Новости Нефтегазовая пром.
Выставки Наука и технология


Этилсиликат-40 ГОСТ 26371-84

Этилсиликат-40. Технические условия (с Изменениями N 1, 2) ГОСТ 26371-84


ГОСТ 26371-84

Группа Л93

     
     
ГОСУДАРСТВЕННЫЙ СТАНДАРТ СОЮЗА ССР

     
     
ЭТИЛСИЛИКАТ-40

     
Технические условия

     
Ethyl silicate-40. Specifications



ОКП 24 3574

Срок действия с 01.01.86
до 01.01.96*
_______________________________
* Ограничение срока действия снято
по протоколу N 5-94 Межгосударственного Совета
по стандартизации, метрологии и сертификации
(ИУС N 11/12, 1994 год).

     
ИНФОРМАЦИОННЫЕ ДАННЫЕ

1. РАЗРАБОТАН И ВНЕСЕН Министерством химической промышленности СССР

РАЗРАБОТЧИКИ

А.Н.Поливанов, А.И.Демченко, Е.П.Белов, Г.И.Панфиленок, М.М.Зубова, В.Д.Фулаева

2. УТВЕРЖДЕН И ВВЕДЕН В ДЕЙСТВИЕ Постановлением Государственного комитета СССР по стандартам от 19 декабря 1984 г. N 4658

3. ВЗАМЕН ГОСТ 5.1174-71

4. ССЫЛОЧНЫЕ НОРМАТИВНО-ТЕХНИЧЕСКИЕ ДОКУМЕНТЫ

Обозначение НТД, на который дана ссылка

Номер пункта, подпункта

ГОСТ 12.1.007-76

2.1

ГОСТ 427-75

4.4.1

ГОСТ 1277-75

4.3.1

ГОСТ 1770-74

4.5.1

ГОСТ 3118-77

4.5.1

ГОСТ 3900-85

1.2

ГОСТ 4139-75

4.3.1

ГОСТ 4461-77

4.3.1

ГОСТ 6247-79

5.1

ГОСТ 6709-72-->ГОСТ 6709-72

4.3.1

ГОСТ 9147-80

4.4.1

ГОСТ 9293-74

4.4.1

ГОСТ 9980.1-86

3.1

ГОСТ 9980.2-86

4.1

ГОСТ 9980.3-86

5.1

ГОСТ 9980.4-86

5.2

ГОСТ 9980.5-86

5.5

ГОСТ 10674-82

5.1

ГОСТ 13032-77

4.4.1

ГОСТ 13950-91

5.1

ГОСТ 14192-77

5.2

ГОСТ 17366-80

5.1

ГОСТ 18300-87

4.1а.2; 4.4.1; 4.5.1

ГОСТ 19266-79

1.2

ГОСТ 19433-88

5.2

ГОСТ 20292-74

4.3.1; 4.5.1

ГОСТ 20841.7-75

4.4.2

ГОСТ 21650-76

5.4

ГОСТ 24597-81

5.4

ГОСТ 25336-82

4.3.1; 4.4.1; 4.5.1

ГОСТ 27067-86

4.3.1

5. Срок действия продлен до 01.01.96 Постановлением Госстандарта от 18.08.89 N 2591

6. Переиздание (январь 1994 г.) с Изменениями N 1, 2, утвержденными в марте 1988 г., августе 1989 г. (ИУС 6-88, 12-89)

Настоящий стандарт распространяется на этилсиликат-40, представляющий собой прозрачную жидкость со слабым запахом тетраэтоксисилана (эфира), гидролизующуюся в присутствии воды.

Этилсиликат-40 предназначен для применения в литейном производстве в качестве исходного материала для получения связующего при изготовлении форм.

Температура замерзания этилсиликата-40 ниже минус 60 °С, кинематическая вязкость при 20 °С 3,5-6,0 сСт.

(Измененная редакция, Изм. N 1).

1. ТЕХНИЧЕСКИЕ ТРЕБОВАНИЯ

1.1. Этилсиликат-40 должен быть изготовлен в соответствии с требованиями настоящего стандарта по технологическому регламенту, утвержденному в установленном порядке.

1.2. По физико-химическим показателям этилсиликат-40 должен соответствовать нормам, указанным в табл.1.

