Новости Нефтегазовая пром.
Выставки Наука и технология


Фосфор красный технический ГОСТ 8655-75

Фосфор красный технический. Технические условия (с Изменениями N 1, 2, 3, 4) ГОСТ 8655-75


ГОСТ 8655-75

Группа Л11

     
     
 МЕЖГОСУДАРСТВЕННЫЙ СТАНДАРТ

 ФОСФОР КРАСНЫЙ ТЕХНИЧЕСКИЙ 

Технические условия

 Red phosphorus for industrial use. Specifications



ОКП 21 1242

Дата введения 1977-01-01

     
     
ИНФОРМАЦИОННЫЕ ДАННЫЕ

1. РАЗРАБОТАН И ВНЕСЕН Министерством химической промышленности 

РАЗРАБОТЧИКИ

Л.П.Шляпинтох, В.Н.Ковалев, И.Б.Мойжес, Н.А.Смирнова, Ф.Я.Лившиц, Г.Д.Иванова

2. УТВЕРЖДЕН И ВВЕДЕН В ДЕЙСТВИЕ Постановлением Государственного комитета стандартов Совета Министров СССР от 28.10.75 N 2711

3. ВЗАМЕН ГОСТ 8655-57 И ГОСТ 5.1355-72

4. ССЫЛОЧНЫЕ НОРМАТИВНО-ТЕХНИЧЕСКИЕ ДОКУМЕНТЫ

Обозначение НТД, на который дана ссылка

Номер пункта

ГОСТ 12.1.005-88

1а.8

ГОСТ 12.1.007-76

1а.1

ГОСТ 12.4.021-75

1а.8

ГОСТ 12.4.103-83

1а.4

ГОСТ 12.4.121-83

1а.5

ГОСТ 1277-75

3.5.1

ГОСТ 1770-74

3.2.2

ГОСТ 3118-77

3.6.1

ГОСТ 3760-79

3.5.1, 3.6.1

ГОСТ 3765-78

3.6.1

ГОСТ 4109-79

3.7.1

ГОСТ 4198-75

3.6.1

ГОСТ 4204-77

3.6.1

ГОСТ 4461-77

3.6.1, 3.7.1

ГОСТ 5044-79

4.1

ГОСТ 5631-79

4.3

ГОСТ 5955-75

3.5.1

ГОСТ 6709-72-->ГОСТ 6709-72

3.5.1, 3.6.1, 3.7.1

ГОСТ 8986-82

3.5.1

ГОСТ 9147-80

3.7.1

ГОСТ 9336-75

3.6.1

ГОСТ 9338-80

4.5

ГОСТ 9557-87

4.10

ГОСТ 14192-96

4.6, 4.7, 4.8

ГОСТ 18300-87

3.5.1

ГОСТ 18477-79

4.10

ГОСТ 18573-86

4.5

ГОСТ 19433-88

4.6, 4.7

ГОСТ 19908-90

3.7.1

ГОСТ 21650-76

4.10

ГОСТ 24104-88

3.2.1

ГОСТ 24597-81

4.10

ГОСТ 25336-82

3.2.2

ГОСТ 26319-84

4.2

ГОСТ 29227-91

3.2.2

ГОСТ 29251-91

3.2.2

5. Ограничение срока действия снято по протоколу N 7-95 Межгосударственного Совета по стандартизации, метрологии и сертификации (ИУС 11-95)

6. ПЕРЕИЗДАНИЕ (октябрь 1998 г.) с Изменениями N 1, 2, 3, 4, утвержденными в июле 1977 г., феврале 1981 г., феврале 1986 г., декабре 1990 г. (ИУС 8-77, 5-81, 5-86, 5-91)


Настоящий стандарт распространяется на технический красный фосфор, получаемый полимеризацией технического желтого фосфора.

Технический красный фосфор предназначается для производства спичек, других промышленных целей и для экспорта.

Требования настоящего стандарта являются обязательными.

Формула (P)n

Плотность 2,0-2,4 г/см3.

Атомная масса (по международным атомным массам 1971 г.) - 30,9738.

Температура сублимации составляет 416 °C при нормальных условиях.

(Измененная редакция, Изм. N 3, 4).

