Диметилглиоксим ГОСТ 5828-77
Диметилглиоксим. Технические условия (с Изменением N 1) ГОСТ 5828-77 (СТ СЭВ 1752-79)
ГОСТ 5828-77*
(СТ СЭВ 1752-79)
Группа Л52
ГОСУДАРСТВЕННЫЙ СТАНДАРТ СОЮЗА ССР
Реактивы
ДИМЕТИЛГЛИОКСИМ
Технические условия
Reagents. Dimethylglioxime. Specifications
ОКП 26 3811 0470 07
Дата введения 1978-07-01
Постановлением Государственного комитета стандартов Совета Министров СССР от 16 июня 1977 г. N 1499 срок введения установлен с 01.07.78
ПРОВЕРЕН в 1980 г. Постановлением Государственного комитета стандартов Совета Министров СССР от 29.09.87 N 3820 срок действия продлен до 01.01.94**
________________
** Ограничение срока действия снято по протоколу N 3-93 Межгосударственного Совета по стандартизации, метрологии и сертификации (ИУС N 5/6, 1993 год). - Примечание изготовителя базы данных.
ВЗАМЕН ГОСТ 5828-67
* ПЕРЕИЗДАНИЕ (ноябрь 1988 г.) с Изменением N 1, утвержденным в июне 1980 г. (ИУС 9-80).
Настоящий стандарт распространяется на реактив - диметилглиоксим (диоксим бутандиона-2,3), представляющий собой кристаллический порошок от белого цвета до белого с желтоватым оттенком, почти нерастворимый в холодной воде, малорастворимый в горячей воде, легкорастворимый в этиловом спирте и эфире.
Формулы: эмпирическая C4H8N2O2
структурная 
Молекулярная масса (по международным атомным массам 1971 г.) - 116,12.
Стандарт полностью соответствует СТ СЭВ 1752-79.
1. ТЕХНИЧЕСКИЕ ТРЕБОВАНИЯ
1.1. Диметилглиоксим должен быть изготовлен в соответствии с требованиями настоящего стандарта, по технологическому регламенту, утвержденному в установленном порядке.
1.2. По физико-химическим показателям диметилглиоксим должен соответствовать нормам, указанным в таблице.
|
Наименование показателя |
Норма |
|
|
Чистый для анализа (ч.д.а.) |
Чистый |
|
|
1. Массовая доля диметилглиоксима (C4H8N2O2), %, не менее |
98,5 |
97,0 |
|
2. Температура плавления, °С (препарат должен плавиться в интервале 1 °С) |
239-242 |
237-242 |
|
3. Массовая доля остатка после прокаливания в виде сульфатов, %, не более |
0,025 |
0,080 |
|
4. Массовая доля нерастворимых в этиловом спирте веществ, %, не более |
0,02 |
0,05 |
|
5. Испытание на чувствительность к Ni (по оптической плотности раствора, содержащего 0,01 мг Ni в 25 см3), не менее |
0,08 |
Не нормируется |
2. ПРАВИЛА ПРИЕМКИ
2.1. Правила приемки - по ГОСТ 3885-73-->ГОСТ 3885-73.
3. МЕТОДЫ АНАЛИЗА
3.1а. Общие указания по проведению анализа - по ГОСТ 27025-86.
(Введен дополнительно, Изм. N 1).
3.1. Пробы отбирают по ГОСТ 3885-73-->ГОСТ 3885-73. Масса средней пробы должна быть не менее 60 г.
3.2. Определение массовой доли диметилглиоксима
3.2.1. Реактивы, растворы и посуда
аммиак водный по ГОСТ 3760-79, 10%-ный раствор готовят по ГОСТ 4517-87.
Вода дистиллированная по ГОСТ 6709-72-->ГОСТ 6709-72.
Кислота уксусная по ГОСТ 61-75, ледяная, х.ч.
Спирт этиловый ректификованный технический по ГОСТ 18300-87 высшего сорта.
Тигель стеклянный фильтрующий по ГОСТ 25336-82 типа ТФ ПОР10 или ТФ ПОР16.
