А, содержащий 0,1 мг/см3 никеля и 0,01 мг/см3 меди, раствор Б, содержащий 0,1 мг/см3 никеля, и раствор В, содержащий 0,01 мг/см3 меди.

4.10.2. Подготовка к анализу

Для определения примесей методом растворов сравнения в пять мерных колб помещают по 20 см3 воды и объемы раствора А, указанные в табл.3. Объем каждого раствора доводят водой до метки и тщательно перемешивают.

Таблица 3

Номер раствора сравнения

Объем раствора А, мл

Масса добавок в 100 смраствора сравнения, мг

Массовая доля в растворе сравнения 
в пересчете на препарат, %

Ni

Cu

Ni

Cu

1

1

0,1

0,01

0,01

0,001

2

2

0,2

0,02

0,02

0,002

3

4

0,4

0,04

0,04

0,004

4

6

0,6

0,06

0,06

0,006

5

10

1,0

0,1

0,1

0,01



Для определения методом добавок никеля по норме 0,005% и меди 0,001% в четыре мерные колбы помещают по 10,00 г препарата и объемы растворов, указанные в табл.4. Объемы каждого раствора доводят водой до метки и тщательно перемешивают.

Таблица 4

Номер раствора сравнения

Объем раствора, см3

Масса добавок в 100 см3 раствора сравнения, мг

Массовая доля в растворе сравнения 
в пересчете на препарат, %

Б

В

Ni

Cu

Ni

Cu

1

-

-

-

-

-

-

2

2,5

5,0

0,25

0,05

0,0025

0,0005

3

5,0

10,0

0,5

0,10

0,005

0,001

4

10,0

20,0

1,0

0,20

0,01

0,002

4.10.1; 4.10.2. (Измененная редакция, Изм. N 2).

4.10.3. Проведение анализа и обработка результатов

Для анализа берут не менее двух навесок препарата (из анализируемого раствора, приготовленного по п.4.9).

Анализ проводят в пламени ацетилен-воздух, используя аналитические линии, нм: Ni-232,0, Cu-324,7.

При определении примесей методом растворов сравнения последовательно распыляют в пламя растворы сравнения в порядке возрастания массовых долей определяемых элементов и анализируемые растворы по 2-3 раза. После каждого измерения распыляют воду. Затем вычисляют среднее арифметическое значение поглощения в процентах для каждого раствора. По полученным данным для растворов сравнения строят градуировочный график, откладывая на оси ординат значение поглощения в процентах, на оси абсцисс - массовую долю определяемого элемента в процентах в пересчете на препарат.

Массовую долю каждой примеси в препарате в процентах находят по градуировочному графику.

Для определения примесей методом добавок растворы сравнения распыляют последовательно в пламя по 2-3 раза и измеряют значение поглощения аналитических линий никеля и меди. Вычисляют среднее арифметическое значение поглощения в процентах для каждого раствора.

По полученным данным строят градуировочный график, откладывая на оси ординат значение поглощения в процентах, на оси абсцисс - массовую долю определяемого элемента в пересчете на препарат в процентах.

Массовую долю каждой примеси в препарате в процентах находят экстраполяцией графика до пересечения с осью абсцисс.

За результат анализа принимают среднее арифметическое результатов двух параллельных определений, абсолютное расхождение между которыми не превышает допускаемое расхождение, равное 15%.

Допускаемая относительная суммарная погрешность результата анализа ±10% при доверительной вероятности P=0,95.

При разногласиях в оценке массовой доли никеля и меди обработку результатов проводят по градуировочному графику.

(Измененная редакция, Изм. N 1, 2).

4.11. Определение pH раствора препарата с массовой долей 5%

5,00 г препарата помещают в колбу Кн-1 (2)-250-34 ТХС (ГОСТ 25336-82), добавляют цилиндром (ГОСТ 1770-74) 95 см3 дистиллированной воды, не содержащей углекислоты (готовят по ГОСТ 4517-87), перемешивают и измеряют pH раствора на универсальном иономере ЭВ-74 или другом приборе с допускаемой погрешностью ±0,05 pH.

(Измененная редакция, Изм. N 2).

5. УПАКОВКА, МАРКИРОВКА, ТРАНСПОРТИРОВАНИЕ И ХРАНЕНИЕ

5.1. Препарат упаковывают и маркируют в соответствии с ГОСТ 3885-73-->ГОСТ 3885-73.

Вид и тип тары: 2-1, 2-2, 2-4, 2-9, 11-6.

Группа фасовки: III, IV, V, VI, VII, не более 40 кг.

На тару наносят знак опасности (класс 5, подкласс 5,1, классификационный шифр 5143).

(Измененная редакция, Изм. N 1, 2).

5.2. Препарат транспортируют всеми видами транспорта в соответствии с правилами перевозки грузов, действующими на данном виде транспорта.

5.3. Препарат хранят в упаковке изготовителя в крытых складских помещениях.

6. ГАРАНТИИ ИЗГОТОВИТЕЛЯ

6.1. Изготовитель гарантирует соответствие 6-водного азотнокислого кобальта требованиям настоящего стандарта при соблюдении условий транспортирования и хранения.

(Измененная редакция, Изм. N 2).

6.2. Гарантийный срок хранения продукта - два года со дня изготовления.

(Измененная редакция, Изм. N 1).



официальное издание
М.: Издательство стандартов, 1989