Новости Нефтегазовая пром.
Выставки Наука и технология


Калий уксуснокислый. Реактивы ГОСТ 5820-78

Калий уксуснокислый. Реактивы. Технические условия (с Изменением N 1) ГОСТ 5820-78


ГОСТ 5820-78

Группа Л52 

     
ГОСУДАРСТВЕННЫЙ СТАНДАРТ СОЮЗА ССР

Реактивы 

КАЛИЙ УКСУСНОКИСЛЫЙ

Технические условия

Reagents. Potassium acetate. Specifications



ОКП 26 3421 0690 08

Дата введения 1979-07-01

     
     
ИНФОРМАЦИОННЫЕ ДАННЫЕ

1. РАЗРАБОТАН И ВНЕСЕН Министерством химической промышленности СССР 

РАЗРАБОТЧИКИ

В.Н.Смородинская, К.П.Лесина, Л.В.Кидиярова, Г.В.Федотова 

2. УТВЕРЖДЕН И ВВЕДЕН В ДЕЙСТВИЕ Постановлением Государственного комитета стандартов Совета Министров СССР от 16.05.78 N 1307

3. ВЗАМЕН ГОСТ 5820-68

4. ССЫЛОЧНЫЕ НОРМАТИВНО-ТЕХНИЧЕСКИЕ ДОКУМЕНТЫ

Обозначение НТД, на который дана ссылка

Номер пункта

ГОСТ 1770-74

3.3.1; 3.4.1; 3.9.1; 3.13.1

ГОСТ 3118-77

3.4.1; 3.8

ГОСТ 3760-79

3.8

ГОСТ 3885-73-->ГОСТ 3885-73

2.1; 3.1; 4.1

ГОСТ 4204-77

3.13.1

ГОСТ 4212-76

3.9.1

ГОСТ 4328-77

3.4.1

ГОСТ 4517-87

3.4.1

ГОСТ 4919.1-77

3.4.1; 3.5; 3.6

ГОСТ 5457-75

3.9.1

ГОСТ 6709-72-->ГОСТ 6709-72

3.3.1; 3.5; 3.9.1; 3.13.1

ГОСТ 10485-75

3.11

ГОСТ 10555-75

3.8

ГОСТ 10671.4-74

3.15

ГОСТ 10671.5-74

3.5

ГОСТ 10671.6-74

3.6

ГОСТ 10671.7-74

3.7 

ГОСТ 14870-77

3.1.4

ГОСТ 17319-76

3.12

ГОСТ 17444-76

3.2

ГОСТ 18300-87

3.4.1

ГОСТ 20292-74

3.2; 3.4.1; 3.9.1; 3.13.1

ГОСТ 20490-75

3.13.1

ГОСТ 22001-87

3.10

ГОСТ 24104-88*

3.1а

ГОСТ 25336-82

3.3.1; 3.4.1; 3.8; 3.9.1; 3.12; 3.13; 3.15

ГОСТ 25794.1-83

3.4.1

ГОСТ 25794.2-83

3.13.1

ГОСТ 27025-86

3.1а

________________
* На территории Российской Федерации действует ГОСТ 24104-2001. Здесь и далее по тексту. - Примечание изготовителя базы данных.

5. Ограничение срока действия снято по решению Межгосударственного совета по стандартизации, метрологии и сертификации (протокол 3-93 от 17.02.93)

6. ПЕРЕИЗДАНИЕ (апрель 1993 г.) с Изменением N 1, утвержденным в ноябре 1987 г. (ИУС 2-88)

Настоящий стандарт распространяется на уксуснокислый калий, который представляет собой бесцветные кристаллы, в массе - белого цвета, расплывающиеся на воздухе; растворим в воде, спирте, нерастворим в эфире.

Формула CH3CO2K

Молекулярная масса (по международным атомным массам 1971 г.) - 98,13.

Показатели технического уровня, установленные настоящим стандартом, предусмотрены для высшей категории качества.

(Измененная редакция, Изм. N 1).