Таблица 1

Наименование показателя

Норма

Метод испытания

высший сорт

первый сорт

ОКП
24 3574 0320

ОКП
24 3574 0330

1. Оптическая плотность при длине волны не более:

400 нм

0,5

1,4

По п.4.1а

670 нм

0,1

0,3

"

2. (Исключен, Изм. N 2)

3. Массовая доля двуокиси кремния, %

40-42

38-42

По ГОСТ 20841.2-75 и по п.4.2 настоящего стандарта

4. Плотность при 20 °С, г/см

1,05-1,07

1,04-1,07

По ГОСТ 3900-85, ареометром

5. Массовая доля хлористого водорода, %, не более

0,05

0,10

По п.4.3

6. Массовая доля этилового спирта, %, не более

1,5

1,5

По п.4.4

7. Массовая доля тетраэтоксисилана, %

10-15

10-15

По п.4.4

8. Продолжительность гелеобразования, мин

180-280

180-280

По п.4.5


Примечания:

1. (Исключен, Изм. N 2).

2. Таблица пересчета массовой доли этоксильных групп в зависимости от массовой доли двуокиси кремния приведена в справочном приложении к стандарту.

3. В продукте первого сорта допускаются незначительные механические примеси.

(Измененная редакция, Изм. N 1, 2).

2. ТРЕБОВАНИЯ БЕЗОПАСНОСТИ

2.1. Этилсиликат-40 относится к малоопасным веществам (4-й класс опасности по ГОСТ 12.1.007-76). Предельно допустимая концентрация в воздухе рабочей зоны принята по тетраэтоксисилану (эфир ортокремниевой кислоты) и равна 20 мг/м3.

Длительное воздействие продукта при концентрациях, превышающих ПДК, приводит к местному раздражающему действию на слизистые оболочки глаз и дыхательных путей.

2.2. Этилсиликат-40 относится к легковоспламеняющимся, горючим и взрывоопасным жидкостям. Температурные пределы воспламенения паров в воздухе:

нижний - 35 °С;

верхний - 100 °С.

Взрывоопасные концентрации в смеси с воздухом 0,7-23% (по объему).

Температура вспышки в открытом тигле - 83°С;

в закрытом тигле - 38 °С.

Температура самовоспламенения - 240 °С.

2.3. Все работы с этилсиликатом-40 следует проводить в помещениях с приточно-вытяжной вентиляцией, работающей механически, в защитных очках, в спецодежде и резиновых перчатках, вдали от электронагревательных приборов.

В аварийных случаях следует применять противогазы марки БКФ.

2.4. Средства пожаротушения - кошма, углекислые огнетушители, песок, Вода.

3. ПРАВИЛА ПРИЕМКИ

3.1. Правила приемки - по ГОСТ 9980.1-86.

(Измененная редакция, Изм. N 1).

3.2. Для проверки качества продукта отбирают 10% упаковочных единиц продукции, но не менее трех единиц при партиях 30 и менее упаковочных единиц.

3.3. (Исключен, Изм. N 1).

4. МЕТОДЫ ИСПЫТАНИЙ

4.1. Отбор проб - по ГОСТ 9980.2-86 после тщательного перемешивания продукта. Точечные пробы из бочек отбирают трубкой, опуская ее до дна тары, затем верхнее отверстие трубки закрывают пальцем и извлекают ее из продукта. Объем средней пробы должен быть не менее 500 см3.

(Измененная редакция, Изм. N 1).

4.1а. Определение оптической плотности

4.1а.1. Метод основан на фотоколориметрическом измерении светового потока, прошедшего через испытуемый образец, по сравнению со световым потоком, прошедшим через кювету заполненную воздухом.

Оптическая плотность этилспликата-40, измеренная при длине волны 400 нм, характеризует цветность продукта, при длине волны 670 нм - его опалесценцию.

4.1а.2. Аппаратура и реактивы

Колориметр фотоэлектрический концентрационный КФК-2 с набором кювет или другие приборы подобного типа, обеспечивающие такую же точность измерения.

Спирт этиловый ректификованный технический по ГОСТ 18300-87.

4.1а.3. Подготовка к проведению испытания

Настройку фотоколориметра и работу на нем проводят согласно инструкции, прилагаемой к прибору. Перед началом измерений кюветы промывают, полностью заполняя их этиловым спиртом. После каждого определения рабочую кювету трижды промывают, наполняя ее этиловым спиртом.

