Новости Нефтегазовая пром.
Выставки Наука и технология


Калий фосфорнокислый двузамещенный 3-водный. Реактивы ГОСТ 2493-75

калий фосфорнокислый двузамещенный 3-водный. Реактивы. Технические условия (с Изменениями N 1, 2) ГОСТ 2493-75


ГОСТ 2493-75

Группа Л51

МЕЖГОСУДАРСТВЕННЫЙ СТАНДАРТ

Реактивы

калий фосфорнокислый ДВУЗАМЕЩЕННЫЙ 3-ВОДНЫЙ

Технические условия

Reagents. Potassium phosphate, dibasic 3-aqueous. Specifications



ОКП 26 2113 1280 10

Дата введения 1976-07-01


Постановлением Государственного комитета стандартов Совета Министров СССР от 16 мая 1975 г. N 1325 дата введения установлена 01.07.76

Ограничение срока действия снято по протоколу N 5-94 Межгосударственного Совета по стандартизации, метрологии и сертификации (ИУС 11-12-94)

ВЗАМЕН ГОСТ 2493-65

ИЗДАНИЕ (декабрь 2002 г.) с Изменениями N 1, 2 утвержденными в феврале 1981 г., июле 1985 г. (ИУС 4-81, 11-85)


Настоящий стандарт распространяется на 3-водный двузамещенный фосфорнокислый калий, представляющий собой кристаллический порошок или кристаллы белого цвета; хорошо растворим в воде; сильно гигроскопичен.

Формула: K2HPO4·3H2O

Молекулярная масса (по международным атомным массам 1971 г.) - 228,20.

(Измененная редакция, Изм. N 1).

1. ТЕХНИЧЕСКИЕ ТРЕБОВАНИЯ

1.1a. 3-водный двузамещенный фосфорнокислый калий должен быть изготовлен в соответствии с требованиями настоящего стандарта по технологическому регламенту, утвержденному в установленном порядке.

(Измененная редакция, Изм. N 1).

1.1. По физико-химическим показателям 3-водный двузамещенный фосфорнокислый калий должен соответствовать требованиям и нормам, указанным в табл.1.


Таблица 1

Наименование показателя

Норма



Чистый для анализа 
(ч.д.а.) ОКП 26 2113 
1282 08

Чистый (ч.) 
ОКП 26 2113 
1281 09

1. Массовая доля 3-водного двузамещенного фосфорнокислого калия (K2HPO4·3H2O), %, не менее 

99


98


2. Массовая доля нерастворимых в воде веществ, %, не более 

0,005

0,01

3. Массовая доля азота (N) - из нитратов, нитритов и др., %, не более 

0,001

0,002

4. Массовая доля сульфатов (SO4), %, не более 

0,005

0,01

5. Массовая доля хлоридов (Сl), %, не более 

0,001

0,002

6. Массовая доля железа (Fe), %, не более 

0,0005

0,002

7. Массовая доля тяжелых металлов (Pb), %, не более 

0,0005

0,0005

8. Массовая доля мышьяка (As), не более 

0,00005

0,0001

9. Массовая доля натрия (Na), %, не более 

0,1

0,1

10. pH 5%-ного раствора препарата 

8,9-9,3

8,9-9,3


(Измененная редакция, Изм. N 1, 2).

2а. ТРЕБОВАНИЯ БЕЗОПАСНОСТИ

2а.1. 3-водный двузамещенный фосфорнокислый калий вызывает раздражение слизистых оболочек и кожных покровов.

2а.2. При работе с препаратом следует применять индивидуальные средства защиты, а также соблюдать правила личной гигиены.

2а.3. Помещения, в которых проводят работы с препаратом, должны быть оборудованы общей приточно-вытяжной механической вентиляцией. Анализ препарата в лаборатории следует проводить в вытяжном шкафу.

Разд.2а. (Введен дополнительно, Изм. N 2).

2. ПРАВИЛА ПРИЕМКИ

2.1. Правила приемки - по ГОСТ 3885-73-->ГОСТ 3885-73.

2.2. Определение массовой доли примесей общего азота и тяжелых металлов предприятие-изготовитель проводит по требованию потребителя.

(Измененная редакция, Изм. N 2).

3. МЕТОДЫ АНАЛИЗА

3.1а. Общие указания по проведению анализа - по НТД. 

(Введен дополнительно, Изм. N 1).

3.1. Пробы отбирают по ГОСТ 3885-73-->ГОСТ 3885-73. Масса средней пробы не должна быть менее 280 г.