1. ТЕХНИЧЕСКИЕ ТРЕБОВАНИЯ

1.1. Уксуснокислый калий должен быть изготовлен в соответствии с требованиями настоящего стандарта по технологическому регламенту, утвержденному в установленном порядке.

1.2. По физико-химическим показателям уксуснокислый калий должен соответствовать требованиям и значениям, указанным в табл.1.

Таблица 1

Наименование показателя

Значение

Высшая категория качества

Высшая категория качества

Чистый для анализа (ч.д.а.)
ОКП 26 3421 0692 06

Чистый (ч.)
ОКП 26 3421 0691 07

1. Массовая доля уксуснокислого калия (CH3CO2K) в высушенном препарате, %, не менее

99,5

99,0

2. Массовая доля нерастворимых в воде веществ, %, не более

0,005

0,010

3. Массовая доля кислот (в пересчете на уксусную кислоту (CH3COON)), %, не более

0,1

0,2

4. Массовая доля щелочи (в пересчете на гидроокись калия (KОН)), %, не более 

0,01

0,05

5. Массовая доля сульфатов (SO4), %, не более

0,002

0,005

6. Массовая доля фосфатов (PO4), %, не более

0,001

0,005

7. Массовая доля хлоридов (Сl), %, не более

0,001

0,005

8. Массовая доля железа (Fe), %, не более

0,0005

0,0010

9. Массовая доля кальция (Ca), %, не более

0,002

0,005

10. Массовая доля магния (Mg), %, не более

0,001

0,002

11. Массовая доля мышьяка (As), %, не более

0,0001

Не нормируется

12. Массовая доля тяжелых металлов (Pb), %, не более

0,0005

0.0010

13. Вещества, восстанавливающие марганцовокислый калий (KMnO4)

Должен выдерживать испытание по п.3.13

14. Массовая доля потерь при высушивании, %, не более

5

7


Примечание. В препарате, применяемом в производстве кремнеорганических полимеров, дополнительно нормируется массовая доля общего азота (N) не более 0,005%.

(Измененная редакция, Изм. N 1).

2. ПРАВИЛА ПРИЕМКИ

2.1. Правила приемки - по ГОСТ 3885-73-->ГОСТ 3885-73.

3. МЕТОДЫ АНАЛИЗА

3.1а. Общие указания по проведению анализа - по ГОСТ 27025-86.

При взвешивании используют лабораторные весы по ГОСТ 24104-88 2-го класса точности с наибольшим пределом взвешивания 200 г и 3-го класса точности с наибольшими пределами взвешивания 500 г и 1 кг.

Допускается применение импортной аппаратуры по классу точности и реактивов по качеству не ниже отечественных.

(Введен дополнительно, Изм. N 1).

3.1. Пробы отбирают по ГОСТ 3885-73-->ГОСТ 3885-73. Масса средней пробы должна быть не менее 515 г.

3.2. Определение массовой доли уксуснокислого калия

Определение проводят по ГОСТ 17444-76. 0,2500 г препарата, предварительно высушенного в соответствии с п.3.14, растворяют в 25 см3 уксусной кислоты и прибавляют пипеткой (ГОСТ 20292-74) 1 см3 уксусного ангидрида. Далее определение проводят по ГОСТ 17444-76 визуальным или потенциометрическим титрованием в неводной среде.

Масса уксуснокислого калия, соответствующая 1 см3 уксуснокислого раствора хлорной кислоты концентрации точно 0,1 моль/дм3 равна 0,009813 г.

При разногласиях в оценке массовой доли уксуснокислого калия определение проводят потенциометрическим титрованием.

3.1; 3.2. (Измененная редакция, Изм. N 1).

3.3. Определение массовой доли нерастворимых в воде веществ

3.3.1. Реактивы и посуда 

Вода дистиллированная по ГОСТ 6709-72-->ГОСТ 6709-72

Стакан В(Н)=1-250 ТХС по ГОСТ 25336-82. 

Тигель фильтрующий ТФ ПОР16 или ПОР10 по ГОСТ 25336-82.

Цилиндр 1-250 по ГОСТ 1770-74.