4.1а.4. Проведение испытания

Кювету с длиной оптического слоя 10 мм наполняют до метки испытуемым продуктом, помещают ее в кюветное отделение прибора и измеряют оптическую плотность по отношению к пустой кювете. Затем кювету освобождают от этилсиликата-40, промывают и сушат.

Если оптическая плотность больше 1,3, следует провести повторное измерение в кювете с длиной оптического слоя 5 мм и полученное значение умножить на 2.

4.1a.5. Обработка результатов

За результат анализа принимают среднее арифметическое результатов двух параллельных определений, допускаемое расхождение между которыми (d) при доверительной вероятности P=0,95 не должно превышать значений, указанных в табл.2. 

Суммарная погрешность результата анализа () при доверительной вероятности P=0,95 указана в табл.2.

Таблица 2

Наименование показателя

d

Высший сорт

1-й сорт

Высший сорт

1-й сорт

Оптическая плотность при длине волны:

470 нм

0,032

0,14

±0,02

±0,09

670 нм

0,013

0,036

±0,008

±0,02

4.1a-4.1а.5. (Введены дополнительно, Изм. N 2).

4.2. Массовую долю двуокиси кремния определяют по ГОСТ 20841.2-75, при этом в колбу, прокаленную до постоянной массы, приливают 1 см3 соляной кислоты или олеума и туда же из капельницы по разности масс вносят 0,2000-0,3000 г испытуемого продукта.

При применении олеума колбу с продуктом и кислотой выдерживают при комнатной температуре 20 мин для выделения геля кремниевой кислоты, затем олеум удаляют выпариванием, добавляют в колбу 4-5 капель олеума, упаривают досуха и помещают в муфельную печь.

Одновременно в тех же условиях и с теми же количествами реактивов проводят контрольный опыт.

Допускается применение лабораторной посуды по классу точности и реактивов по качеству не ниже предусмотренных настоящим стандартом, а также использование платиновых тиглей и чашек.

(Измененная редакция, Изм. N 2).

4.3. Определение массовой доли хлористого водорода

4.3.1а. Допускается применение лабораторной посуды по классу точности не ниже предусмотренного настоящим стандартом.

(Введен дополнительно, Изм. N 1).

4.3.1. Реактивы, растворы и посуда

Серебро азотнокислое по ГОСТ 1277-75, раствор концентрации c(AgNO3)=0,1 моль/дм(0,1 н.).

Калий роданистый по ГОСТ 4139-75, раствор концентрации c(KCNS)=0,1 моль/дм3 (0,1 н.) или аммоний роданистый по ГОСТ 27067-86, раствор концентрации c(NH4CNS)=0,1 моль/дм(0,1 н.).

Квасцы железоаммонийные по нормативно-технической документации, насыщенный раствор.

Кислота азотная по ГОСТ 4461-77, х.ч., разбавленная 1:1 (по объему).

Вода дистиллированная по ГОСТ 6709-72-->ГОСТ 6709-72.

Колба Кн-2-100-18 ТХС по ГОСТ 25336-82.

Бюретка 1-2-10-0,05 по ГОСТ 20292-74.

(Измененная редакция, Изм. N 1).

4.3.2. Проведение испытания

В коническую колбу из бюретки вливают 5 см3 раствора азотнокислого серебра, затем туда же вносят 4,5000-5,0000 г испытуемого продукта, добавляют 10-20 см3 дистиллированной воды, подкисляют 1-2 см3 азотной кислоты и избыток азотнокислого серебра оттитровывают раствором роданистого калия или роданистого аммония в присутствии железоаммонийных квасцов до получения устойчивой светло-оранжевой окраски, не исчезающей в течение 2 мин.

4.3.3. Обработка результатов

Массовую долю хлористого водорода (X) в процентах вычисляют по формуле где V  - объем раствора азотнокислого серебра концентрации точно 0,1 моль/дм3 (0,1 н.), см3;

V1 - объем раствора роданистого калия или роданистого аммония концентрации точно 0,1 моль/дм3 (0,1 н.), израсходованный на титрование, см3;

0,003646 - масса хлористого водорода, соответствующая 1 см3 раствора роданистого калия или роданистого аммония концентрации точно 0,1 моль/дм3 (0,1 н.), г;

m - масса навески испытуемого продукта, г.

За результат испытания принимают среднее арифметическое двух параллельных определений, допускаемое расхождение между которыми не должно превышать ±3%, при доверительной вероятности P=0,95.

