Новости Нефтегазовая пром.
Выставки Наука и технология


Калия бихромат технический ГОСТ 2652-78

Калия бихромат технический. Технические условия (с Изменениями N 1, 2, 3) ГОСТ 2652-78


ГОСТ 2652-78

Группа Л17

ГОСУДАРСТВЕННЫЙ СТАНДАРТ СОЮЗА ССР

КАЛИЯ БИХРОМАТ ТЕХНИЧЕСКИЙ

Технические условия

Technical potassium bichromate.
Specifications

ОКП 21 4614 0100

Срок действия с 01.01.80
до 01.01.95*
_______________________________
* Ограничение срока действия снято 
по протоколу N 4-93 Межгосударственного Совета 
по стандартизации, метрологии и сертификации 
(ИУС N 4, 1994 год). - Примечание изготовителя базы данных.

ИНФОРМАЦИОННЫЕ ДАННЫЕ

1. РАЗРАБОТАН И ВНЕСЕН Министерством химической промышленности СССР

РАЗРАБОТЧИКИ

Н.И.Баянова, Е.М.Башкирова, М.Я.Попильский, Т.X.Пирская

2. УТВЕРЖДЕН И ВВЕДЕН В ДЕЙСТВИЕ Постановлением Государственного комитета стандартов Совета Министров СССР от 7 июля 1978 г. N 1842

3. ВЗАМЕН ГОСТ 2652-71

4. ССЫЛОЧНЫЕ НОРМАТИВНО-ТЕХНИЧЕСКИЕ ДОКУМЕНТЫ

Обозначение НТД, на который дана ссылка

Номер пункта, подпункта

ГОСТ 12.1.005-88

2.7

ГОСТ 12.1.007-76

2.1

ГОСТ 12.3.009-76

2.8

ГОСТ 12.4.013-85

2.7

ГОСТ 12.4.021-75

2.7

ГОСТ 12.4.034-85

2.7

ГОСТ 12.4.103-83

2.7

ГОСТ 1770-74

4.3.1, 4.4.1, 4.5.1, 4.6.1

ГОСТ 2226-88

5.1

ГОСТ 3118-77

4.4.1

ГОСТ 4108-72

4.4.1

ГОСТ 4204-77

4.3.1, 4.4.1

ГОСТ 4208-72

4.3.1

ГОСТ 4220-75

4.3.1, 4.4.1, 4.5.1

ГОСТ 4461-77

4.5.1

ГОСТ 4520-78

4.5.1

ГОСТ 4919.1-77

4.3.1

ГОСТ 5044-79

5.1

ГОСТ 6552-80

4.3.1

ГОСТ 6709-72-->ГОСТ 6709-72

4.3.1, 4.4.1, 4.5.1, 4.6.1

ГОСТ 7328-82

4.3.1, 4.6.1, 4.7.1

ГОСТ 9557-87

5.4

ГОСТ 14192-77

5.2

ГОСТ 15846-79

5.3

ГОСТ 18225-72

5.1

ГОСТ 19433-88

3.1, 5.2

ГОСТ 20292-74

4.3.1, 4.4.1, 4.5.1

ГОСТ 21650-76

5.4

ГОСТ 24104-88

4.3.1, 4.4.1, 4.5.1, 4.6.1, 4.7.1

ГОСТ 24597-81

5.4

ГОСТ 25336-82

4.6.1, 4.7.1

ГОСТ 25794.2-83

4.3.1

ГОСТ 26663-85

5.4

5. Срок действия продлен до 01.01.95 Постановлением Госстандарта СССР от 10.03.89 N 443

6. ПЕРЕИЗДАНИЕ (июль 1992 г.) с Изменениями N 1, 2, 3, утвержденными в июне 1984 г. Пост. N 2308 от 29.06.84, в сентябре 1987 г. Пост. N 3506 от 10.09.87, в марте 1989 г. Пост. N 443 от 10.03.89 (ИУС 10-84, 12-87, 5-89)


Настоящий стандарт распространяется на технический бихромат калия, предназначенный для органического синтеза, производства спичек, неорганических пигментов, сухих батарей и других промышленных целей.