1. ТЕХНИЧЕСКИЕ ТРЕБОВАНИЯ

1.1. По физико-химическим показателям красный фосфор должен соответствовать нормам, указанным в таблице.

Наименование показателя

Норма

1-й сорт 
ОКП 21 1242 0130

2-й сорт 
ОКП 21 1242 0140

1. Внешний вид

Тонкоразмолотый порошок от малиново-красного до коричневого или до темно-фиолетового цвета (с металлическим блеском)

2. Массовая доля красного фосфора, %, не менее

99,3

98,8

3. Массовая доля желтого фосфора, %, не более

0,005

0,010

4. Кислотность в пересчете на H3PO4, %, не более

0,5

0,8

5. Массовая доля нерастворимого остатка в азотной кислоте, насыщенной бромом, %, не более

0,08

0,2



(Измененная редакция, Изм. N 2, 3, 4). 

1а. ТРЕБОВАНИЯ БЕЗОПАСНОСТИ

1а.1. красный фосфор токсичен из-за наличия в нем примеси желтого фосфора, пожароопасен. Легко воспламеняется от трения, ударов. При температуре 210-240 °C красный фосфор может самовоспламеняться и самовозгораться при контакте с окислителями. Класс опасности 1 по ГОСТ 12.1.007, предельно допустимая концентрация паров желтого фосфора в воздухе рабочей зоны производственных помещений - 0,03 мг/м3.

1а.2. красный фосфор поступает в организм через дыхательные пути, вызывает общетоксическое действие на организм, выражающееся головокружением, ослаблением сердечной деятельности, изменением деятельности центральной нервной системы, желудочно-кишечного тракта и органов дыхания.

1а.3. При работе с красным фосфором необходимо руководствоваться правилами безопасности при производстве фосфора и его неорганических соединений, утвержденными Госгортехнадзором СССР.

1а.4. Работающие с красным фосфором должны быть обеспечены средствами индивидуальной защиты в соответствии с ГОСТ 12.4.103.

1а.5. Для защиты органов дыхания должны применяться фильтрующие противогазы марки Е и БКФ в соответствии с ГОСТ 12.4.121. В цехе должны быть установлены аварийные ванны с водой.

1а.1-1а.5. (Введены дополнительно, Изм. N 3).

1а.6. Крышки стальных барабанов с красным фосфором необходимо открывать специальным инструментом, не допуская ударов и проколов металла. Допускается вскрытие стальных барабанов с красным фосфором путем вырезания крышки в специальном боксе в среде азота. Пересыпание красного фосфора из стальных барабанов и его переработка должны производиться в токе азота или другого инертного газа или мокрым способом под водой. При погрузке (разгрузке) барабанов или ящиков с красным фосфором в вагон, контейнер или другие виды транспорта барабаны или ящики не бросать.

Тара из-под красного фосфора должна быть промыта водой, затем подвергнута обжигу.

(Измененная редакция, Изм. N 3, 4).

1а.7. Содержание фосфора в воздухе рабочей зоны производственных помещений определяется фотоколориметрическим методом.

1а.8. Производственные помещения, в которых проводятся работы с красным фосфором, должны быть оснащены приточно-вытяжной вентиляцией по ГОСТ 12.4.021, обеспечивающей состояние воздуха рабочей зоны в соответствии с требованиями ГОСТ 12.1.005.

1а.9. При рассыпании красного фосфора его смачивают водой и собирают в термостойкий стакан с водой. Затем в стакан приливают азотную кислоту из расчета 1:1. После растворения фосфора раствор нейтрализуют.

1а.10. В случае воспламенения продукта очаг пожара следует тушить навесной струей с обильным количеством воды, не допуская его разбрызгивания.

1а.7-1а.10. (Введены дополнительно, Изм. N 3).

2. ПРАВИЛА ПРИЕМКИ

2.1. красный фосфор предъявляют к приемке партиями. Партией считают продукт, однородный по своим качественным показателям, сопровождаемый одним документом о качестве, в количестве не более 25 т.

Документ о качестве должен содержать:

наименование предприятия-изготовителя и его товарный знак;

наименование продукта, сорт; 

массу брутто и нетто;

результаты проведенных анализов;

обозначение настоящего стандарта.

