Диметилтерефталат технический ГОСТ 11363-91
Диметилтерефталат технический. Технические условия ГОСТ 11363-91
ГОСТ 11363-91
Группа Л21
ГОСУДАРСТВЕННЫЙ СТАНДАРТ СОЮЗА ССР
ДИМЕТИЛТЕРЕФТАЛАТ ТЕХНИЧЕСКИЙ
Технические условия
Dimethyl-terephthalate for industrial use. Specifications
ОКП 24 7733 0120
Дата введения 1993-01-01
ИНФОРМАЦИОННЫЕ ДАННЫЕ
1. РАЗРАБОТАН И ВНЕСЕН Министерством химической и нефтеперерабатывающей промышленности СССР
РАЗРАБОТЧИКИ
В.Д.Манзуров, канд. техн. наук; А.С.Голубева; Л.С.Ковалев, канд. хим. наук; Н.Н.Никитина
2. УТВЕРЖДЕН И ВВЕДЕН В ДЕЙСТВИЕ Постановлением Комитета стандартизации и метрологии СССР от 28.12.91 N 2269
3. Срок первой проверки - 1996 г.
Периодичность проверки - 5 лет
4. ВЗАМЕН ГОСТ 11363-80
5. ССЫЛОЧНЫЕ НОРМАТИВНО-ТЕХНИЧЕСКИЕ ДОКУМЕНТЫ
|
Обозначение НТД, на который дана ссылка |
Номер пункта, подпункта |
|
ГОСТ 12.1.004-91 |
4.3 |
|
ГОСТ 12.1.005-88 |
1.2.3.2 |
|
ГОСТ 12.1.044-89 |
1.2.3.1 |
|
ГОСТ 12.4.021-75 |
1.2.3.4 |
|
ГОСТ 12.4.121-83 |
1.2.3.5 |
|
ГОСТ 1770-74 |
3.6.1, 3.7.1, 3.8.1, 3.12.1, 3.13.1 |
|
ГОСТ 2226-88 |
1.4 |
|
3.12.1 |
|
|
3.8.1 |
|
|
ГОСТ 4212-76 |
3.8.2 |
|
3.12.1 |
|
|
3.7.1, 3.8.1, 3.12.1 |
|
|
ГОСТ 7328-82 |
3.1 |
|
ГОСТ 9147-80 |
3.10.1 |
|
3.15.1 |
|
|
ГОСТ 9557-87 |
4.1 |
|
ГОСТ 9933-75 |
3.10.1 |
|
3.13.1 |
|
|
ГОСТ 10555-75 |
3.8.2, 3.8.З |
|
ГОСТ 13646-68 |
3.5.1 |
|
ГОСТ 14192-77 |
1.3 |
|
ГОСТ 14919-83 |
3.6.1, 3.8.1, 3.9.1, 3.12.1, 3.13.1 |
|
ГОСТ 17269-71 |
1.2.3.5 |
|
3.6.1, 3.12.1 |
|
|
ГОСТ 17811-78 |
1.4 |
|
3.6.1, 3.7.1, 3.12.1 |
|
|
ГОСТ 18522-73 |
3.4.1 |
|
ГОСТ 18995.1-73 |
3.13.3 |
|
ГОСТ 19433-88 |
1.3 |
|
ГОСТ 19908-90 |
3.8.1, 3.9.1 |
|
ГОСТ 20035-88 |
3.6.1 |
|
ГОСТ 20292-74 |
3.6.1, 3.7.1, 3.8.1, 3.12.1 |
|
ГОСТ 21140-68 |
4.1 |
|
ГОСТ 21650-76 |
4.1 |
|
ГОСТ 22524-77 |
3.13.1 |
|
3.6.1 |
|
|
ГОСТ 24597-81 |
4.1 |
|
ГОСТ 25336-82 |
3.3, 3.4.1, 3.6.1, 3.8.1, 3.9.1, 3.10.1, 3.12.1, 3.13.1, 3.15.1 |
|
ГОСТ 25706-83 |
3.5.1 |
|
ГОСТ 25794.1-83 |
3.6.2, 3.12.1 |
|
ГОСТ 25794.3-83 |
3.6.1 |
|
ГОСТ 26663-85 |
4.1 |
|
ГОСТ 27025-86 |
3.1 |
|
ГОСТ 28498-90 |
3.6.1, 3.13.1 |
|
ТУ 6-09-4711-81 |
3.9.1, 3.10.1 |
|
ТУ 6-09-5359-88* |
3.8.1 |
|
ТУ 6-09-5360-87 |
3.12.1 |
|
ТУ 6-09-5382-88 |
3.13.1 |
|
ТУ 6-09-5423-90 |
3.6.1 |
|
ТУ 6-19-81-79 |
1.4 |
|
ТУ 6-52-12-90 |
1.4 |
|
ТУ 6-52-18-90 |
1.4 |
Настоящий стандарт распространяется на чешуированный или брикетированный технический диметилтерефталат (ДМТ), получаемый методом каталитического окисления пара-ксилола кислородом воздуха с последующей этерификацией метанолом.
Настоящий стандарт устанавливает требования к техническому диметилтерефталату, изготовляемому для нужд народного хозяйства (производства полиэфирных волокон и нитей, эмалей и пленок) и экспорта.
Формулы:
эмпирическая C10H4O10
структурная
Относительная молекулярная масса (по международным атомным массам 1985 г.) - 194,19.
Требования настоящего стандарта, кроме требований к показателям 6-13 табл.1, являются обязательными.