Настоящий стандарт устанавливает требования к техническому бихромату калия, изготовляемому для нужд народного хозяйства и экспорта.

Формула: K2Cr2O7

Молекулярная масса (по международным атомным массам 1971 г.) - 294,16.

(Измененная редакция, Изм. N 3).

1. ТЕХНИЧЕСКИЕ ТРЕБОВАНИЯ

1.1. бихромат калия должен быть изготовлен в соответствии с требованиями настоящего стандарта по технологическому регламенту, утвержденному в установленном порядке.

1.2. По физико-химическим показателям бихромат калия должен соответствовать нормам, указанным в таблице.

Наименование показателя

Норма

Высший сорт
ОКП 21 4614 0120

Первый сорт
ОКП 21 4614 0130

1. Внешний вид

Неслеживающиеся кристаллы оранжево-красного цвета

2. Массовая доля бихромата калия (K2Cr2O7), %, не менее

99,7

99,7

3. Массовая доля сульфатов в пересчете на SO4, %, не более

0,02

0,05

4. Массовая доля хлоридов в пересчете на Cl, %, не более

0,07

0,1

5. Массовая доля нерастворимого в воде остатка, %, не более

0,03

0,1

6. Массовая доля влаги, %, не более

0,03

0,05


(Измененная редакция, Изм. N 1, 3).

2. ТРЕБОВАНИЯ БЕЗОПАСНОСТИ

2.1. бихромат калия технический пожаро- и взрывобезопасен, токсичен. По степени воздействия на организм человека бихромат калия относится к вредным веществам 1-го класса опасности в соответствии с ГОСТ 12.1.007-76.

2.2. Пыль и аэрозоль соединений шестивалентного хрома, поступив в организм, могут вызвать тяжелые отравления.

При длительном воздействии на организм человека соединения шестивалентного хрома оказывают общетоксическое действие, вызывая заболевание органов дыхания, желудочно-кишечного тракта и кожи. Соединения шестивалентного хрома действуют раздражающе на кожу и слизистые оболочки глаз и носа, вызывая их изъязвление, а при вдыхании - прободение хрящевой части носовой перегородки. Попадание соединений шестивалентного хрома на поврежденную кожу ведет к образованию трудно заживающих язв.

2.3. Предельно допустимая концентрация бихромата калия в пересчете на CrO3:

в воздухе рабочей зоны

- 0,01 мг/м3;

в атмосферном воздухе населенных мест

- 0,0015 мг/м3;

в воде водоемов санитарно-бытового пользования в пересчете на Cr (VI)

- 0,1 мг/дм3.

2.4. Определение шестивалентного хрома в воде осуществляют фотоколориметрическим методом, основанным на взаимодействии шестивалентного хрома с дифенилкарбазидом в кислой среде с образованием комплекса красно-фиолетового цвета.

Определение содержания бихромата калия в воздухе рабочей зоны проводится в соответствии с методиками, утвержденными Министерством здравоохранения СССР.

2.5. В воздушной среде и сточных водах в присутствии других веществ или под воздействием других факторов бихромат калия токсичных веществ не образует.

2.6. Воздух, содержащий пыль и аэрозоль бихромата калия, перед выбросом в атмосферу подвергается сухой или мокрой очистке до установленных норм предельно допустимых концентраций.

Сточные воды, образующиеся в результате смывов, влажной уборки и очистки воздуха, подлежат обезвреживанию и далее направляются в промышленную канализацию. Сброс сточных вод в общую систему очистки сточных вод должен осуществляться в соответствии с инструкцией по приему стоков в городскую канализацию.

2.7. В целях коллективной защиты должна быть предусмотрена герметизация оборудования и коммуникаций.