(Измененная редакция, Изм. N 3).

2.2. Для контроля качества отбирают 3% упаковочных единиц. Допускается изготовителю отбирать пробы при расфасовке продукта.

(Измененная редакция, Изм. N 4).

2.3. При получении неудовлетворительных результатов анализа хотя бы по одному из показателей проводят повторный анализ на удвоенном количестве упаковочных единиц, взятых от той же партии. Результаты повторного анализа распространяются на всю партию. 

(Измененная редакция, Изм. N 2).

3. МЕТОДЫ АНАЛИЗА

3.1. Точечные пробы красного фосфора отбирают при помощи сухого и чистого алюминиевого или деревянного щупа, представляющего собой полую трубку внутренним диаметром 15-20 мм, погружаемую на всю глубину продукта в барабан, банку по вертикальной оси. Масса точечной пробы не должна быть менее 0,1 кг. Отобранные пробы соединяют вместе, тщательно перемешивают, отбирают среднюю пробу общей массой не менее 0,25 кг, помещают в сухую плотно закрывающуюся банку.

На банку наклеивают этикетку с обозначением наименования предприятия-изготовителя, наименования продукта, номера партии, даты отбора проб, надписи "Воспламеняется", "Не бросать".

(Измененная редакция, Изм. N 2, 3).

3.2. Для анализа продукта навеску отбирают непосредственно из банки, при этом содержимое банки, не высыпая, тщательно перемешивают.

3.2.1. Для взятия навесок при проведении анализов используют лабораторные весы общего назначения 2-го класса точности по ГОСТ 24104* с наибольшим пределом взвешивания 200 г. Допускается применение других весов с аналогичными техническими и метрологическими характеристиками.
______________
* На территории Российской Федерации действует ГОСТ 24104-2001. - Примечание изготовителя базы данных.

3.2.2. При проведении анализов используют химическую посуду не ниже 2-го класса точности: 

бюретки, пипетки по ГОСТ 29251, ГОСТ 29227;

колбы мерные, мензурки, цилиндры мерные по ГОСТ 1770; 

пробирки по ГОСТ 25336; 

эксикаторы по ГОСТ 25336.

Допускается использовать лабораторную посуду, не уступающую по точности указанной в соответствующих стандартах.

3.2.1, 3.2.2. (Введены дополнительно, Изм. N 3).

3.2.3. Результат анализа должен быть округлен и выражен с той степенью точности, с которой задана норма.

(Измененная редакция, Изм. N 4).

3.3. Внешний вид определяют визуально

3.4. Определение массовой доли красного фосфора 

Массовую долю красного фосфора (X) в процентах вычисляют по формуле где X1 - массовая доля желтого фосфора, %; 

     X2- кислотность, %;

     X3- массовая доля нерастворимого остатка в азотной кислоте, насыщенной бромом, %; 

     0,2 - условная массовая доля влаги и железа, %.

3.5. Определение массовой доли желтого фосфора 

3.5.1. Реактивы, растворы и аппаратура 

Бензол по ГОСТ 5955, ч.д.а.;

спирт этиловый ректификованный технический по ГОСТ 18300;

Серебро азотнокислое по ГОСТ 1277;

Вода дистиллированная по ГОСТ 6709;

аммиак водный по ГОСТ 3760, 25%-ный раствор; реагент для фотоколориметрического определения, готовят следующим образом: 2,5 г азотнокислого серебра растворяют в 70 см3 этилового спирта, добавляют 10 см3 раствора водного аммиака и 20 см3 воды;

фосфор желтый технический по ГОСТ 8986; раствор А готовят следующим образом: 20 см3 бензола вносят в мерную колбу с притертой пробкой вместимостью 50 см3 и взвешивают. Результат взвешивания в граммах записывают с точностью до четвертого десятичного знака.

0,025 г желтого фосфора берут пинцетом, обмывают в спирте, быстро сушат фильтровальной бумагой и помещают в мерную колбу, снова взвешивают. По разности двух взвешиваний вычисляют навеску желтого фосфора. Объем раствора в колбе доводят бензолом до метки, перемешивают и вычисляют массовую долю желтого фосфора в 1 см3 раствора. Через сутки после полного растворения желтого фосфора используют раствор А для приготовления раствора Б.