1. ТЕХНИЧЕСКИЕ ТРЕБОВАНИЯ
1.1. Технический диметилтерефталат должен изготовляться в соответствии с требованиями настоящего стандарта по технологическому регламенту, утвержденному в установленном порядке.
1.2. Характеристики
1.2.1. По физико-химическим показателям технический диметилтерефталат должен соответствовать требованиям и нормам, указанным в табл.1.
Таблица 1
Примечание. Диметилтерефталат в виде брикетов изготовляют только по требованию потребителя.
1.2.2. При поставках продукта на экспорт нормы качества и перечень определяемых показателей устанавливаются в соответствии с требованиями договора предприятия с внешнеэкономической организацией или контракта.
1.2.3. Требования безопасности
1.2.3.1. Технический диметилтерефталат горюч, взвешенная в воздухе пыль взрывоопасна.
Осевшая пыль пожароопасна. Нижний концентрационный предел распространения пламени 37,8 г/м3. Температура самовоспламенения аэровзвеси 570°С. Показатели пожароопасности определяют по ГОСТ 12.1.044.
1.2.3.2. Предельно допустимая концентрация (ПДК) в воздухе рабочей зоны для смеси паров и аэрозоля диметилтерефталата - 0,1 мг/м3, n-ксилола - 50 мг/м3, метанола - 5 мг/м3. Диметилтерефталат по степени воздействия на организм человека относится ко 2-му классу опасности по ГОСТ 12.1.005.
Определение содержания паров ДМТ в воздухе рабочей зоны определяют методом газожидкостной хроматографии.
1.2.3.3. Аэровзвесь диметилтерефталата раздражает слизистые оболочки глаз, верхние дыхательные пути и кожу.
1.2.3.4. Помещения, в которых проводят работы с диметилтерефталатом, должны быть оборудованы приточно-вытяжной вентиляцией, соответствующей требованиям ГОСТ 12.4.021.
На стадиях сушки и фасовки для очистки воздуха рабочей зоны от пыли рабочие места должны быть оборудованы аспирационными системами с фильтрующими устройствами для улавливания мелкодисперсной пыли.
1.2.3.5. При работе с диметилтерефталатом необходимо применять специальную одежду и средства индивидуальной защиты согласно типовым отраслевым нормам. Для защиты органов дыхания применяют фильтрующий противогаз СИЗОД-ФГП-130 марки В или БКФ по ГОСТ 12.4.121 и респиратор типа РУ-60М марки В по ГОСТ 17269.
1.2.3.6. Электрооборудование и освещение должны быть во взрывобезопасном исполнении. При загрузке продуктов в реактор и упаковке необходимо соблюдать правила защиты от статического электричества.
1.2.3.7. Для тушения пожара следует применять распыленную воду, воздушно-механическую пену на основе пенообразователя.
1.2.4. Охрана природы
1.2.4.1. Защита окружающей среды при производстве диметилтерефталата должна быть обеспечена герметизацией технологического оборудования, коммуникаций и транспортной тары, утилизацией отходов.
1.2.4.2 Отходы, содержащие диметилтерефталат, и забракованную продукцию, свойства которой не восстанавливаются, обезвреживают термическим путем в печах огневого сжигания.
1.2.4.3. Кислые сточные воды в производстве диметилтерефталата с химической потребностью кислорода (ХПК) 55 г/дм3 нейтрализуют раствором гидроокиси натрия с массовой долей 40% в количестве до 0,5 м3/ч. Нейтрализованные сточные воды сбрасывают в промканализацию и далее на централизованные биологические очистные сооружения. Характеристика объединенного потока сточных вод после смешения с нейтрализованным стоком от производства диметилтерефталата должна соответствовать требованиям, предъявляемым к приему стоков на биологические очистные сооружения.
1.3. Маркировка
Транспортная маркировка - по ГОСТ 14192 с указанием манипуляционного знака "Беречь от влаги" (на мешках) и знака опасности груза по ГОСТ 19433 (класс 9, подкласс 9.1, классификационный шифр 9133, вещества воспламеняющиеся).
На тару наносится маркировка, характеризующая продукцию, содержащая:
наименование и (или) товарный знак предприятия-изготовителя;
наименование продукта;
номер партии и дату изготовления;
обозначение настоящего стандарта.
При поставках на экспорт дополнительные требования к таре, массе и маркировке должны соответствовать требованиям договора (контракта) с внешнеторговыми объединениями (организациями).
1.4. Упаковка
Диметилтерефталат упаковывают в четырех-, шестислойные бумажные мешки марки НМ по ГОСТ 2226 с полиэтиленовым мешком-вкладышем по ТУ 6-52-18, в полиэтиленовые мешки с клапаном - по ГОСТ 17811, в специализированные мягкие контейнеры типа МКР-1, ОС-1,0 по ТУ 6-52-12 с полиэтиленовым вкладышем по ТУ 6-19-81.
Горловину полиэтиленового мешка-вкладыша завязывают, бумажного зашивают машинным способом.
Масса нетто диметилтерефталата:
в бумажном мешке - (40,0±0,2) кг;
в полиэтиленовом мешке с клапаном - (32,0±0,2) или (36,0±0,2) кг; по согласованию с потребителем и при поставках на экспорт - (25,0±0,2) кг.
При транспортировании самовывозом автомобильным транспортом допускается по согласованию с потребителем применение другой тары, обеспечивающей сохранность продукта, по согласованию с потребителем.
2. ПРИЕМКА
2.1. Технический диметилтерефталат принимают партиями. Партией считают любое количество продукта, однородного по качественным показателям, оформленное одним документом о качестве.