Производственные и лабораторные помещения, в которых проводится работа с бихроматом калия, должны быть оснащены приточно-вытяжной вентиляцией по ГОСТ 12.4.021-75, обеспечивающей состояние воздуха рабочей зоны в соответствии с требованиями ГОСТ 12.1.005-88.

В производственных помещениях обязательно должна проводиться вакуумная и мокрая уборка пыли. Места возможного пыления бихромата калия должны быть снабжены местной вытяжной вентиляцией.

Для защиты органов дыхания должны применяться респираторы типа ШБ-1 "Лепесток-200", У-2К по ГОСТ 12.4.034-85*; для защиты лица и глаз - защитные очки по ГОСТ 12.4.013-85**. Работающие с бихроматом калия должны обеспечиваться специальной одеждой, обувью и средствами защиты рук по ГОСТ 12.4.103-83.
______________
* На территории Российской Федерации действует ГОСТ 12.4.034-2001; 
** На территории Российской Федерации действует ГОСТ Р 12.4.013-97. - Примечание изготовителя базы данных.

2.8. Анализ бихромата калия должен выполняться с соблюдением основных правил безопасной работы в химических лабораториях*, утвержденных в установленном порядке.
________________
* На территории Российской Федерации документ не действует. Действует ПНД Ф 12.13.1-03. - Примечание изготовителя базы данных.

При погрузке и разгрузке бихромата калия должны соблюдаться требования безопасности по ГОСТ 12.3.009-76.

2.9. При работе с бихроматом калия необходимо соблюдать правила безопасности при производстве хромовых соединений, утвержденные в установленном порядке.

(Измененная редакция, Изм. N 1).

3. ПРАВИЛА ПРИЕМКИ

3.1. бихромат калия принимают партиями. Партией считают любое количество продукта, однородного по своим показателям качества, оформленного одним документом о качестве, но не более сменной выработки.

Документ о качестве должен содержать:

наименование предприятия-изготовителя и его товарный знак;

наименование, сорт продукта, классификационный шифр группы;

номер партии;

массу нетто;

количество упаковочных единиц, входящих в партию;

результаты проведенных анализов или подтверждение о соответствии качества продукта требованиям настоящего стандарта; подтверждение о нанесении на упаковку знака опасности по ГОСТ 19433-81*;
________________
* На территории Российской Федерации действует ГОСТ 19433-88. Здесь и далее. - Примечание изготовителя базы данных.

обозначение настоящего стандарта.

(Измененная редакция, Изм. N 1, 3).

3.2. Для контроля качества упакованного бихромата калия отбирают 5% единиц продукции, но не менее двух при партиях менее 40 единиц. Для контроля качества бихромата калия, упакованного в контейнеры, отбирают в зависимости от числа контейнеров в партии:

от 2 до 10 контейнеров - 2 контейнера;

от 10 до 30 контейнеров - 3 контейнера;

от 30 до 50 контейнеров - 4 контейнера;

св. 50 контейнеров - 5 контейнеров.

Для проверки качества технического бихромата калия, находящегося в движении, пробы отбирают через равные интервалы времени механическим пробоотборником, обеспечивающим отбор точечных проб массой 0,5 кг от каждых 3-5 т продукта, установленным на потоке в местах перепада продукта.

(Измененная редакция, Изм. N 3).

3.3. При получении неудовлетворительных результатов анализа хотя бы по одному из показателей проводят по нему повторный анализ на удвоенной выборке той же партии.

Результаты повторного анализа распространяются на всю партию.

4. МЕТОДЫ АНАЛИЗА

4.1. Отбор проб

4.1.1. Точечные пробы упакованного бихромата калия отбирают из любых точек массы щелевидным пробоотборником или другими средствами отбора, погружая их по вертикали на глубину не менее 20 см от поверхности.

Масса точечной пробы должна быть не менее 0,1 кг.

(Измененная редакция, Изм. N 3).