Раствор Б готовят разбавлением бензолом аликвотной части раствора А. 1 см3 раствора Б содержит 0,01 мг желтого фосфора в 1 см3.

Калориметр* фотоэлектрический концентрационный типа КФК-2 по нормативно-технической документации или прибор другого типа с аналогичными метрологическими характеристиками;
________________
* Текст соответствует оригиналу. - Примечание изготовителя базы данных.

фильтровальная бумага.

(Измененная редакция, Изм. N 2, 3, 4).

3.5.2. Построение градуировочного графика

Для построения градуировочного графика готовят серию образцовых растворов: в мерные колбы вместимостью 50 см3 вносят по 30 см3 бензола. Затем последовательно вносят пипеткой 0; 0,2; 0,5; 0,7; 1,0 см3 раствора Б, что соответствует 0; 0,002; 0,005; 0,007; 0,010 мг фосфора, а также по 5 см3 этилового спирта. Растворы перемешивают, вносят по 2 капли раствора азотнокислого серебра, доводят объемы растворов до метки бензолом и снова перемешивают.

Через 5 мин измеряют оптические плотности образцовых растворов, используя в качестве раствора сравнения образцовый раствор, не содержащий фосфор. Измерение проводят в кюветах с толщиной поглощающего свет слоя раствора 50 мм, пользуясь светофильтром с длиной волны (400±5) нм.

По полученным данным значений оптических плотностей строят градуировочный график, откладывая на оси абсцисс массу фосфора в образцовых растворах в миллиграммах, а на оси ординат - соответствующие им значения оптических плотностей.

3.5.3. Проведение анализа

10 г красного фосфора взвешивают. Результат взвешивания в граммах записывают с точностью до второго десятичного знака. Навеску помещают в сухую коническую колбу вместимостью 100 см3 с притертой пробкой, прибавляют 30 см3 бензола, закрывают колбу пробкой, перемешивают содержимое колбы так, чтобы навеска была смочена бензолом, и оставляют в покое в течение 16-18 ч или перемешивают непрерывно в течение 30 мин.

Полученный раствор декантируют через сухой бумажный фильтр в сухую мерную колбу вместимостью 50 см3.

Осадок в колбе промывают бензолом, декантацией три раза небольшими порциями (по 5 см3), доводят объем раствора до метки бензолом и перемешивают содержимое колбы. 1-2 см3 полученного раствора вносят пипеткой в сухую мерную колбу с притертой пробкой вместимостью 50 см3, в которую предварительно наливают около 30 см3 бензола, затем вносят 5 см3 этилового спирта, раствор перемешивают, добавляют 2 капли раствора азотнокислого серебра, доводят объем раствора до метки бензолом и перемешивают.

Через 5 мин раствор фотоколориметрируют по п.3.5.2.

3.5.4. Обработка результатов

Массовую долю желтого фосфора (X1) в процентах вычисляют по формуле где m1 - масса желтого фосфора, найденная по градуировочному графику, мг;
       - аликвотная часть бензольного раствора, взятая на фотоколориметрирование, см3;

       - масса навески красного фосфора, г.

За результат анализа принимают среднее арифметическое двух параллельных определений, допустимые расхождения между которыми не должны превышать 0,001% при доверительной вероятности P=0,95.

3.5.2-3.5.4. (Измененная редакция, Изм. N 3, 4).

3.6. Определение кислотности в пересчете на H3PO4

3.6.1. Реактивы, растворы и аппаратура:

кислота азотная по ГОСТ 4461 плотностью 1,36 г/см3, освобожденная от окислов азота путем кипячения в течение 15 мин и разбавленная 1:3;

кислота соляная по ГОСТ 3118, ч.д.а., 1%-ный раствор;

кислота серная по ГОСТ 4204 плотностью 1,835 г/см3;

калий фосфорнокислый однозамещенный по ГОСТ 4198, х.ч.;

Вода дистиллированная по ГОСТ 6709;

аммиак водный по ГОСТ 3760;