Документ о качестве должен содержать:
наименование предприятия-изготовителя и (или) его товарный знак;
наименование продукта;
номер партии, дату изготовления;
количество мест в партии;
массу нетто и брутто;
результаты проведенных анализов и (или) подтверждение соответствия продукта требованиям настоящего стандарта;
обозначение настоящего стандарта;
подпись или клеймо отдела технического контроля.
2.2. Для проверки качества технического диметилтерефталата на соответствие его показателей требованиям настоящего стандарта отбирают 1% упаковочных единиц, но не менее 10 единиц при упаковывании продукта в мешки.
При пакетировании мешков на поддонах для контроля качества отбирают 1% пакетов, но не менее одного пакета, если в партии менее 100 пакетов. Из каждого отобранного пакета берут не менее 10 мешков.
При упаковывании диметилтерефталата в мягкие контейнеры отбирают 1% упаковочных единиц, но не менее 1 контейнера.
2.3. При получении неудовлетворительных результатов анализа хотя бы по одному из показателей проводят повторный анализ по всем показателям на удвоенном количестве упаковочных единиц, отобранных от той же партии. Результаты повторных анализов распространяются на всю партию.
2.4. Показатели 6-13 табл.1 при поставках на экспорт определяют по требованию потребителя.
3. МЕТОДЫ АНАЛИЗА
3.1. Общие указания
Общие указания по проведению анализа - по ГОСТ 27025.
При взвешивании применяют лабораторные весы общего назначения типов ВЛР-200 г и ВЛКТ-500г-М, ВЛЭ-200 г и ВЛР-1 кг, набор гирь Г-2-210, Г-3-610 и Г-4-610 по ГОСТ 7328.
Допускается применение других средств измерений (приборов) с метрологическими характеристиками и оборудования с техническими характеристиками не хуже, а также реактивов по качеству не ниже указанных в настоящем стандарте.
3.2. Отбор проб
Точечные пробы отбирают щупом, изготовленным из нержавеющей стали, с разных уровней (сверху, из середины и снизу) потребительской тары.
Отобранные точечные пробы соединяют вместе, тщательно перемешивают и полученную объединенную пробу сокращают методом квартования и конусования до средней пробы массой не менее 350 г при определении качества продукта по обязательным показателям и не менее 2,1 кг при определении качества продукта по всем показателям.
Среднюю пробу тщательно перемешивают, делят на две равные части и помещают в чистые, сухие банки с притертой пробкой или в полиэтиленовые пакеты, горловины которых запаивают или завязывают. На банке наклеивают, а на пакеты наклеивают или вкладывают внутрь этикетку с указанием наименования предприятия-изготовителя, наименования продукта, номера партии, даты отбора пробы. Одну часть пробы используют для анализа, другую хранят у изготовителя в качестве контрольной.
Продукт в брикетах перед анализом измельчают.
3.3. Определение внешнего вида
Внешний вид диметилтерефталата в твердом и расправленном состоянии определяют визуально.
Твердый продукт рассматривают при рассеянном дневном освещении на белом фоне. Для определения внешнего вида диметилтерефталата в расправленном состоянии пробирку П1 (2)-21-200 ТХС по ГОСТ 25336 полностью заполняют продуктом, расправляют на открытом пламени горелки или на глицериновой бане и рассматривают на белом фоне при дневном освещении.
3.4. Определение цветности расплава
3.4.1. Подготовка к анализу
Основной раствор платино-кобальтовой шкалы, соответствующий 500 единицам Хазена, готовят по ГОСТ 18522.
Для приготовления растворов шкалы Хазена от 5 до 30 единиц Хазена в мерные колбы вместимостью 100 см3 вводят объемы основного раствора, указанные в табл.2, доводят до метки водой и перемешивают.
Таблица 2
Около 45 см3 каждого раствора сравнения наливают в пробирки П1 (2)-21-200 ТХС по ГОСТ 25336, запаивают и помещают в отверстия штатива таким образом, чтобы между растворами сравнения оставались отверстия для установка пробирки с анализируемым продуктом.
Растворы шкалы Хазена хранят в темном месте во флаконах из темного стекла с притертой пробкой.
3.4.2. Проведение анализа
Цветность расплава определяют сравнением цвета расплава, полученного в соответствии с п.3.3, с цветом растворов шкалы Хазена. Пробирку переносят в штатив и рассматривают в проходящем свете на белом фоне.
За цветность испытуемого продукта принимают цветность раствора шкалы Хазена, имеющего одинаковую с ним окраску. Если цвет расплава является промежуточным между двумя соседними растворами шкалы Хазена, то за результат испытания принимают число единиц Хазена, соответствующее раствору с более интенсивным цветом.
За результат анализа принимают среднее арифметическое результатов двух параллельных определений, допускаемое расхождение между которыми не должно превышать пяти единиц Хазена.
3.5. Определение температуры кристаллизации
3.5.1. Аппаратура, материалы и реактивы
Термометры стеклянные ртутные для точных измерений любой образцовый I группы и рабочий II N 9 ГОСТ 13646 с ценой деления не более 0,02°С и интервалом измеряемых температур 135-145°С.
Рабочий термометр градуируют ежесменно по пробе диметилтерефталата с температурой кристаллизации не ниже 140,64°С, определенной с помощью любого образцового термометра I группы.
Прибор для определения температуры кристаллизации (черт.1), состоящий из пробирки термостойкого стекла с внутренним диаметром 20 мм и высотой 400 мм и охлаждающего термостатированного блока. В пробирку вставляют термометр для измерения температуры кристаллизации и мешалку для перемешивания пробы. Мешалку изготовляют из нихромовой проволоки диаметром 1-1,5 мм, один конец которой изогнут в виде кольца диаметром 18 мм перпендикулярно к стержню. Термометр крепят и центруют с помощью фторопластовой пробки и кольца, в которых предусмотрены пазы для мешалки.