4.1.2. Отобранные точечные пробы соединяют, тщательно перемешивают и сокращают квартованием до средней пробы массой не менее 0,5 кг.

(Измененная редакция, Изм. N 1).

4.1.3. Среднюю пробу помещают в чистую сухую стеклянную плотно закрываемую банку.

На банку с пробой наносят следующие обозначения: наименование предприятия-изготовителя, наименование продукта, номер партии, дату отбора пробы и надпись "Токсичен".

(Измененная редакция, Изм. N 3).

4.2. Внешний вид продукта определяют визуально.

4.3. Определение массовой доли бихромата калия

4.3.1. Аппаратура, реактивы и растворы

Бюретка 3-2-50-0,1 по ГОСТ 20292-74*.
________________
* На территории Российской Федерации действуют ГОСТ 29169-91, ГОСТ 29227-91-ГОСТ 29229-91, ГОСТ 29251-91-ГОСТ 29253-91. Здесь и далее. - Примечание изготовителя базы данных. 

Весы лабораторные 2-го класса точности по ГОСТ 24104-88* с наибольшим пределом взвешивания 200 г.
________________
* На территории Российской Федерации действует ГОСТ 24104-2001. Здесь и далее. - Примечание изготовителя базы данных.

Гири 2-го класса точности по ГОСТ 7328-82*.
________________
* На территории Российской Федерации действует ГОСТ 7328-2001. Здесь и далее. - Примечание изготовителя базы данных.

Колба мерная 1,2-500-2 по ГОСТ 1770-74.

Мензурка 250 по ГОСТ 1770-74.

Пипетки 2-2-25 (50); 4,5-2-1,2 по ГОСТ 20292-74.

Цилиндр 1,3-25 по ГОСТ 1770-74.

Вода дистиллированная по ГОСТ 6709-72-->ГОСТ 6709-72.

калий двухромовокислый по ГОСТ 4220-75 (перекристаллизованный и высушенный при 150 °С), раствор концентрации c(1/6K2Cr2O7)=0,15 моль/дм3 (0,15 н.), готовят по ГОСТ 25794.2-83.

Кислота ортофосфорная по ГОСТ 6552-80.

Кислота серная по ГОСТ 4204-77, раствор, разбавленный 1:4.

Кислота N', N-фенилантраниловая (индикатор), раствор с массовой долей 0,1%; готовят по ГОСТ 4919.1-77.

Соль закиси железа и аммония двойная сернокислая (Соль Мора) по ГОСТ 4208-72, раствор концентрации c(NH4)2Fe(SO4)2·6H2O)=0,2 моль/дм3.

Коэффициент поправки раствора соли Мора устанавливают ежедневно, для чего 50 см3 раствора двухромовокислого калия помещают в коническую колбу вместимостью 500 см3, добавляют 150 см3 воды, 15 см3 серной кислоты, 5 см3 ортофосфорной кислоты, 1 сминдикатора и титруют раствором соли Мора до перехода фиолетово-вишневой окраски в зеленую.

(Измененная редакция, Изм. N 1, 3).

4.3.2. Проведение анализа

(5,00±0,25) г бихромата калия взвешивают (результаты взвешивания в граммах записывают до четвертого десятичного знака) и количественно переносят водой в мерную колбу вместимостью 500 см3, доводят объем раствора водой до метки и перемешивают. 25 смполученного раствора помещают в коническую колбу вместимостью 500 см3, разбавляют водой до 200 см3, прибавляют 15 см3 серной кислоты, 5 см3 ортофосфорной кислоты, 1 сминдикатора и титруют раствором соли Мора до перехода фиолетово-вишневой окраски в зеленую.

(Измененная редакция, Изм. N 3).

4.3.3. Обработка результатов

Массовую долю бихромата калия (X) в процентах вычисляют по формуле где V - объем раствора соли Мора, концентрации точно 0,2 моль/дм3, израсходованный на титрование, см3;
0,0098 - масса бихромата калия, соответствующая 1 см3 раствора соли Мора, концентрации точно 0,2 моль/дм3, г;

m - масса навески, г.