3.2. Определение массовой доли 3-водного двузамещенного фосфорнокислого калия

3.2.1. Реактивы, растворы, приборы и посуда

Вода дистиллированная по ГОСТ 6709-72-->ГОСТ 6709-72.

кислота соляная по ГОСТ 3118-77, раствор концентрации c(НСI)=1 моль/дм3 (1 н.); готовят по ГОСТ 25794.1-83.

Иономер универсальный ЭВ-74 или другого типа с пределом допускаемой основной погрешности ±0,05 pH.

Мешалка магнитная.

Электроды - стеклянный и хлорсеребряный (или насыщенный каломельный).

Стакан Н-2-100 по ГОСТ 25336-82.

3.2.2. Проведение анализа

Около 5,0000 г препарата помещают в стакан, растворяют в 50 см3 воды и титруют, при перемешивании раствора магнитной мешалкой, раствором соляной кислоты до значения pH 4,4, используя в качестве измерительного электрода - стеклянный, в качестве электрода сравнения - хлорсеребряный (или каломельный).

Допускается индикация эквивалентной точки по метиловому оранжевому.

3.2.3. Обработка результатов

Массовую долю 3-водного двузамещенного фосфорнокислого калия (X) в процентах вычисляют по формуле где V - объем раствора соляной кислоты концентрации точно 1 моль/дм3, израсходованный на титрование, см3
0,2282 - масса 3-водного двузамещенного фосфорнокислого калия, соответствующая 1 см3 раствора соляной кислоты концентрации точно 1 моль/дм3, г; 

m - масса навески препарата, г.

За результат анализа принимают среднеарифметическое результатов двух параллельных определений, допускаемые расхождения между которыми при доверительной вероятности P=0,95 не должны превышать 0,3%.

3.3. Определение массовой доли нерастворимых в воде веществ

3.3.1. Реактивы и посуда

Вода дистиллированная по ГОСТ 6709-72-->ГОСТ 6709-72.

Тигель фильтрующий ТФ ПОР10 или ТФ ПОР16 по ГОСТ 25336-82.

3.3.2. Проведение анализа

20,00 г препарата помещают в стакан вместимостью 200 см3, растворяют при нагревании в 100 см3 воды. Стакан накрывают часовым стеклом и выдерживают на кипящей водяной бане в течение 1 ч. Затем раствор фильтруют через фильтрующий тигель, предварительно высушенный до постоянной массы и взвешенный с точностью до четвертого десятичного знака. Остаток на фильтре промывают 100 см3 горячей воды и сушат в сушильном шкафу при 105-110 °С до постоянной массы.

Препарат считают соответствующим требованиям настоящего стандарта, если масса остатка после высушивания не будет превышать:

для препарата чистый для анализа - 1 мг,

для препарата чистый - 2 мг.

3.1-3.3.2. (Измененная редакция, Изм. N 2).

3.4. Определение массовой доли азота из нитратов, нитритов и др.

Определение проводят по ГОСТ 10671.4-74.

При этом 1,00 г препарата помещают в круглодонную колбу вместимостью 250 см3, растворяют в 45 см3 воды и далее определение проводят фотометрическим (в объеме 50 см3) или визуально-колориметрическим методом.

Препарат считают соответствующим требованиям настоящего стандарта, если масса азота не будет превышать:

для препарата чистый для анализа - 0,01 мг,

для препарата чистый - 0,02 мг.

При разногласиях в оценке массовой доли общего азота анализ проводят фотометрическим методом.

3.5. Определение массовой доли сульфатов

3.5.1. Реактивы и растворы

барий хлористый по ГОСТ 4108-72, 20%-ный раствор, профильтрованный через плотный беззольный фильтр.

Вода дистиллированная по ГОСТ 6709-72-->ГОСТ 6709-72.

кислота соляная по ГОСТ 3118-77, 10%-ный раствор.

Крахмал растворимый по ГОСТ 10163-76, 1%-ный раствор, свежеприготовленный и профильтрованный через плотный беззольный фильтр.

Раствор, содержащий SO4; готовят по ГОСТ 4212-76.

3.5.2. Проведение анализа

0,50 г препарата помещают в колбу вместимостью 100 см3, растворяют в 50 см3 воды и прибавляют при перемешивании 4 см3 раствора соляной кислоты, 6 см3 раствора крахмала и 6 см3 раствора хлористого бария.