4.4. Определение массовой доли этилового спирта и тетраэтоксисилана

4.4.1. Аппаратура, материалы и реактивы

Хроматограф типа ЛХМ-8МД или любого другого с детектором по теплопроводности, имеющим порог чувствительности по пропану 1·10-3% (объемные доли) с программированным нагревом термостата колонок.

Колонки хроматографические длиной 3 м и внутренним диаметром 3 мм.

Электронагреватель с закрытой спиралью.

Линейка измерительная, металлическая по ГОСТ 427-75.

Микрошприц МШ-10 или газохром 101, вместимостью 1 мм3.

Секундомер по ГОСТ 5072-79.

Чашка выпарительная 6 по ГОСТ 9147-80.

Стакан В-1-150 ТС по ГОСТ 25336-82.

Колонки осушительные длиной 30 см и диаметром 5 см.

Магний хлористый безводный (Ангидрон).

Фаза неподвижная: силиконовый эластомер Е-301; силиконовый каучук СКТ или СКТФТ-50х, 100х; кремнийорганическая жидкость ПМС-1000 по ГОСТ 13032-77; готовый сорбент для хроматографии 5% Е-30 на хроматоне N-AW частицами размером 0,25-0,315 мм.

Носители твердые силанизированные НМДS или ДМСS-хроматон N-AW, цветохром 1к, 2к, 3к с частицами размером 0,25-0,315 мм.

Газ-носитель: азот газообразный технический по ГОСТ 9293-74 или гелий технический (в баллонах).

Спирт этиловый ректификованный технический по ГОСТ 18300-87, абсолютированный, хроматографической чистоты.

Тетраэтоксисилан, хроматографической чистоты.

4.4.2. Подготовка к испытанию

Подготовку и заполнение хроматографических колонок производят по ГОСТ 20841.7-75. Сорбенты готовят нанесением на твердые носители любой из неподвижных фаз из расчета 10% от массы готового сорбента.

Режим градуировки и работы прибора

Температура термостата колонки, °С

начальная

140

конечная

280

Температура испарителя, °С

275

Температура детектора, °С

280

Скорость газа-носителя (на выходе из колонки), см3/мин

45

Объем вводимой пробы, мм3

1

Скорость нагрева колонок после выхода тетраэтоксисилана, °/мин

12


Ток моста детектора устанавливают в соответствии с инструкцией, прилагаемой к прибору, в зависимости от используемого газа-носителя. Скорость газа-носителя также может меняться в зависимости от используемого прибора и подбирается экспериментально.

Градуировочный коэффициент для тетраэтоксисилана и этилового спирта определяют по трем искусственным смесям, которые состоят из 0,15 г этилового спирта, около 1 г тетраэтоксисилана и около 1 г метаксилола. Все взвешивания производят с точностью до 4-го десятичного знака. Каждую смесь хроматографируют три раза.

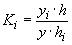
Градуировочный коэффициент (Ki) для тетраэтоксисилана и этилового спирта вычисляют по формуле где yi - массовая доля определяемого компонента, %;

- высота пика метаксилола (внутренний эталон), см;

y - массовая доля метаксилола, %;

hi - высота пика определяемого компонента, см.

За градуировочный коэффициент принимают среднее арифметическое девяти определений, допускаемое расхождение между минимальным и максимальным значением которых не должно превышать 0,1 для тетраэтоксисилана и 0,05 для этилового спирта.

4.4.3. Проведение испытания

Включение и вывод хроматографа на рабочий режим производят в соответствии с инструкцией, прилагаемой к прибору.

1,7 см3 этилсиликата-40 взвешивают с точностью до 4-го десятичного знака, туда же добавляют 0,20 см3 метаксилола и снова взвешивают. Полученную смесь тщательно перемешивают и вводят пробу в хроматографическую колонку.

После выхода тяжелых компонентов (8-10 мин) и установления нулевой линии колонку охлаждают до начальной рабочей температуры.

4.4.4. Обработка результатов

Массовую долю каждого компонента вычисляют методом "внутреннего эталона" с учетом градуировочных коэффициентов.

Массовую долю этилового спирта или тетраэтоксисилана (X1) в процентах вычисляют по формуле где h - высота пика спирта или тетраэтоксисилана, см;

Ki - градуировочный коэффициент определяемой примеси;

m1 - масса метаксилола, добавленная к испытуемой пробе, г;

m - масса испытуемой пробы, к которой добавляют метаксилол, г;

ni - высота пика метаксилола, см.