Результат округляют до одного десятичного знака.

За результат анализа принимают среднее арифметическое результатов двух параллельных определений, допускаемые расхождения между которыми не должны превышать 0,4% при доверительной вероятности P=0,95. Допускаемая абсолютная погрешность результата измерения не превышает 0,5%.

(Измененная редакция, Изм. N 1, 3).

4.4. Определение массовой доли сульфатов в пересчете на SO4

4.4.1. Аппаратура, реактивы и растворы

Бюретка 3-2-25-0,1 по ГОСТ 20292-74.

Весы лабораторные 4-го класса точности по ГОСТ 24104-88 с наибольшим пределом взвешивания 500 г.

Колбы мерные 1,2-250 (500, 1000) - 2 по ГОСТ 1770-74.

Пипетки 2-2-5 (50) по ГОСТ 20292-74.

Колориметр фотоэлектрический концентрационный типа КФК-2 или типа ФЭК-56М.

Секундомер.

барий хлористый по ГОСТ 4108-72, раствор с массовой долей 30% на растворе соляной кислоты концентрации 0,1 моль/дм3, готовят следующим образом: 300 г хлористого бария помещают в мерную колбу вместимостью 1 дм3, растворяют в растворе соляной кислоты концентрации 0,1 моль/дм3, доводят этой же кислотой до метки и перемешивают. Полученный раствор переносят в сухую коническую колбу, нагревают до кипения и выдерживают 24 ч. Затем 2 раза фильтруют через двойной фильтр "синяя лента". Раствор перед применением тщательно перемешивают.

Вода дистиллированная по ГОСТ 6709-72-->ГОСТ 6709-72.

калий двухромовокислый по ГОСТ 4220-75, х.ч.

Кислота серная по ГОСТ 4204-77; "стандарт-титр", раствор концентрации c(1/2H2SO4)=0,01 моль/дм3 (0,01 н.) в растворе соляной кислоты, концентрации 1 моль/дм3; готовят следующим образом:

"стандарт-титр" серной кислоты переносят в мерную колбу вместимостью 1 дм3, доводят до метки раствором соляной кислоты концентрации 1 моль/дм3 и перемешивают. 50 см3 раствора помещают в мерную колбу вместимостью 500 см3, доводят объем раствора в колбе до метки раствором соляной кислоты концентрации 1 моль/дм3 и перемешивают - раствор А. 1 смраствора А содержит 0,48 мг SO4.

кислота соляная по ГОСТ 3118-77, растворы концентраций c(HCl)=0,1 и 1 моль/дм3.

(Измененная редакция, Изм.N 1, 2, 3).

4.4.2. Подготовка к анализу

4.4.2.1. Построение градуировочного графика

Для построения градуировочного графика готовят стандартные растворы: в мерные колбы вместимостью 250 см3 отмеривают из бюретки 3; 5; 8; 10; 15; 20 см3 раствора А, что соответствует 1,44; 2,40; 3,84; 4,80; 7,20; 9,60 мг SO4 и добавляют по 10 г двухромовокислого калия.

Объемы растворов доводят до метки раствором соляной кислоты концентрации 1 моль/дми перемешивают.

При работе на ФЭК-56М в правый световой пучок прибора помещают кювету со стандартным раствором, налитым точно до риски, в левый - кювету с водой, включают фотоэлемент и устанавливают оптическое равновесие при оптической плотности на правом барабане D=0,1 (желтый светофильтр, 582 нм). Выключают фотоэлемент, на правом барабане устанавливают оптическую плотность D=0.
После этого в центр правой кюветы приливают из пипетки, положение которой строго фиксировано, 5 см3 раствора хлористого бария. С момента начала приливания хлористого бария включают секундомер, далее периодическим включением фотоэлемента наблюдают за положением стрелки гальванометра, при достижении нулевого положения секундомер выключают и отмечают время в секундах.