Препарат считают соответствующим требованиям настоящего стандарта, если наблюдаемая через 30 мин на темном фоне опалесценция анализируемого раствора не будет интенсивнее опалесценции раствора, приготовленного одновременно с анализируемым и содержащего в таком же объеме:

для препарата чистый для анализа - 0,025 мг SO4

для препарата чистый - 0,05 мг SO4,

2 см3 раствора соляной кислоты, 6 см3 раствора крахмала и 6 см3 раствора хлористого бария.

3.6. Определение массовой доли хлоридов

Определение проводят по ГОСТ 10671.7-74.

При этом 1,00 г препарата помещают в коническую колбу вместимостью 100 см3, растворяют в 30 см3 воды и далее определение проводят фототурбидиметрическим (в объеме 50 см3) или визуально-нефелометрическим методом. Если после прибавления раствора азотной кислоты раствор мутный, его фильтруют через плотный беззольный фильтр, промытый 1%-ным горячим раствором азотной кислоты.

Препарат считают соответствующим требованиям настоящего стандарта, если масса хлоридов не будет превышать:

для препарата чистый для анализа - 0,01 мг,

для препарата чистый - 0,02 мг.

При разногласиях в оценке массовой доли хлоридов анализ проводят фототурбидиметрическим методом.

3.7. Определение массовой доли железа

Определение проводят по ГОСТ 10555-75.

При этом 1,00 г препарата помещают в коническую колбу вместимостью 100 см3 (с меткой на 50 см3), растворяют в 20 см3 воды, прибавляют 1 см3 раствора соляной кислоты, нагревают до кипения и кипятят в течение 1-2 мин. Раствор охлаждают и далее определение проводят фотометрически сульфосалициловым методом.

Препарат считают соответствующим требованиям настоящего стандарта, если масса железа не будет превышать:

для препарата чистый для анализа - 0,005 мг,

для препарата чистый - 0,02 мг.

Допускается заканчивать определение визуально.

При разногласиях в оценке массовой доли железа анализ заканчивают фотометрически.

3.8. Определение массовой доли тяжелых металлов

Определение проводят по ГОСТ 17319-76 сероводородным методом. При этом 4,00 г препарата растворяют в 30 см3 воды и далее определение проводят по ГОСТ 17319-76, прибавляя 5 смуксусной кислоты (вместо 1 см3) и не прибавляя раствор уксуснокислого аммония.

Препарат считают соответствующим требованиям настоящего стандарта, если наблюдаемая окраска анализируемого раствора не будет интенсивнее окраски раствора, приготовленного одновременно с анализируемым и содержащего в таком же объеме:

для препарата чистый для анализа - 0,02 мг Pb,

для препарата чистый - 0,02 мг Pb, 

5 см3 уксусной кислоты и 10 см3 сероводородной воды.

3.9. Определение массовой доли мышьяка

Определение проводят по ГОСТ 10485-75 методом с применением бромнортутной бумаги в сернокислой среде из навески 1,00 г.

Препарат считают соответствующим требованиям настоящего стандарта, если наблюдаемая окраска бромнортутной бумаги от анализируемого раствора не будет интенсивнее окраски бромнортутной бумаги от раствора, приготовленного одновременно с анализируемым и содержащего в таком же объеме:

для препарата чистый для анализа - 0,0005 мг As,

для препарата чистый - 0,001 мг As, 

20 см3 раствора серной кислоты, 0,5 см3 раствора двухлористого олова и 5 г цинка.

3.4-3.9. (Измененная редакция, Изм. N 1, 2).

3.10. Определение массовой доли натрия

3.10.1. Приборы, оборудование, реактивы и растворы

Фотометр пламенный или спектрофотометр на основе спектрографа ИСП-51 (или универсального монохроматора) с фотоэлектрической приставкой ФЭП-1.

Фотоумножители типа ФЭУ-38 или другого типа, чувствительные в видимой области спектра. 

Ацетилен растворенный технический по ГОСТ 5457-75.

Воздух сжатый для питания контрольно-измерительных приборов.

Пропан-бутан.

Горелка.

Распылитель.

Вода дистиллированная по ГОСТ 6709-72-->ГОСТ 6709-72, вторично перегнанная в кварцевом дистилляторе, или Вода деминерализованная.

Раствор, содержащий Na; готовят по ГОСТ 4212-76; соответствующим разбавлением готовят раствор, содержащий 0,1 мг/см3 натрия - раствор А.

Все исходные растворы и растворы сравнения, а также воду, применяемую для их приготовления, необходимо хранить в полиэтиленовой или кварцевой посуде.