3.3.2. Проведение анализа

20,00 г препарата помещают в стакан и растворяют в 150 см3 воды. Стакан накрывают часовым стеклом и выдерживают раствор в течение 1 ч на водяной бане. Затем раствор фильтруют через тигель, предварительно высушенный до постоянной массы и взвешенный (результат взвешивания в граммах записывают с точностью до четвертого десятичного знака). Остаток на фильтре промывают 150 см3 горячей воды и сушат в сушильном шкафу при 105-110 °С до постоянной массы.

Препарат считают соответствующим требованиям настоящего стандарта, если масса остатка после высушивания не будет превышать:

для препарата чистый для анализа - 1 мг,

для препарата чистый - 2 мг.

3.4. Определение массовых долей кислот или щелочи

3 4.1. Аппаратура, реактивы и растворы.

Бюретка 6-2-2 по ГОСТ 20292-74.

Колба Кн-2-100-22 ТХС по ГОСТ 25336-82.

Цилиндр 1(2)-50 по ГОСТ 1770-74.

Вода дистиллированная, не содержащая CO2; готовят по ГОСТ 4517-87.

кислота соляная по ГОСТ 3118-77, раствор концентрации c(НСl)=0,01 моль/дм3 (0,01 н.); готовят по ГОСТ 25794.1-83.

Натрия гидроокись по ГОСТ 4328-77, раствор концентрации c(NaOH)=0,1 моль/дм3 (0,1 н.); готовят по ГОСТ 25794.1-83.

Фенолфталеин (индикатор), спиртовой раствор с массовой долей 1%; готовят по ГОСТ 4919.1-77.

Спирт этиловый ректификованный технический по ГОСТ 18300-87 высшего сорта.

3.4.2. Проведение анализа

5,00 г препарата помещают в коническую колбу, растворяют в 50 см3 воды и прибавляют 3 капли раствора фенолфталеина. Если при этом раствор остается бесцветным, то прибавляют по каплям из бюретки раствор гидроокиси натрия до появления розовой окраски. Если же раствор окрашен в розовый цвет, то прибавляют по каплям из бюретки раствор соляной кислоты до исчезновения розовой окраски.

3.4.3. Обработка результатов

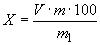
Массовую долю кислот (CH3COOH) или щелочи (KОН) (X) в процентах вычисляют по формуле где V - объем раствора соляной кислоты концентрации точно 0,01 моль/дм3 или раствора гидроокиси натрия концентрации точно 0,1 моль/дм, израсходованный на титрование, см3;
m - масса CH3COOH (0,006) или KОН (0,00056), соответствующая 1 см3 раствора соляной кислоты концентрации точно 0,01 моль/дм3 или раствора гидроокиси натрия концентрации точно 0,1 моль/дм3, г;

m1 - масса навески препарата, г.

За результат анализа принимают среднее арифметическое результатов двух параллельных определений, относительное значение расхождения между которыми не превышает значения допускаемого расхождения, равного 20%, при доверительной вероятности P=0,95.

3.5. Определение массовой доли сульфатов

Определение проводят по ГОСТ 10671.5-74. При этом 2,00 г препарата помещают в коническую колбу вместимостью 50 см3 или колориметрический стаканчик и растворяют в 20 см3 воды по ГОСТ 6709-72-->ГОСТ 6709-72. К раствору прибавляют 0,1 см3 раствора a-динитрофенола (готовят по ГОСТ 4919.1-77) и по каплям, при постоянном перемешивании, раствор соляной кислоты до обесцвечивания раствора. Объем раствора доводят водой до 25 см3. Далее определение проводят фототурбидиметрическим методом или визуально-нефелометрическим (способ 1) методом.

Препарат считают соответствующим требованиям настоящего стандарта, если масса сульфатов не будет превышать:

для препарата чистый для анализа - 0,04 мг,

для препарата чистый - 0,10 мг.

При разногласиях в оценке массовой доли сульфатов определение проводят фототурбидиметрическим методом.