Никель сернокислый 7-водный по ГОСТ 4465-74, раствор готовят следующим образом: 26,5 г 7-водного сернокислого никеля (NiSO4·7H2O) растворяют в воде в мерной колбе вместимостью 1000 см3, доводят объем раствора водой до метки и перемешивают (раствор А).
25 см3 раствора А помещают в стакан вместимостью 500 см3, прибавляют 200 см3 воды, 5 см3 раствора аммиака, 2 см3 уксусной кислоты и перемешивают (раствор В). Если раствор мутный, его фильтруют через плотный беззольный фильтр.
(Измененная редакция, Изм. N 1).
3.2.2. Проведение анализа
Около 0,2 г препарата взвешивают с погрешностью не более 0,0002 г, помещают в стакан вместимостью 500 см3 и растворяют в 20 см3 этилового спирта при слабом нагревании на водяной бане. Затем к раствору при помешивании осторожно прибавляют весь раствор В, нагретый до кипения, и оставляют в покое. Через 2 ч раствор фильтруют через фильтрующий стеклянный тигель, предварительно высушенный до постоянной массы и взвешенный с погрешностью не более 0,0002 г. Осадок на фильтре промывают 30-40 см3 воды, содержащими две капли раствора аммиака, и сушат в сушильном шкафу при 120 °С до постоянной массы.
3.2.3. Обработка результатов
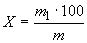
Массовую долю диметилглиоксима (X) в процентах вычисляют по формуле
где m1 - масса высушенного осадка диметилглиоксимата никеля, г;
0,80384 - коэффициент пересчета массы диметилглиоксимата никеля на массу диметилглиоксима;
m - масса навески препарата, г.
За результат анализа принимают среднее арифметическое двух параллельных определений, допускаемые расхождения между которыми не должны превышать 0,3%.
3.3. Определение температуры плавления проводят по ГОСТ 18995.4-73. При этом капилляр с препаратом вносят в прибор, нагретый до 220 °С. Скорость нагревания в пределах последних 10-15 °С - 3 °С/мин.
3.4. Определение массовой доли остатка после прокаливания в виде сульфатов проводят по СТ СЭВ 434-77* из навески 4 г препарата, взвешенной с погрешностью не более 0,01 г в фарфоровом тигле.
______________
* На территории Российской Федерации действует ГОСТ 27184-86. - Примечание изготовителя базы данных.
(Измененная редакция, Изм. N 1).
3.5. Определение массовой доли нерастворимых в этиловом спирте веществ
3.5.1. Реактивы и посуда
Спирт этиловый ректификованный технический по ГОСТ 18300-87 высшего сорта.
Тигель стеклянный фильтрующий по ГОСТ 25336-82 типа ТФ ПОР10 или ТФ ПОР16.
3.5.2. Проведение анализа
5 г препарата взвешивают с погрешностью не более 0,01 г, помещают в стакан вместимостью 500 см3, прибавляют 250 см3 этилового спирта и растворяют при нагревании на водяной бане. Раствор должен быть прозрачным.
Затем раствор фильтруют через фильтрующий стеклянный тигель, промытый 50 см3 спирта, предварительно высушенный до постоянной массы и взвешенный с погрешностью не более 0,0002 г, промывают остаток на фильтре 50 см3 этилового спирта и сушат в сушильном шкафу при 105 °С до постоянной массы.
(Измененная редакция, Изм. N 1).
3.5.3. Обработка результатов
Массовую долю нерастворимых в этиловом спирте веществ (X) в процентах вычисляют по формуле
где m - масса навески препарата, г;
m1 - масса остатка после высушивания, г.
За результат анализа принимают среднее арифметическое двух параллельных определений, допускаемые расхождения между которыми не должны превышать 20% относительно вычисляемой величины.
Допускается заканчивать определение методом сравнения массы остатка.
При этом препарат считают соответствующим требованиям настоящего стандарта, если масса остатка после высушивания не будет превышать:
для препарата чистый для анализа - 1,0 мг,
для препарата чистый - 2,5 мг.
При разногласиях в оценке массовой доли нерастворимых в этиловом спирте веществ обработку результатов проводят по формуле.
(Введен дополнительно, Изм. N 1).