Аммоний молибденовокислый по ГОСТ 3765; раствор А готовят следующим образом: 50 г молибденовокислого аммония взвешивают, результат взвешивания в граммах записывают с точностью до второго десятичного знака; навеску растворяют в 500 см3 воды, нагретой до 50-60 °C, охлаждают, фильтруют;

Аммоний ванадиевокислый мета по ГОСТ 9336; раствор Б готовят следующим образом: 1,5 г мета ванадиевокислого аммония взвешивают, результат взвешивания в граммах записывают с точностью до второго десятичного знака; навеску растворяют в 250 см3 воды, нагревают до 50-60 °C (если раствор желтеет, необходимо добавить несколько капель аммиака); раствор охлаждают, фильтруют и прибавляют 250 см3 азотной кислоты 1:3;

молибден-ванадиевый реактив; готовят следующим образом: раствор А наливают при помешивании в раствор Б, после чего добавляют к раствору 90 см3 азотной кислоты плотностью 1,36 г/см3 и перемешивают;

полученный молибден-ванадиевый реактив устойчив в течение длительного времени.

Раствор, содержащий 0,25 мг P2O5 в 1 см3; готовят следующим образом: 0,4794 г однозамещенного фосфорнокислого калия, высушенного над серной кислотой, помещают в мерную колбу вместимостью 1 дм3, растворяют в воде, доводят объем раствора водой до метки и перемешивают (раствор 1).

Калориметр* фотоэлектрический концентрационный типа КФК-2 по нормативно-технической документации или прибор другого типа с аналогичными метрологическими характеристиками;
________________
* Текст соответствует оригиналу. - Примечание изготовителя базы данных.

фильтр обеззоленный "синяя лента".

3.6.2. Построение градуировочного графика

Для построения градуировочного графика готовят серию образцовых растворов: в мерные колбы вместимостью 100 см3 помещают 0, 4, 8, 12, 16, 20 см3 раствора 1, что соответствует 0, 1, 2, 3, 4, 5 мг P2O5.

В каждую колбу прибавляют воды приблизительно до 70 см3, 5 см3 азотной кислоты плотностью 1,36 г/см3 и 20 см3 молибден-ванадиевого реактива.

Доводят объем растворов до метки водой, перемешивают и через 30 мин измеряют оптические плотности образцовых растворов, используя в качестве раствора сравнения образцовый раствор, не содержащий P2P5.

Измерение проводят на фотоэлектроколориметре в кюветах с толщиной поглощающего свет слоя раствора 10 мм при длине волны (440±10) нм.

По полученным данным значений оптических плотностей строят градуировочный график, откладывая на оси абсцисс массу P2O5 в образцовых растворах в миллиграммах, на оси ординат - соответствующие им значения оптических плотностей.

3.6.1; 3.6.2. (Измененная редакция, Изм. N 3, 4).

3.6.3. Проведение анализа

10 г продукта взвешивают. Результат взвешивания в граммах записывают с точностью до второго десятичного знака. Навеску помещают в мерную колбу вместимостью 250 см3, наливают в колбу на 2/3 ее объема раствор соляной кислоты, взбалтывают в течение 1 ч или оставляют в покое на 8-12 ч. Затем колбу доливают водой до метки, взбалтывают и фильтруют через плотный фильтр, перенеся на него основную часть осадка. Фильтрат должен быть прозрачным.

5-25 см3 фильтрата в зависимости от массовой доли окисленного фосфора переносят в мерную колбу вместимостью 100 см3, добавляют 5 см3 азотной кислоты плотностью 1,36 г/см3, прибавляют воды приблизительно до 70 см3 и 20 см3 молибден-ванадиевого реактива. Объем раствора доводят водой до метки и перемешивают.

Через 30 мин раствор фотоколориметрируют по п.3.6.2.

(Измененная редакция, Изм. N 1, 3).

3.6.4. Обработка результатов

Кислотность в пересчете на H3PO4 (X2) вычисляют по формуле где m1 - масса P2O5 в аликвотной части фильтрата, найденная по градуировочному графику, мг;
       V - аликвотная часть фильтрата, взятая на фотоколориметрирование, см3;

       m- масса навески продукта, г; 

       1,3808 - коэффициент пересчета пятиокиси фосфора на фосфорную кислоту.