Черт.1 - Прибор для определения температуры кристаллизации диметилтерефталата
Прибор для определения температуры кристаллизации диметилтерефталата
1 - пробка; 2 - пробирка; 3 - термометр; 4 - мешалка; 5 - кольцо
Черт.1
Пробирку помещают в охлаждающий блок любой конструкции. В охлаждающем блоке должна поддерживаться температура на 2-5°С ниже предполагаемой температуры кристаллизации.
Лупа типа ЛП по ГОСТ 25706.
Диметилтерефталат с температурой кристаллизации не ниже 140,64°С, определенной с помощью любого образцового термометра I группы
3.5.2. Проведение анализа
Около 25 г анализируемого диметилтерефталата помещают в пробирку и расплавляют на открытом пламени горелки или в нагревательной бане с температурой теплоносителя на 10-15°С выше предполагаемой температуры кристаллизации при непрерывном перемешивании мешалкой во избежание перегрева пробы. В пробирку с расплавленным диметилтерефталатом вставляют предварительно прогретый до температуры около 136°С термометр (с целью прогревания термометр помещают в охлаждающий блок, в котором поддерживается температура около 136°С. Термометр тщательно центруют в пробирке так, чтобы ртутный резервуар его был погружен точно в середину плава. Продолжают перемешивание плава на воздухе до тех пор, пока на стенках пробирки над поверхностью мениска расплава не начнется легкая кристаллизация. После этого пробирку с пробой помещают в охлаждающий блок, где расплав продолжает охлаждаться при непрерывном перемешивании. При этом температура расплава сначала падает на 0,3-0,5°С ниже температуры кристаллизации диметилтерефталата, а затем с началом кристаллизации расплава снова быстро поднимается и остается некоторое время постоянной. Максимальную температуру после переохлаждения считают температурой кристаллизации. Нечетные сотые и тысячные доли градуса считывают со шкалы термометра с помощью лупы.
3.5.3. Обработка результатов
Температуру кристаллизации диметилтерефталата (X1) в градусах Цельсия вычисляют по формуле (1)
где T0 - температура кристаллизации пробы диметилтерефталата не ниже 140,64°С, измеренная любым образцовым термометром I группы °С;
t - температура кристаллизации этой же пробы диметилтерефталата, измеренная рабочим термометром, °С;
T - температура кристаллизации анализируемого диметилтерефталата, измеренная рабочим термометром, °С.
За результат анализа принимают среднее арифметическое результатов двух параллельных определений, допускаемое расхождение между которыми не должно превышать 0,02°С.
Допускаемая относительная суммарная погрешность результата анализа ±0,006% при доверительной вероятности P=0,95.
3.6. Определение кислотного числа
3.6.1. Аппаратура, посуда и реактивы
Плитка электрическая закрытого типа по ГОСТ 14919.
Секундомер.
Термометр стеклянный по ГОСТ 28498 с диапазоном измерения от 0 до 100°С.
Бюретка 6-2-1 и 6-2-2 по ГОСТ 20292.
Цилиндр 1-100-2 по ГОСТ 1770.
Колба Кн-1-250-29/32 ТС по ГОСТ 25336.
Холодильник ХШ-1-300 (400)-29/32 ХС по ГОСТ 25336.
Калия гидроокись по ГОСТ 24363, спиртовой раствор молярной концентрации c(KOH)=0,05 моль/дм3, готовят по ГОСТ 25794.3, при этом взвешивают 3 г гидроокиси калия.
Бромтимоловый синий по ТУ 6-09-5423, спиртовой раствор с массовой долей 0,01 или 0,05%.
Хлороформ технический по ГОСТ 20015 очищенный или фармакопейный.
Спирт этиловый ректификованный технический по ГОСТ 18300, высшего сорта или спирт этиловый технический по ГОСТ 17299, марки А.
3.6.2. Установление молярной концентрации спиртового раствора гидроокиси калия c(KOH)=0,05 моль/дм3
Молярную концентрацию раствора гидроокиси калия устанавливают в соответствии с ГОСТ 25794.1 по титрованным растворам соляной или серной кислоты молярной концентрации 0,05 моль/дм3 или по кислому фталевокислому калию (0,5000 г).
3.6.3. Проведение анализа
20,00 г диметилтерефталата помещают в коническую колбу, приливают 100 см3 хлороформа и нагревают с обратным холодильником на водяной бане или электроплитке при температуре (50±10)°С до полного растворения. Затем охлаждают содержимое колбы до комнатной температуры, приливают 2 см3 спиртового раствора бромтимолового синего и титруют, добавляя по каплям, раствором гидроокиси калия до изменения светло-желтой окраски на синюю устойчивую в течение 20 с.
Параллельно проводят контрольный опыт с теми же количествами реактивов, но без диметилтерефталата.
3.6.4. Обработка результатов
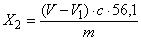
Кислотное число (X2) в миллиграммах гидроокиси калия на 1 г продукта вычисляют по формуле (2)
где V - объем раствора гидроокиси калия, израсходованный на титрование анализируемой пробы, см3;
V1 - объем раствора гидроокиси калия, израсходованный на титрование контрольной пробы, см3;
c - молярная концентрация раствора гидроокиси калия, моль/дм3;
56,1 - молярная масса эквивалента гидроокиси калия, г/моль;
m - масса анализируемого продукта, г.