При работе на КФК-2 в световой пучок прибора помещают кювету со стандартным раствором, налитым точно до риски. Закрывают крышку кюветного отделения и ручками "чувствительность" и "установка 100" ("грубо" и "точно") устанавливают отсчет 100 по шкале колориметра. Открывают крышку кюветного отделения и в центр кюветы приливают из пипетки, положение которой строго фиксировано, 5 см3 хлористого бария, с момента начала приливания хлористого бария включают секундомер. Затем, периодически закрывая крышку кюветного отделения, наблюдают за положением стрелки микроамперметра. При достижении оптической плотности D=0,1 (590 нм) и чувствительности 3 по красной шкале секундомер выключают и отмечают время в секундах.

По полученным значениям времени строят градуировочный график, откладывая на оси абсцисс - lg C (мг SO4 в 250 см раствора), на оси ординат - lgt (время в секундах).

(Измененная редакция, Изм. N 1).

4.4.3. Проведение анализа

(10,00±0,25) г бихромата калия взвешивают (результаты взвешивания в граммах записывают до второго десятичного знака) и помещают в мерную колбу вместимостью 250 см3, растворяют в растворе соляной кислоты, концентрации 1 моль/дм3, объем раствора доводят этой же кислотой до метки и перемешивают.

При проведении анализа на КФК-2 полученный раствор наливают в кювету точно до риски, помещают кювету в световой пучок, закрывают крышку кюветного отделения; при работе на ФЭК-56М - в правый световой пучок прибора: в левый световой пучок помещают кювету с дистиллированной водой. Затем измеряют время (t) достижения заданной оптической плотности с момента начала приливания раствора хлористого бария так же, как описано при построении градуировочного графика в п.4.4.2.1.

По полученным данным, пользуясь градуировочным графиком, определяют массу сульфатов в анализируемой пробе.

(Измененная редакция, Изм. N 1, 3).

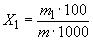
4.4.4. Обработка результатов

Массовую долю сульфатов (X1) в процентах вычисляют по формуле где m1 - масса SO4 в 250 см раствора, найденная по градуировочному графику, мг;
m - масса навески, г.

За результат анализа принимают среднее арифметическое двух параллельных определений, допускаемые расхождения между которыми не должны превышать 0,008% при доверительной вероятности P=0,95.

(Измененная редакция, Изм. N 1).

4.5. Определение массовой доли хлоридов в пересчете на Cl

4.5.1. Аппаратура, реактивы и растворы

Бюретка 6-2-5-0,02 по ГОСТ 20292-74.

Весы лабораторные 4-го класса точности по ГОСТ 24104-88 с наибольшим пределом взвешивания 500 г.

Колба мерная 1,2-250-2 по ГОСТ 1770-74.

Мензурка 100 по ГОСТ 1770-74.

Пипетки 2-2-25; 4,5-2-1,2 по ГОСТ 20292-74.

Цилиндр 1,3-10 по ГОСТ 1770-74.

Вода дистиллированная по ГОСТ 6709-72-->ГОСТ 6709-72.

калий двухромовокислый по ГОСТ 4220-75, х.ч.

Кислота азотная по ГОСТ 4461-77.

Натрий нитропруссидный (индикатор), раствор с массовой долей 10%.

Ртуть азотнокислая 1-водная по ГОСТ 4520-78, раствор концентрации c(1/2Hg(NO3)2·H2O)=0,025 моль/дм3 (0,025 н.).

(Измененная редакция, Изм. N 1, 2, 3).