За результат анализа принимают среднее арифметическое двух параллельных определений, допускаемые расхождения между которыми не должны превышать 0,02% при доверительной вероятности P=0,95.

(Измененная редакция, Изм. N 3, 4).

3.7. Определение массовой доли нерастворимого остатка в азотной кислоте, насыщенной бромом

3.7.1. Реактивы и растворы:

кислота азотная по ГОСТ 4461, ч.д.а., насыщенная бромом;

бром по ГОСТ 4109;

Вода дистиллированная по ГОСТ 6709;

фильтр обеззоленный "синяя лента";

бумага индикаторная универсальная для определения pH 1,0-10,0;

тигель фарфоровый по ГОСТ 9147 или чаша кварцевая диаметром 40-60 мм по ГОСТ 19908;

шкаф сушильный электрический круглый типа 2В-151 или другой с аналогичными технологическими и метрологическими характеристиками;

муфельная печь типа СНОЛ 1,6·2,51/11-42 или другая с аналогичными характеристиками.

3.7.2. Проведение анализа

10 г продукта взвешивают. Результат взвешивания в граммах записывают с точностью до второго десятичного знака. Навеску помещают в стакан вместимостью 500 см3 и взбалтывают с 25-30 см3 воды так, чтобы фосфор был смочен водой (во избежание вспышки при добавлении азотной кислоты, насыщенной бромом). В стакан добавляют 3-5 см3 азотной кислоты, насыщенной бромом, следя за тем, чтобы реакция не протекала бурно.

После того, как закончится выделение главной массы пузырьков газа, добавляют еще небольшими порциями азотную кислоту, насыщенную бромом, до полного растворения навески. Полученный раствор разбавляют водой до 200-250 см3, нагревают до кипения, кипятят 5-10 мин и фильтруют через обеззоленный фильтр "синяя лента".

Фильтр с осадком, промытый горячей водой, помещают в фарфоровый тигель, взвешенный с точностью до четвертого десятичного знака, подсушивают на воздухе или в сушильном шкафу при 90-105 °C, осторожно сжигают фильтр и прокаливают в муфельной печи при 700-800 °C до постоянной массы.

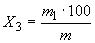
3.7.3. Обработка результатов

Массовую долю нерастворимого остатка в азотной кислоте, насыщенной бромом (X3), в процентах вычисляют по формуле где m - масса навески продукта, г; 
       m1- масса прокаленного остатка, г.

За результат анализа принимают среднее арифметическое двух параллельных определений, допускаемые расхождения между которыми не должны превышать 0,03% при доверительной вероятности P=0,95.

3.7.1-3.7.3. (Измененная редакция, Изм. N 3, 4).

4. УПАКОВКА, МАРКИРОВКА, ТРАНСПОРТИРОВАНИЕ И ХРАНЕНИЕ

4.1. красный фосфор упаковывают в стальные барабаны по ГОСТ 5044 типов I, II, III, исполнений Б1 и Б2, вместимостью 10 и 25 дм3, с толщиной стального листа 0,63-1,0 мм. Размеры барабанов: 305хН165 мм; 226хН266 мм.
(Измененная редакция, Изм. N 3).

4.2. красный фосфор, предназначенный для поставки на экспорт, упаковывают в соответствии с заказом-нарядом внешнеторговых объединений по ГОСТ 26319.

(Измененная редакция, Изм. N 1, 4).

4.3. Для герметичности закатки в шов крышки прокладывают тесьму, пеньковый шнур или другой материал, обеспечивающий герметичность закатки.

Наружную поверхность стального барабана покрывают лаком марки БТ 577 по ГОСТ 5631. Лакируют барабан путем погружения его в лак после загрузки продукта и герметизации барабана.

(Измененная редакция, Изм. N 3).

4.4. Размеры потребительской тары (стальные барабаны) должны быть кратны внутренним размерам транспортной тары (деревянные ящики, фанерные барабаны).

(Измененная редакция, Изм. N 4).

4.5. Стальные барабаны упаковывают в деревянные ящики по ГОСТ 18573 или другой нормативно-технической документации, фанерные барабаны по ГОСТ 9338 или другой нормативно-технической документации.