3.6. Определение чувствительности к никелю
3.6.1. Реактивы, растворы и аппаратура
Спектрофотометр типа СФ-4А.
аммиак водный по ГОСТ 3760-79, 10%-ный раствор, готовят по ГОСТ 4517-87.
Вода дистиллированная по ГОСТ 6709-72-->ГОСТ 6709-72.
Йод по ГОСТ 4159-79, 1%-ный раствор в этиловом спирте.
Раствор, содержащий Ni; готовят по ГОСТ 4212-76; соответствующим разбавлением готовят раствор, содержащий 0,01 мг Ni в 1 см3. Разбавленный раствор должен быть свежеприготовленным.
Спирт этиловый ректификованный технический по ГОСТ 18300-87 высшего сорта.
3.6.2. Проведение анализа
0,25 г препарата взвешивают с погрешностью не более 0,0002 г, помещают в стаканчик вместимостью 100 см3 и растворяют в 15 см3 этилового спирта при нагревании на горячей водяной бане.
По охлаждении раствор количественно переносят в мерную колбу вместимостью 25 см3, доводят объем раствора до метки этиловым спиртом и перемешивают.
В три мерные колбы вместимостью по 25 см3 вносят 1, 2, 3 см3 раствора никеля, содержащих соответственно 0,01; 0,02 и 0,03 мг Ni, прибавляют по 15 см3 воды, перемешивают, прибавляют по каплям раствор йода до неисчезающей желтой окраски (около 0,5 см3). Затем при тщательном перемешивании прибавляют раствор аммиака до исчезновения желтой окраски и еще по 1,25 см3 его избытка, по 1,25 см3 раствора анализируемого препарата, перемешивают, доводят объемы растворов водой до метки и снова перемешивают.
Через 15 мин измеряют оптическую плотность приготовленных растворов по отношению к воде на спектрофотометре при длине волны 470 нм в кюветах с толщиной поглощающего свет слоя 10 мм.
По полученным данным строят градуировочный график, откладывая на оси абсцисс содержание никеля, а на оси ординат - значения оптических плотностей.
Препарат считают соответствующим требованиям настоящего стандарта, если оптическая плотность раствора, содержащего 0,01 мг Ni в 25 см3 будет не менее 0,08, а градуировочный график будет иметь вид прямой линии.
(Измененная редакция, Изм. N 1).
4. УПАКОВКА, МАРКИРОВКА, ТРАНСПОРТИРОВАНИЕ И ХРАНЕНИЕ
4.1. Препарат упаковывают и маркируют в соответствии с ГОСТ 3885-73-->ГОСТ 3885-73.
Вид и тип тары: 2-1, 2-2, 2-4, 2-5, 2-6, 2-7, 2-9.
Группа фасовки: I, II, III, IV, V.
(Измененная редакция, Изм. N 1).
4.2. Препарат транспортируют всеми видами транспорта в соответствии с правилами перевозки грузов, действующими на данном виде транспорта.
4.3. Препарат хранят в упаковке изготовителя в крытых складских помещениях.
5. ГАРАНТИИ ИЗГОТОВИТЕЛЯ
5.1. Изготовитель должен гарантировать соответствие качества диметилглиоксима требованиям настоящего стандарта при соблюдении условий хранения препарата, установленных стандартом.
5.2. Гарантийный срок хранения препарата - шесть месяцев со дня изготовления. По истечении гарантийного срока хранения препарат перед использованием должен быть проверен на соответствие требованиям настоящего стандарта.
6. ТРЕБОВАНИЯ БЕЗОПАСНОСТИ
6.1. Диметилглиоксим в виде пыли может вызывать раздражение слизистых оболочек и кожных покровов.
6.2. При работе с препаратом следует применять индивидуальные средства защиты (респираторы, защитные очки, резиновые перчатки), а также соблюдать меры личной гигиены.
6.3. Помещения, в которых проводятся работы с препаратом, должны быть оборудованы общей приточно-вытяжной механической вентиляцией; анализ препарата следует проводить в вытяжном шкафу лаборатории.
официальное издание
М.: Издательство стандартов, 1989