За результат анализа принимают среднее арифметическое результатов двух параллельных определений, допускаемое расхождение между которыми не должно превышать 0,004 мг KOH на 1 г продукта.
Допускаемая относительная суммарная погрешность результата анализа ±34,5% при доверительной вероятности P=0,95.
3.7. Определение экстинкции в хлороформе при 340 нм в пересчете на толщину поглощающего свет слоя 10 см
Спектрофотометрический метод основан на определении оптической плотности концентрированного раствора диметилтерефталата в хлороформе при длине волны 340 нм.
Экстинкция диметилтерефталата соответствует оптической плотности раствора 2,5 г ДМТ в 25 см хлороформа, отнесенной к единице массы продукта, взятого для анализа, приведенной к толщине поглощающего слоя 10 см.
3.7.1. Аппаратура, посуда и реактивы
Спектрофотометр нерегистрирующий типа СФ-46, снабженный кварцевыми кюветами с расстоянием между гранями 1,0 и от 4,0 до 10,0 см, закрывающимися крышками или пробками.
Колба 2-25-2 по ГОСТ 1770.
Пипетка 2(3)-2-10 по ГОСТ 20292.
Спирт этиловый ректификованный технический по ГОСТ 18300, высший сорт.
Хлороформ фармакопейный, стабилизированный этанолом.
Вода дистиллированная по ГОСТ 6709.
3.7.2. Подготовка к анализу
Хлороформ, предназначенный для приготовления растворов диметилтерефталата, подвергают спектрофотометрическому контролю: определяют его оптическую плотность в определенном диапазоне длин волн. На спектрофотометре измеряют оптическую плотность (D0) в кювете с толщиной поглощающего свет слоя 1,0 см относительно дистиллированной воды при длинах волн 260, 300, 340 нм.
Перед фотометрированием хлороформа определяют разность поглощения кювет (
), используемых для определения его оптической плотности. Для этого заполняют обе кюветы этанолом и определяют
при длинах волн контроля хлороформа. Затем обе кюветы высушивают и заполняют одну хлороформом, а другую дистиллированной водой и определяют (D0) в тех же длинах волн. Для спектрально чистого хлороформа величина оптической плотности с учетом разности поглощения кювет (
) не должна превышать следующих значений:
Если исходный хлороформ не соответствует этим требованиям, то его подвергают перегонке с дефлегматором (высотой более 250 мм) при атмосферном давлении. Отбирают фракцию растворителя с температурой кипения от 60,5 до 61,0 °С. Так как температура кипения хлороформа при нормальном давлении 61,2 °С, то следует учитывать поправку на его температуру кипения для перегонки при отличном от нормального атмосферном давлении. Перегнанный хлороформ стабилизируют добавлением 0,8% (по объему) этанола и хранят в склянках из темного стекла с притертыми пробками в темном прохладном месте. После перегонки и стабилизации хлороформ вновь подвергают спектрофотометрическому контролю на оптическую плотность. При правильном хранении подготовленный таким образом хлороформ сохраняет свои свойства в течение 3 мес.
3.7.3. Проведение анализа
В мерную колбу количественно переносят от 2,5000 до 2,5500 г анализируемого продукта, приливают около 20 см3 хлороформа, перемешивают до полного растворения и доводят до метки хлороформом. Полученный раствор осторожно перемешивают и фотометрируют в кювете с толщиной поглощающего слоя от 4,0 до 10,0 см при длине волны 340 нм относительно чистого растворителя.
Выполняют два-три измерения оптической плотности испытуемого раствора. Результат измерения записывают с точностью до тысячных долей единицы. Перед выполнением измерений экстинкции проводят измерение разности поглощения кювет, используемых для этой цели. Для этого обе кюветы (рабочую и сравнения) заполняют хлороформом и определяют разность поглощения между ними (
) в аналитической точке.
3.7.4. Обработка результатов
Экстинкцию диметилтерефталата (X3) вычисляют по формуле (3)
где 10 - коэффициент пересчета экстинкции на толщину поглощающего свет слоя 10 см;
(
) - среднее арифметическое двух-трех результатов измерений величины оптической плотности одной пробы с учетом разности поглощения кювет;
m - масса анализируемой пробы, г;
l - толщина поглощающего свет слоя, см.
Результат расчета экстинкции записывают с точностью до тысячных долей единицы.
За результат анализа принимают среднее арифметическое результатов двух параллельных определений, допускаемое расхождение между которыми не должно превышать 0,003.
Допускаемая относительная суммарная погрешность результата анализа ±17% при доверительной вероятности P=0,95.
3.8. Определение массовой доли железа
3.8.1. Аппаратура, посуда и реактивы
Колориметр фотоэлектрический лабораторный или спектрофотометр любого типа.
Печь муфельная с терморегулятором или электропечь, обеспечивающие температуру нагрева (800±40)°С.
Плитка электрическая закрытого типа по ГОСТ 14919.
Стакан НН-50 (100) или чаша 40 (50) по ГОСТ 19908.
Колбы 2-25-2, 2-50-2, 2-500-2 по ГОСТ 1770.
Цилиндр 1-10-2 по ГОСТ 1770.
Пипетки 2-2-5,6-2-10 по ГОСТ 20292.
Колбы Кн-2-50 (100)-18 (34) ТХС по ГОСТ 25336.
Квасцы железоаммонийные по ТУ 6-09-5359, ч.д.а.
Кислота серная по ГОСТ 4204 концентрированная и раствор молярной концентрации c(H2SO4)=0,005 моль/дм3.
Вода дистиллированная по ГОСТ 6709.