Стальные барабаны вместимостью 10 дм3, диаметром 305 мм и высотой 165 мм упаковывают в деревянные ящики N 19-1 типа III-I, с предельной массой груза 55 кг, а также в фанерные барабаны N 1, типа 1, исполнения Б, вместимостью 40 дм3. Количество стальных барабанов, укладываемых в фанерные барабаны и деревянные ящики, - 3 шт.
Стальные барабаны вместимостью 10 дм3, диаметром 226 мм и высотой 266 мм упаковывают в фанерные барабаны или деревянные ящики по нормативно-технической документации.

Масса брутто каждого грузового места от 45 до 85 кг в зависимости от применяемой тары.

Стальные барабаны вместимостью 25 дм3 упаковывают в фанерные барабаны по ГОСТ 9338, номер 4-2, тип 1, исполнение Б, вместимость 60 дм3.

(Измененная редакция, Изм. N 3, 4).

4.6. На каждый стальной барабан при помощи трафарета несмываемой краской наносят следующие обозначения:

наименование продукта, его сорт;

номер партии;

массу нетто;

дату изготовления (месяц и год);

знак опасности по ГОСТ 19433 (черт.4а, класс опасности 4, подкласс 4.1, классификационный шифр 4133, серийный номер ООН 1338), манипуляционный знак "Герметичная упаковка" и предупредительная надпись "Не бросать" - в соответствии с ГОСТ 14192.

Допускается на крышку наклеивать ярлыки, содержащие те же обозначения.

(Измененная редакция, Изм. N 1-4).

4.7. Транспортная маркировка - по ГОСТ 14192 с нанесением предупредительной надписи "Не бросать", манипуляционного знака "Герметичная упаковка", знака опасности по ГОСТ 19433(черт.4а, класса опасности 4, подкласса 4.1, классификационного шифра 4133, серийного номера ООН 1338).

Кроме того, наносят следующие дополнительные данные, характеризующие продукт:

наименование предприятия-изготовителя и его товарный знак;

наименование продукта, сорт;

номер партии и дату изготовления;

массу брутто и нетто;

обозначение настоящего стандарта.

4.8. Транспортная маркировка красного фосфора, предназначенного для экспорта, должна соответствовать требованиям ГОСТ 14192, а также заказам-нарядам внешнеторговых организаций.

4.7; 4.8. (Измененная редакция, Изм. N 3, 4).

4.9. (Исключен, Изм. N 3).

4.10. красный фосфор, упакованный в барабаны, транспортируют железнодорожным и автомобильным транспортом в крытых транспортных средствах в соответствии с правилами перевозки грузов, действующими на транспорте данного вида.

Перевозка красного фосфора по железной дороге осуществляется повагонными отправками.

Допускается транспортирование продукта, упакованного в стальные барабаны, повагонными отправками при помощи лотков, изготовленных по нормативно-технической документации до 01.01.93.

Перевозка красного фосфора осуществляется в пакетированном виде на поддонах по ГОСТ 9557. Размеры пакета должны соответствовать ГОСТ 24597. Средства скрепления груза - по ГОСТ 21650.

Погрузка и выгрузка продукта, транспортируемого при помощи лотков, проводится на подъездных путях предприятий изготовителя и потребителя.

Продукт, упакованный в универсальные контейнеры типоразмеров 1С, УУК-5У, УУК-3 по ГОСТ 18477, транспортируют в открытых транспортных средствах.

(Измененная редакция, Изм. N 3, 4).

4.11. красный фосфор хранят в сухих, неотапливаемых закрытых складах из несгораемого материала.

Не допускается хранение красного фосфора с другими горючими материалами.

(Измененная редакция, Изм. N 3).

5. ГАРАНТИИ ИЗГОТОВИТЕЛЯ

5.1. Изготовитель гарантирует соответствие красного фосфора требованиям настоящего стандарта при соблюдении условий хранения.

5.2. Гарантийный срок хранения красного фосфора - 3 года со дня изготовления. 

Разд.5. (Измененная редакция, Изм. N 3).


официальное издание
М.: ИПК Издательство стандартов, 1999