4.5.2. Проведение анализа

(15,00±0,25) г бихромата калия взвешивают (результаты взвешивания в граммах записывают до второго десятичного знака) и растворяют в горячей воде и фильтруют через фильтр "белая лента" в мерную колбу вместимостью 250 см3. Фильтр промывают этой же водой до бесцветных промывных вод, раствор охлаждают, доводят водой до метки и тщательно перемешивают. 25 см3 полученного раствора переносят в коническую колбу вместимостью 250 см3, добавляют 75 см3 воды, 5 см3 азотной кислоты, 1 см3 индикатора и медленно титруют раствором азотно-кислой ртути, наблюдая раствор на черном фоне, до появления слабой неисчезающей мути. Одновременно проводят контрольный опыт.

Для этого 1,5 г двухромовокислого калия (реактива) взвешивают (результаты взвешивания в граммах записывают до второго десятичного знака) и растворяют в 100 см3 воды и далее поступают так же, как при проведении анализа.

(Измененная редакция, Изм. N 3).

4.5.3. Обработка результатов

Массовую долю хлоридов (X2) в процентах вычисляют по формуле где V - объем раствора азотно-кислой ртути концентрации точно 0,025 моль/дм3, израсходованный на титрование анализируемого раствора, см3;

V1 - объем раствора азотно-кислой ртути концентрации точно 0,025 моль/дм3, израсходованный на титрование раствора контрольного опыта, см3;

0,00089 - масса хлора, соответствующая 1 см3 раствора азотно-кислой ртути концентрации точно 0,025 моль/дм3, г;

m - масса навески, г.

За результат анализа принимают среднее арифметическое трех параллельных определений, допускаемые расхождения между которыми не должны превышать 0,03% при доверительной вероятности P=0,95.

(Измененная редакция, Изм. N 1, 3).

4.6. Определение массовой доли нерастворимого в воде остатка

4.6.1. Аппаратура, реактивы

Весы лабораторные 2-го класса точности по ГОСТ 24104-88 с наибольшим пределом взвешивания 200 г.

Гири 2-го класса точности по ГОСТ 7328-82.

Мензурка 250 по ГОСТ 1770-74.

Тигель фильтрующий типа ТФ ПОР-10 или ТФ ПОР-16 по ГОСТ 25336-82.

Шкаф сушильный, обеспечивающий нужную точность регулирования температуры.

Вода дистиллированная по ГОСТ 6709-72-->ГОСТ 6709-72.

(Измененная редакция, Изм. N 1, 3).

4.6.2. Проведение анализа

(10,0±0,5) г бихромата калия взвешивают (результат взвешивания в граммах записывают до второго десятичного знака), помещают в стакан вместимостью 300 см3 и растворяют в 150 смгорячей воды. Раствор фильтруют через фильтрующий тигель, предварительно высушенный до постоянной массы и взвешенный (результат взвешивания в граммах записывают до четвертого десятичного знака).

Остаток на фильтре промывают горячей водой до получения бесцветных промывных вод и сушат в сушильном шкафу при температуре (135±15) °С до постоянной массы.

(Измененная редакция, Изм. N 1, 3).

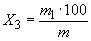
4.6.3. Обработка результатов

Массовую долю нерастворимого в воде остатка (X3) в процентах вычисляют по формуле где m1 - масса высушенного остатка, г;
m - масса навески, г.

За результат анализа принимают среднее арифметическое двух параллельных определений, допускаемые расхождения между которыми не должны превышать 0,02% при доверительной вероятности P=0,95.

(Измененная редакция, Изм. N 1).

4.7. Определение массовой доли влаги

4.7.1. Аппаратура

Весы лабораторные 2-го класса точности по ГОСТ 24104-88 с наибольшим пределом взвешивания 200 г.

Гири 2-го класса точности по ГОСТ 7328-82.

Шкаф сушильный, обеспечивающий нужную точность регулирования температуры.

Стаканчики для взвешивания (бюксы) по ГОСТ 25336-82.

(Измененная редакция, Изм. N 1, 3).

4.7.2. Проведение анализа

(10,0±0,5) г бихромата калия взвешивают, помещают в предварительно взвешенную бюксу и высушивают в сушильном шкафу при температуре (135±15) °С до постоянной массы (результаты всех взвешиваний в граммах записывают до четвертого десятичного знака).