3.6. Определение массовой доли фосфатов 

Определение проводят по ГОСТ 10671.6-74. При этом 2,00 г препарата помещают в коническую колбу вместимостью 50 см3 и растворяют в 10 см3 воды. К раствору прибавляют 1-2 капли раствора a-динитрофенола (готовят по ГОСТ 4919.1-77) и по каплям, при перемешивании, раствор азотной кислоты до обесцвечивания раствора. Полученный раствор выпаривают досуха. Осадок растворяют в 15 см3 горячей воды, охлаждают и далее определение проводят по желтой окраске фосфорно-ванадиевомолибденового комплекса.

Препарат считают соответствующим требованиям настоящего стандарта, если масса фосфатов не будет превышать:

для препарата чистый для анализа - 0,02 мг, 

для препарата чистый - 0,10 мг. 

Допускается заканчивать определение визуально. 

При разногласиях в оценке массовой доли фосфатов определение заканчивают фотометрически.

3.7. Определение массовой доли хлоридов 

Определение проводят по ГОСТ 10671.7-74. При этом 2,00 г препарата квалификации "чистый для анализа" и 1,00 г препарата квалификации "чистый" помещают в коническую колбу вместимостью 100 см3 (с метками на 42 см3 или 50 см3), растворяют в 35 см3 воды, прибавляют 4 см3 раствора азотной кислоты с массовой долей 25% и нагревают до кипения. Раствор охлаждают и, если раствор мутный, его фильтруют через обеззоленный фильтр "синяя лента", предварительно промытый горячим раствором азотной кислоты с массовой долей 1%. Объем раствора доводят водой до метки и далее определение проводят фототурбидиметрическим (в объеме 50 см3) или визуально-нефелометрическим методом (в объеме 42 см3), не прибавляя раствор азотной кислоты.

Препарат считают соответствующим требованиям настоящего стандарта, если масса хлоридов не будет превышать:

для препарата чистый для анализа - 0,01 мг, 

для препарата чистый - 0,05 мг.

При разногласиях в оценке массовой доли хлоридов определение проводят фототурбидиметрическим методом.

3.8. Определение массовой доли железа 

Определение проводят по ГОСТ 10555-75. При этом 2,00 г препарата помещают в стакан вместимостью 100 см3 (ГОСТ 25336-82) и растворяют в 15 см3 воды. К раствору прибавляют 4 см3 раствора соляной кислоты с массовой долей 25% (ГОСТ 3118-77) и кипятят 2-3 мин. Раствор охлаждают и нейтрализуют раствором аммиака (ГОСТ 3760-79) по универсальной индикаторной бумаге до pH 3-3,5. Далее определение проводят 2,2'-дипиридиловым или 1,10-фенантролиновым методом с предварительным восстановлением солянокислым гидроксиламином.

Препарат считают соответствующим требованиям настоящего стандарта, если масса железа не будет превышать:

для препарата чистый для анализа - 0,01 мг,

для препарата чистый - 0,02 мг.

Допускается заканчивать определение визуально.

При разногласиях в оценке массовой доли железа определение заканчивают фотометрически.

Одновременно проводят контрольный опыт на содержание железа в применяемом объеме соляной кислоты. При обнаружении примеси железа в результат анализа вносят поправку.

3.3.1-3.8. (Измененная редакция, Изм. N 1).

3.9. Определение массовой доли кальция 

3.9.1. Аппаратура, реактивы и растворы

Фотометр пламенный или спектрофотометр на основе спектрографа ИСП-51 с приставкой ФЭП-1 с соответствующим фотоумножителем или спектрофотометр "Сатурн"; допускается использование других приборов, обеспечивающих аналогичные чувствительность и точность.

Ацетилен растворенный технический по ГОСТ 5457-75.

Воздух сжатый для питания контрольно-измерительных приборов.

Колба 2-100-2 по ГОСТ 1770-74.

Пипетка 4(5)-2-1(2) по ГОСТ 20292-74.

Стакан В(Н)-1-100 по ГОСТ 25336-82.

Цилиндр 1(3)-50(100) по ГОСТ 1770-74.

Вода дистиллированная по ГОСТ 6709-72-->ГОСТ 6709-72, вторично перегнанная в кварцевом дистилляторе, или Вода деминерализованная.

Раствор, содержащий 1 мг/см3 кальция; готовят по ГОСТ 4212-76.