3.8.2. Подготовка к анализу
Основной раствор железа, массовой концентрации 1 мг/см3 Fe (III) готовят по ГОСТ 4212 из железоаммонийных квасцов.
Градуировочный график строят по ГОСТ 10555 роданидным методом с предварительным окислением азотной кислоты. Из основного раствора разбавлением готовят раствор сравнения, содержащий 0,001 мг железа в 1 см3. Для этого 5 см3 основного раствора помещают в мерную колбу вместимостью 50 см3 и доводят до метки серной кислотой молярной концентрации 0,005 моль/дм3. 5 см3 полученного раствора переносят в мерную колбу вместимостью 500 см3 и доводят до метки серной кислотой молярной концентрации 0,005 моль/дм3, этот разбавленный раствор применяют свежеприготовленным. Затем в 6 конических колб помещают пипеткой 1, 2, 3, 4, 5, 6 см3 разбавленного раствора, доводят объемы растворов до 10 см3 дистиллированной водой и далее все операции проводят в соответствии с ГОСТ 10555, используя мерные колбы вместимостью 25 см3.
Одновременно готовят контрольный раствор, не содержащий железа.
3.8.3. Проведение анализа
В кварцевом стакане (чаше) взвешивают около 15,00 г диметилтерефталата, смачивают 5 см3 серной кислоты и сжигают пробу в пламени газовой горелки. (При отсутствии горелки после прибавления 5 см3 серной кислоты пробу нагревают на электроплитке до конца выделения паров серной кислоты, а затем стакан с обуглившимся остатком переносят на край муфельной печи и выдерживают до прекращения выделения паров.) Полное озоление пробы проводят в муфельной печи при температуре (800±40)°С. Стакан с содержимым охлаждают, приливают к остатку 10 см3 дистиллированной воды и проводят анализ по ГОСТ 10555 роданидным методом с предварительным окислением железа азотной кислотой, используя мерные колбы вместимостью 25 см3.
Одновременно готовят контрольный раствор, проводя те же операции, что и при выполнении анализа.
По полученному значению оптической плотности, пользуясь градуировочным графиком, находят массу железа в миллиграммах в анализируемом растворе.
3.8.4. Обработка результатов
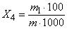
Массовую долю железа (X4) в процентах находят по формуле (4)
где m1 - масса железа в анализируемом растворе, найденная по градуировочному графику, мг;
m - масса анализируемой пробы, г.
За результат анализа принимают среднее арифметическое результатов двух параллельных определений, допускаемое абсолютное расхождение между которыми не должно превышать 0,000013%.
Допускаемая относительная суммарная погрешность результата анализа ±28% при доверительной вероятности P=0,95.
3.9. Определение массовой доли остатка после прокаливания
3.9.1. Аппаратура, посуда, реактивы
Печь муфельная с терморегулятором или электропечь, обеспечивающие температуру нагрева (800±40)°С.
Плитка электрическая закрытого типа по ГОСТ 14919.
Эксикатор 2-190 (250) по ГОСТ 25336.
Чаша 100 (160) по ГОСТ 19908.
Стакан В(Н)-2-400 ТС по ГОСТ 25336.
кальций хлористый по ТУ 6-09-4711.
3.9.2. Подготовка к анализу
Перед проведением анализа кварцевую чашу необходимо довести до постоянной массы путем прокаливания при температуре (800±40)°С с последующим охлаждением в эксикаторе. Результат взвешивания записывают с точностью до четвертого десятичного знака.
3.9.3. Проведение анализа
В стакане взвешивают около 200,00 г диметилтерефталата. В кварцевую чашу отсыпают из стакана примерно треть пробы и сжигают ее, поджигая пламенем газовой горелки или на электроплитке, поджигая пробу открытым пламенем. Затем в чашу в два приема добавляют оставшуюся в стакане пробу и так же ее сжигают. Массу анализируемой пробы определяют по разности между массой стакана с пробой и массой стакана после высыпания всей пробы. Остаток в чаше после сжигания пробы прокаливают в муфельной печи при температуре (800±40)°С до постоянной массы, охлаждают в эксикаторе и взвешивают, записывая результат с точностью до четвертого десятичного знака.
3.9.4. Обработка результатов
Массовую долю остатка после прокаливания (X5) в процентах вычисляют по формуле (5)
где m1 - масса остатка после прокаливания, г;
m - масса анализируемой пробы, г.
За результат анализа принимают среднее арифметическое результатов двух параллельных определений, допускаемое абсолютное расхождение между которыми не должно превышать 0,0003%.
Допускаемая относительная суммарная погрешность результата анализа +33% при доверительной вероятности P=0,95.
3.10. Определение массовой доли летучих веществ
3.10.1. Аппаратура, посуда и реактивы
Насос вакуумный.
Манометр АМ13 (97,9) по ГОСТ 9933.
Эксикатор 1-250 по ГОСТ 25336.
Чаша выпарительная 3 по ГОСТ 9147.
кальций хлористый обезвоженный по ТУ 6-09-4711.
3.10.2. Проведение анализа
В выпарительной чашке взвешивают 50,0000 г диметилтерефталата и помещают в эксикатор с прокаленным хлористым кальцием. При помощи вакуум-насоса в эксикаторе устанавливают остаточное давление 1330 Па (10 мм рт.ст.) и выдерживают анализируемую пробу в течение 6 ч при комнатной температуре. По истечении указанного времени уравнивают давление в эксикаторе до атмосферного путем постепенного открытия крана эксикатора, вынимают чашку с пробой и снова взвешивают. Результат записывают с точностью до четвертого десятичного знака.