(Измененная редакция, Изм. N 3).

4.7.3. Обработка результатов

Массовую долю влаги (X4) в процентах вычисляют по формуле где m - масса навески, г;
m1 - масса навески после высушивания, г.

За результат анализа принимают среднее арифметическое двух параллельных определений, допускаемые расхождения между которыми не должны превышать 0,003% при доверительной вероятности P=0,95.

(Измененная редакция, Изм. N 1).

5. УПАКОВКА, МАРКИРОВКА, ТРАНСПОРТИРОВАНИЕ И ХРАНЕНИЕ

5.1. бихромат калия упаковывают в стальные барабаны для химической продукции типов БТIIБ1-50 (100) по ГОСТ 5044-79; полиэтиленовые мешки-вкладыши, вложенные в четырех-пятислойные бумажные мешки марки НМ по ГОСТ 2226-88 или в льно-джуто-кенафные мешки по ГОСТ 18225-72, массой нетто не более 50 кг. Допускаемое отклонение по массе ±3%.

Допускается упаковывать бихромат калия в мягкие специализированные контейнеры массой не более 1 т.

Полиэтиленовые мешки-вкладыши заваривают. Бумажные и льно-джуто-кенафные мешки прошивают машинным способом.

Барабаны с продуктом для экспорта с наружной стороны должны иметь защитное лакокрасочное покрытие.

5.2. Транспортная маркировка - по ГОСТ 14192-77* с нанесением знака опасности по ГОСТ 19433-81 (класс 9, подкласс 9.1, классификационный шифр 9153).
________________
* На территории Российской Федерации действует ГОСТ 14192-96. Здесь и далее. - Примечание изготовителя базы данных.

Кроме того, на транспортную тару наносят следующие данные, характеризующие продукцию:

наименование, сорт продукта;

номер партии;

обозначение настоящего стандарта.

При упаковке бихромата калия в контейнеры ярлык с указанными обозначениями вкладывают в карман контейнера или прикрепляют с двух противоположных сторон контейнера. Допускается наносить маркировку по трафарету несмываемой краской на боковую поверхность контейнера в соответствии с ГОСТ 14192-77.

Маркировку транспортной тары с продуктом, предназначенным для экспорта, проводят в соответствии с заказом-нарядом внешнеторгового объединения и ГОСТ 14192-77.

5.3. бихромат калия, отправляемый в районы Крайнего Севера и труднодоступные районы, упаковывают и транспортируют в соответствии с ГОСТ 15846-79*.
______________
* На территории Российской Федерации действует ГОСТ 15846-2002. - Примечание изготовителя базы данных.

5.4. бихромат калия транспортируют транспортом всех видов (кроме воздушного) в крытых транспортных средствах в соответствии с правилами перевозки грузов, действующими на транспорте данных видов. По железной дороге упакованную продукцию транспортируют повагонными отправками.

Специализированные контейнеры транспортируют открытым подвижным составом в прямом железнодорожном сообщении.

Упакованный в барабаны и мешки продукт транспортируют пакетами в соответствии с ГОСТ 26663-85. Средства скрепления пакетов - по ГОСТ 21650-76. Масса и габаритные размеры пакета должны соответствовать требованиям ГОСТ 24597-81. Несущие средства пакетирования - плоские поддоны по ГОСТ 9557-87, специализированные поддоны, подкладки, стяжки, обвязки.

5.5. бихромат калия хранят в закрытых складских помещениях в упаковке изготовителя. Контейнеры хранят на незагрязненных открытых площадках, имеющих твердое покрытие со стоком вод и обеспечивающих работу грузовых механизмов.

Срок хранения продукта не ограничен.

5.1-5.5. (Измененная редакция, Изм. N 3).




официальное издание
М.: Издательство стандартов, 1992