Калий уксуснокислый по ГОСТ 5820-78 с установленной начальной массовой долей кальция по методу добавок.

Все исходные растворы и растворы сравнения, а также воду, применяемую для их приготовления, хранят в полиэтиленовой или кварцевой посуде.

3.9.2. Подготовка к анализу

3.9.2.1. Приготовление анализируемого раствора

5,00 г препарата помещают в стакан, растворяют в 30 см3 воды, переносят в мерную колбу, доводят объем раствора водой до метки и тщательно перемешивают.

Таблица 2

Номер раствора сравнения

Объем раствора, см3

Масса кальция в 100 см3 раствора сравнения, мг

Массовая доля кальция 
в пересчете на препарат, %

1

0,1

0,1

0,002

2

0,2

0,2

0,004

3

0,3

0,3

0,006

3.9.2.2. Приготовление растворов сравнения

В три стакана помещают по 5,00 г уксуснокислого калия, не содержащего кальция или с известным его содержанием, растворяют в 30 см3 воды, переносят в три мерные колбы и вводят указанные в табл.2 объемы раствора кальция. Объем каждого раствора доводят водой до метки и тщательно перемешивают.

3.9.3. Проведение анализа

Для анализа берут не менее двух навесок препарата, сравнивают интенсивность излучения резонансных линий кальция - 422,6 нм, возникающих в спектре пламени ацетилен-воздух при введении в него анализируемых растворов и растворов сравнения.

После подготовки прибора к анализу проводят фотометрирование анализируемых растворов и растворов сравнения в порядке возрастания массовой доли кальция. Затем проводят фотометрирование в обратной последовательности, начиная с максимальной массовой доли кальция, учитывая в качестве поправки данные, полученные при фотометрировании воды, и вычисляют среднее арифметическое интенсивности излучения для каждого раствора. После каждого измерения распыляют воду.

3.9.4. Обработка результатов

По полученным данным для растворов сравнения строят градуировочный график, откладывая на оси ординат значения интенсивности излучения, на оси абсцисс - массовую долю кальция в процентах в пересчете на препарат.

Массовую долю кальция в процентах находят по графику.

За результат анализа принимают среднее арифметическое результатов двух параллельных определений, относительное значение расхождения между которыми не превышает значения допускаемого расхождения, равного 20%, при доверительной вероятности P=0,95.

3.10. Определение массовой доли магния

Определение проводят по ГОСТ 22001-87.

3.9.1-3.10. (Измененная редакция, Изм. N 1).

3.10.1; 3.10.2. (Исключены, Изм. N 1).

3.11. Определение массовой доли мышьяка

Определение проводят по ГОСТ 10485-75. При этом 2,00 г препарата помещают в колбу прибора для определения мышьяка и растворяют в 30 см3 воды. Далее определение проводят методом с применением бромно-ртутной бумаги в сернокислой среде.

Препарат считают соответствующим требованиям настоящего стандарта, если наблюдаемая окраска бромно-ртутной бумаги от анализируемого раствора не будет интенсивнее окраски бромно-ртутной бумаги от раствора, приготовленного одновременно с анализируемым и содержащего в таком же объеме:

для препарата чистый для анализа - 0,002 мг, 

20 см3 раствора серной кислоты, 0,5 см3 раствора двухлористого олова и 5 г цинка.

3.12. Определение массовой доли тяжелых металлов

Определение проводят по ГОСТ 17319-76. При этом 4,00 г препарата помещают в колбу вместимостью 100 см3 (ГОСТ 25336-82) с притертой или резиновой пробкой и растворяют в 30 см3 воды. Далее определение проводят сероводородным методом.

Препарат считают соответствующим требованиям настоящего стандарта, если наблюдаемая через 10 мин окраска анализируемого раствора не будет интенсивнее окраски раствора, приготовленного одновременно с анализируемым и содержащего в таком же объеме:

для препарата чистый для анализа - 0,02 мг Pb,

для препарата чистый - 0,04 мг Pb, 

1 см3 уксусной кислоты, 1 см3 раствора уксуснокислого аммония и 10 см3 сероводородной воды.