При работе с горючими газами следует строго руководствоваться инструкцией по технике безопасности.

3.10.2. Приготовление анализируемых растворов

0,50 г препарата помещают в мерную колбу вместимостью 100 см3, растворяют в воде, перемешивают, доводят объем раствора водой до метки и снова перемешивают.

3.10.3. Приготовление раствора сравнения

В три мерные колбы вместимостью 100 см3 каждая помещают по 20 см3 воды и объемы раствора А, указанные в табл.2, затем растворы перемешивают, доводят объем раствора водой до метки и снова перемешивают.

Таблица 2

Номер раствора сравнения

Объем раствора А, см3

Концентрация Na 
в растворе сравнения, мг/100 см3

Массовая доля Na 
в препарате, %

1

2,5

0,25

0,05

2

5

0,5

0,1

3

10

1

0,2

3.10.4. Проведение анализа

Для анализа берут не менее двух навесок препарата.

Сравнивают интенсивность излучения резонансных линий Na-589,0-589,6 нм, возникающих в спектре пламени газ-воздух при введении в него анализируемых растворов и растворов сравнения. После подготовки прибора в соответствии с прилагаемой к нему инструкцией по эксплуатации проводят фотометрирование воды, применяемой для приготовления раствора, а также анализируемых растворов и растворов сравнения, в порядке возрастания массовой доли примеси натрия. Затем проводят фотометрирование в обратной последовательности, начиная с максимальной массовой доли примеси, и вычисляют среднеарифметическое значение интенсивности излучения для каждого раствора.

После каждого измерения распыляют воду.

3.10.5. Обработка результатов

По полученным данным для растворов сравнения строят градуировочный график, откладывая значения интенсивности излучения на оси ординат, массовую долю примеси натрия, в пересчете на препарат, - на оси абсцисс.

Массовую долю натрия в препарате находят по графику.

За результат анализа принимают среднеарифметическое результатов двух параллельных определений, допускаемые расхождения между которыми при доверительной вероятности P=0,95 не должны превышать 10% относительно вычисляемой концентрации.

Массовую долю натрия можно также определять по методу ограничивающих растворов.

В данном случае проводят фотометрирование попеременно двух растворов сравнения и анализируемого раствора.

Концентрация определяемого элемента в одном из растворов сравнения должна быть меньше концентрации его в анализируемом растворе, а в другом - больше.

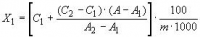
Массовую долю натрия (X1) в процентах вычисляют по формуле где C1 и C2 - концентрация натрия в двух растворах сравнения, мг/100 см3 (C2>C1);

A - показание гальванометра для анализируемого раствора; 

A1 и A2 - показания гальванометра для двух растворов сравнения; 

m - масса навески препарата, г.

Препарат считают соответствующим требованиям настоящего стандарта, если массовая доля натрия не будет превышать допускаемой нормы.

3.11. Определение pH 5%-ного раствора препарата

5,00 г препарата помещают в коническую колбу вместимостью 250 см3, растворяют в 95 смдистиллированной воды, не содержащей углекислоты (готовят по ГОСТ 4517-87), и измеряют pH раствора на pH-метре со стеклянным электродом.

3.10-3.11. (Измененная редакция, Изм. N 2).

4. УПАКОВКА, МАРКИРОВКА, ТРАНСПОРТИРОВАНИЕ И ХРАНЕНИЕ

4.1. Препарат упаковывают и маркируют в соответствии с ГОСТ 3885-73-->ГОСТ 3885-73

Вид упаковки: 2-1; 2-2; 2-4; 2-9.

Группа фасовки: III, IV, V. 

(Измененная редакция, Изм. N 1).

4.2. Препарат перевозят всеми видами транспорта в соответствии с правилами перевозки грузов, действующими на данном виде транспорта.

4.3. Препарат хранят в упаковке изготовителя в крытых складских помещениях.

5. ГАРАНТИИ ИЗГОТОВИТЕЛЯ

5.1. Изготовитель гарантирует соответствие 3-водного двузамещенного фосфорнокислого калия требованиям настоящего стандарта при соблюдении условий транспортирования и хранения.

5.2. Гарантийный срок хранения препарата - один год со дня изготовления. 

5.1, 5.2. (Измененная редакция, Изм. N 2).

Разд.6. (Исключен, Изм. N 2).




официальное издание
М.: ИПК Издательство стандартов, 2003