За результат анализа принимают среднее арифметическое двух параллельных определений, допустимое расхождение между которыми не должно превышать для тетраэтоксисилана ±0,4%, для этилового спирта ±0,1% при доверительной вероятности P=0,95.

4.4.1-4.4.3. (Измененная редакция, Изм. N 1).

4.5. Определение продолжительности гелеобразования

4.5.1. Аппаратура, материалы, реактивы

Термостат с температурой (20±0,5) °С.

Цилиндр 1-10 по ГОСТ 1770-74.

Пробирки П1-21-200 ХС или П2-21-200 ХС по ГОСТ 25336-82.

Пипетка 4-1-2 или пипетка 5-1-2 по ГОСТ 20292-74.

кислота соляная по ГОСТ 3118-77, х.ч., 10%-ный раствор.

Спирт этиловый ректификованный технический по ГОСТ 18300-87 или спирт этиловый абсолютированный.

(Измененная редакция, Изм. N 1).

4.5.2. Проведение испытания

10 см3 испытуемого продукта помещают в пробирку, добавляют 2 см3 спирта и 4 см3 соляной кислоты.

Пробирку закрывают притертой или корковой пробкой, энергично встряхивают до получения однородной смеси, помещают пробирку в термостат и выдерживают при (20±0,5) °С до образования геля. Встряхивание проводят в течение 1 мин вручную (до 80 встряхиваний).

За полное гелеобразование считают момент, когда мениск массы перестает смещаться.

За результат испытания принимают среднее арифметическое двух параллельных определений, допускаемое расхождение между которыми не должно превышать ±20 мин при доверительной вероятности P=0,95.

(Измененная редакция, Изм. N 2).

5. УПАКОВКА, МАРКИРОВКА, ТРАНСПОРТИРОВАНИЕ И ХРАНЕНИЕ

5.1. Упаковку этилсиликата-40 производят по ГОСТ 9980.3-86 в стальные бочки по ГОСТ 6247-79, типа I, вместимостью 100, 200 дм3, ГОСТ 13950-91, типа I сварные, вместимостью 100, 200 дм3, ГОСТ 17366-80 типа II, вместимостью 110, 275 дм3.

(Измененная редакция, Изм. N 1, 2).

5.2. Маркировка потребительской тары - по ГОСТ 9980.4-86*. Транспортная маркировка - по ГОСТ 14192-77*.

________________
* Действует ГОСТ 9980.4-2002. 
** Действует ГОСТ 14192-96.


На таре указывают знак опасности, соответствующий классу 9, подклассу 9.1, классификационный шифр 9133 и символ опасности - "черный восклицательный знак" по ГОСТ 19433-88.

(Измененная редакция, Изм. N 1).

5.3. Этилсиликат-40 транспортируют в цистернах и мелкими отправками в крытых вагонах железнодорожным и автомобильным транспортом в соответствии с правилами перевозки грузов, действующими на данном виде транспорта.

Степень заполнения цистерн и бочек вычисляют с учетом полного использования их вместимости (грузоподъемности), а также объемного расширения продукта при возможном перепаде температур в пути следования.

5.4. Бочки с продуктом подлежат объединению в транспортные пакеты в соответствии с ГОСТ 26663-85, размер пакета по ГОСТ 24597-81, с использованием средств скрепления по ГОСТ 21650-76.

5.3, 5.4. (Измененная редакция, Изм. N 2).

5.5. Этилсиликат-40 хранят по ГОСТ 9980.5-86.

(Измененная редакция, Изм. N 1).

6. ГАРАНТИИ ИЗГОТОВИТЕЛЯ

6.1. Изготовитель гарантирует соответствие этилсиликата-40 требованиям настоящего стандарта при соблюдении условий транспортирования и хранения.

6.2. Гарантийный срок хранения продукта в таре изготовителя - 1 год со дня изготовления.

ПРИЛОЖЕНИЕ (справочное). Таблица пересчета массовой доли этоксильных групп в зависимости от массовой доли двуокиси кремния

ПРИЛОЖЕНИЕ
Справочное

Массовая доля двуокиси кремния, %

Массовая доля этоксильных групп, %

38,0

75,33

39,0

74,20

39,5

73,67

40,0

73,10

40,5

72,48

41,0

71,83

41,5

71,20

42,0

70,55




официальное издание
М.: Издательство стандартов, 1994