3.11; 3.12. (Измененная редакция, Изм. N 1).

3.13. Определение веществ, восстанавливающих марганцовокислый калий 

3.13.1. Аппаратура, реактивы и растворы

Колба Кн-2-100-22 ТХС по ГОСТ 25336-82.

Пипетка 4(5)-2-1 по ГОСТ 20292-74.

Цилиндр 1-25(50) по ГОСТ 1770-74.

Вода дистиллированная по ГОСТ 6709-72-->ГОСТ 6709-72

Калий марганцовокислый по ГОСТ 20490-75, раствор концентрации c(1/5KMnO4)=0,1 моль/дм3 (0,1 н.); готовят по ГОСТ 25794.2-83.

Кислота серная по ГОСТ 4204-77, х.ч., раствор с массовой долей 20%.

3.13.2. Проведение анализа

5,00 г препарата помещают в коническую колбу, растворяют в 25 см3 воды, прибавляют 20 см3 раствора серной кислоты и раствор марганцовокислого калия концентрации точно c(1/5KMnO4)=0,1 моль/дм3

для препарата чистый для анализа - 0,3 см,

для препарата чистый - 0,5 см.

Содержимое колбы перемешивают.

Препарат считают соответствующим требованиям настоящего стандарта, если розовая окраска раствора не исчезает в течение 30 мин.

Одновременно с применяемыми объемами воды и серной кислоты проводят контрольный опыт. При обнаружении примеси веществ, восстанавливающих марганцовокислый калий, в результат анализа вносят поправку.

3.14. Определение массовой доли потерь при высушивании

Проводят по ГОСТ 14870-77 из навески 1,5000 г препарата при температуре 150 °С.

3.13.1-3.14. (Измененная редакция, Изм. N 1).

3.14.1-3.14.2. (Исключены, Изм. N 1).

3.15. Определение массовой доли общего азота 

Определение проводят по ГОСТ 10671.4-74. При этом 1,00 г препарата помещают в круглодонную колбу (К-2-250-34 ТХС по ГОСТ 25336-82) прибора для отделения аммиака дистилляцией и растворяют в 45 см3 воды. Далее определение проводят визуально-нефелометрическим методом.

Препарат считают соответствующим требованиям настоящего стандарта, если массовая доля общего азота не будет превышать 0,05 мг.

(Введен дополнительно, Изм. N 1).

4. УПАКОВКА, МАРКИРОВКА, ТРАНСПОРТИРОВАНИЕ И ХРАНЕНИЕ

4.1. Препарат упаковывают и маркируют в соответствии с ГОСТ 3885-73-->ГОСТ 3885-73.

Вид и тип тары: 2-1, 2-2, 2-4, 2-9. 

Группа фасовки: III, IV, V. 

(Измененная редакция, Изм. N 1).

4.2. Препарат транспортируют всеми видами транспорта в соответствии с правилами перевозки грузов, действующими на данном виде транспорта. 

4.3. Препарат хранят в упаковке изготовителя в крытых складских помещениях.

5. ГАРАНТИИ ИЗГОТОВИТЕЛЯ

5.1. Изготовитель гарантирует соответствие препарата требованиям настоящего стандарта при соблюдении условий транспортирования и хранения.

5.2. Гарантийный срок хранения препарата - один год со дня изготовления.

5.1; 5.2. (Измененная редакция, Изм. N 1).

6. ТРЕБОВАНИЯ БЕЗОПАСНОСТИ

6.1. Уксуснокислый калий действует раздражающе на кожу и слизистые оболочки глаз и дыхательных путей. При попадании препарата или его растворов на кожу и слизистые его необходимо смыть обильной струей воды.

6.2. При работе с препаратом необходимо применять индивидуальные средства защиты (респираторы, резиновые перчатки, защитные очки), а также соблюдать правила личной гигиены.

6.3. Помещения, в которых проводятся работы с препаратом, должны быть оборудованы общей приточно-вытяжной механической вентиляцией. Анализ препарата следует проводить в вытяжном шкафу лаборатории.




официальное издание
М.: Издательство стандартов, 1993