3.10.3. Обработка результатов
Массовую долю летучих веществ (X6) в процентах вычисляют по формуле (6)
где m1 - масса чашки с анализируемой пробой до выдерживания в эксикаторе, г;
m2 - масса чашки с анализируемой пробой после выдерживания в эксикаторе, г;
m - масса анализируемой пробы, г.
За результат анализа принимают среднее арифметическое результатов двух параллельных определений, допускаемое абсолютное расхождение между которыми не должно превышать 0,0007%.
Допускаемая относительная суммарная погрешность результата анализа ±7,5% при доверительной вероятности P=0,95.
3.11. Определение массовой доли основного вещества
Массовую долю основного вещества (X7) в процентах вычисляют по формуле (7)
где X5 - массовая доля остатка после прокаливания, определенная по п.3.9;
X6 - массовая доля летучих веществ, определенная по п.3.10.
3.12. Определение числа омыления
3.12.1. Аппаратура, посуда, реактивы
Плитка электрическая закрытого типа по ГОСТ 14919.
Бюретка 1-2(3)-50-0,1 по ГОСТ 20292.
Пипетка 2-2-50 по ГОСТ 20292.
Цилиндр 1-100-2 по ГОСТ 1770.
Колба Кн-1-250-29/32 ТС по ГОСТ 25336.
Холодильник ХШ-1-300(400)-29/32 ХС по ГОСТ 25336.
Капельница 1ХС по ГОСТ 25336.
Натрия гидроокись по ГОСТ 4328, раствор молярной концентрации c(NaOH)=0,5 моль/дм3, приготовленный по ГОСТ 25794.1.
кислота соляная по ГОСТ 3118, раствор молярной концентрации c(HCl)=0,5 моль/дм3, раствор готовят и определяют молярную концентрацию по ГОСТ 25794.1.
Фенолфталеин по ТУ 6-09-5360, спиртовой раствор с массовой долей 0,5%.
Спирт этиловый ректификованный технический по ГОСТ 18300, высший сорт или спирт этиловый технический по ГОСТ 17299 марки А.
Вода дистиллированная по ГОСТ 6709.
3.12.2. Проведение анализа
В конической колбе взвешивают около 1,0000 г диметилтерефталата, из бюретки медленно приливают 50 см3 раствора гидроокиси натрия и цилиндром 50 см3 этанола. Колбу соединяют с обратным холодильником и кипятят на электроплитке в течение 1 ч. К горячему раствору в колбе приливают три капли раствора фенолфталеина и оттитровывают избыток гидроокиси натрия соляной кислотой.
Параллельно проводят контрольный опыт с теми же количествами реактивов, но без диметилтерефталата.
3.12.3. Обработка результатов
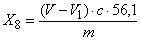
Число омыления (X8) в миллиграммах гидроокиси калия на 1 г продукта вычисляют по формуле (8)
где V - объем раствора соляной кислоты, израсходованный на титрование контрольной пробы, см3;
V1 - объем раствора соляной кислоты, израсходованный на титрование анализируемой пробы, см3;
c - молярная концентрация раствора соляной кислоты, моль/дм3;
56,1 - молярная масса эквивалента гидроокиси калия, г/моль;.
m - масса анализируемого продукта, г.
За результат анализа принимают среднее арифметическое результатов двух параллельных определений, допускаемое расхождение между которыми не должно превышать 4 мг гидроокиси калия на 1 г продукта.
Допускаемая относительная суммарная погрешность результата анализа ±0,5% при доверительной вероятности P=0,95.
3.13. Определение степени переэтерификации
3.13.1. Аппаратура, посуда, реактивы
Плитка электрическая закрытого типа по ГОСТ 14919.
Термостат с автоматическим регулированием температуры, обеспечивающий постоянную температуру (20±1)°С.
Пикнометр ПЖ2-25-КШ 7/16 по ГОСТ 22524.
Прибор для переэтерификации (черт.2), состоящий из колбы К-1-500-29/32 ТС по ГОСТ 25336; колонки, наполненной стеклянной насадкой; U-образной трубки с отводом, помещенной в охлаждающую баню со льдом; приемника (колба П(Кн)-1-100(250)-29/32 по ГОСТ 25336), помещенного в баню со льдом.
Термометры стеклянные по ГОСТ 28498 с пределами измерения от 0 до 100 (150)°С с ценой деления 0,5°С и пределами измерения от 0 до 250 (360)°С с ценой деления 1°С.
Колба Кн-1-250-34 и Кн-1-500-34 ТС по ГОСТ 25336.
Цилиндр 1 (2)-100-2 и 1 (2)-250-2 по ГОСТ 1770.
этиленгликоль по ГОСТ 10164.
Свинца оксид по ТУ 6-09-5382.
3.13.2. Подготовка к анализу
Для приготовления катализатора в колбу вместимостью 250 см3 помещают 100 см3 этиленгликоля и растворяют в нем при температуре около 120 °С 0,06 г оксида свинца. В колбу вместимостью 500 см3 наливают 185 см3 этиленгликоля, приливают полученный горячий раствор оксида свинца и перемешивают. Перед применением катализатор необходимо взбалтывать.
3.13.3. Проведение анализа
Черт.2 - Прибор для переэтерификации
Прибор для переэтерификации
1 - реакционная колба со шлифом вместимостью 500 см3; 2 - термометры; 3 - стеклянная решетка; 4 - колонка, наполненная стеклянной насадкой; 5 - охлаждающая баня со льдом; 6 - приемник; 7 - кольца Рашига стеклянные 5х5х0,5
Черт.2
120,00 г диметилтерефталата помещают в реакционную колбу прибора для переэтерификации, прибавляют 60 см3 раствора катализатора, отмеренного цилиндром. Цилиндр ополаскивают 40 см3 этиленгликоля, который сливают в колбу. Коническую колбу-приемник взвешивают с точностью до второго десятичного знака. Реакционную колбу и приемник присоединяют к прибору. Верхнюю часть реакционной колбы и колонку укутывают асбестом. Охлаждающие бани заполняют кусочками льда. Конец U-образной трубки закрывают ватным тампоном. Затем реакционную колбу плавно нагревают (с помощью переключателя мощности) на электроплитке, отмечают время, когда в приемник упадет первая капля метанола, и ведут процесс 2 ч при температуре в верхней части колонки (64±1)°С. Температура в нижней части колонки постепенно поднимается и к концу процессе достигает (195±5)°С. По истечении 2 ч нагревание усиливают так, чтобы температура в верхней части колонки достигла 90°С. После этого нагрев быстро прекращают, в течение 5 мин дают жидкости в колонке стечь в колбу. Приемник снимают, определяют массу дистиллята с точностью до второго десятичного знака и определяют его плотность пикнометром по ГОСТ 18995.1 при температуре 20°С. По графику (черт.3) определяют массовую долю метанола в дистилляте.
3.13.4. Обработка результатов
Степень переэтерификации (X9) в процентах вычисляют по формуле (9)
где 194,19 - молекулярная масса диметилтерефталата;
m1 - масса дистиллята г;
m0 - массовая доля метанола в дистилляте, %;
64,08 - удвоенная молекулярная масса метанола;
m - масса анализируемого продукта, г.
За результат анализа принимают среднее арифметическое результатов двух параллельных определений, допускаемое абсолютное расхождение между которыми не должно превышать 1,3%.
Допускаемая относительная суммарная погрешность результата анализа составляет ±0,7% при доверительной вероятности P=0,95.
3.14. Определение цветности раствора после переэтерификации
20 см3 продукта после переэтерификации (п.3.13) наливают в пробирку и определяют цветность раствора в соответствии п.3.4.
За результат анализа принимают среднее арифметическое результатов двух параллельных определений, допускаемое расхождение между которыми не должно превышать пяти единиц Хазена.
3.15. Определение термостабильности при нагревании в течение 4 ч при 175°С.
3.15.1. Аппаратура, посуда и реактивы
Шкаф сушильный, обеспечивающий температуру нагрева (175±2)°С.
Сосуд любой конструкции с крышкой, снабженной медной трубкой диаметром 4-10 мм, выходящей из сушильного шкафа наружу для подключения к потоку азота.
Расходомер, обеспечивающий измерение расхода азота от 0 до 5 дм3/мин.
Черт.3 - График определения массовой доли метанола в дистилляте
График определения массовой доли метанола в дистилляте
Черт.3
Пробирки П1(2)-21-200 ТХС по ГОСТ 25336.
Азот по ГОСТ 9293, высшего сорта или другой инертный газ с объемной долей кислорода не более 0,005%.
3.15.2. Проведение анализа
Около 35 г анализируемого продукта помещают в две пробирки. Заполненные пробирки устанавливают в сосуд, продувают его в течение 10 мин азотом с расходом 3-5 дм3/мин. Затем сосуд помещают в сушильный шкаф, предварительно нагретый до температуры (175±2)°С, Сосуд соединяют при помощи медной трубки с расходомером и подают азот со скоростью 2-5 дм3/мин. После повышения в сушильном шкафу температуры до (175±2)°С (возможно падение температуры при установке сосуда в шкаф) пробирки с анализируемой пробой выдерживают при этих условиях в течение 4 ч. После этого пробирки вынимают из сушильного шкафа и сразу же определяют цветность расплава в соответствии с п.3.4.
4. ТРАНСПОРТИРОВАНИЕ И ХРАНЕНИЕ
4.1. Диметилтерефталат транспортируют только в твердом состоянии в крытых транспортных средствах железнодорожным, автомобильным и морским видами транспорта в соответствии с правилами перевозок грузов, действующими на данном виде транспорта.
По железной дороге диметилтерефталат транспортируют повагонными отправками.
Диметилтерефталат, упакованный в мешки, транспортируют пакетами по ГОСТ 26663 с использованием поддонов по ГОСТ 9557. Мешки на поддонах размещают в соответствии с ГОСТ 21140. Средства скрепления - по ГОСТ 21650, габаритные размеры и масса брутто транспортного пакета должны соответствовать ГОСТ 24597.
Допускается упакованный продукт транспортировать железнодорожным транспортом в непакетированном виде повагонно по согласованию с потребителем с погрузкой и выгрузкой на подъездных путях грузоотправителя (грузополучателя).
Продукт, упакованный в мягкие специализированные контейнеры, транспортируют в крытых железнодорожных вагонах повагонными отправками с погрузкой и выгрузкой на подъездных путях грузоотправителя (грузополучателя).
4.2. Диметилтерефталат хранят в упакованном виде в крытых сухих помещениях.
4.3. Согласно ГОСТ 12.1.004 не допускается хранить вместе с диметилтерефталатом бертолетову соль, калий азотнокислый, водород, метан, окись этилена, калий, натрий, бензин, Бензол, сероуглерод, азотную и серную кислоту, серу.
5. ГАРАНТИИ ИЗГОТОВИТЕЛЯ
Изготовитель гарантирует соответствие диметилтерефталата требованиям настоящего стандарта при соблюдении условий транспортирования и хранения.
Гарантийный срок хранения продукта - 3 г. с момента изготовления.
официальное издание
М.: Издательство стандартов, 1992

