Новости Нефтегазовая пром.
Выставки Наука и технология


Дициандиамид технический ГОСТ 6988-73

Дициандиамид технический. Технические условия (с Изменениями N 1, 2, 3, 4) ГОСТ 6988-73

ГОСТ 6988-73

Группа Л14

ГОСУДАРСТВЕННЫЙ СТАНДАРТ СОЮЗА ССР

ДИЦИАНДИАМИД ТЕХНИЧЕСКИЙ

Технические условия 

Technical dicyandiamide. Specifications



ОКП 24 3392 0100

Дата введения 1975-01-01

ИНФОРМАЦИОННЫЕ ДАННЫЕ

1. РАЗРАБОТАН И ВНЕСЕН Министерством химической промышленности СССР 

РАЗРАБОТЧИКИ

Ю.И.Дергунов, З.Ф.Тимошенко, И.Д.Фомина

2. УТВЕРЖДЕН И ВВЕДЕН В ДЕЙСТВИЕ Постановлением Государственного комитета СССР по стандартам от 18.07.73 N 1754

3. ВЗАМЕН ГОСТ 6988-54

4. Периодичность проверки - 5 лет

5. ССЫЛОЧНЫЕ НОРМАТИВНО-ТЕХНИЧЕСКИЕ ДОКУМЕНТЫ

Обозначение НТД, на который дана ссылка

Номер пункта, подпункта

ГОСТ 12.1.007-76

6.1

ГОСТ 1770-74

3.6.1а

ГОСТ 2226-88

4.1

ГОСТ 3118-77

3.5.1

ГОСТ 4204-77

3.4.1

ГОСТ 4328-77

3.4.1

ГОСТ 4919.1-77

3.4.1

ГОСТ 6709-72-->ГОСТ 6709-72

3.5.1; 3.6.1а

ГОСТ 7579-76

3.5.1

ГОСТ 10354-82

4.1

ГОСТ 14192-96

4.2

ГОСТ 14919-83

3.4.1

ГОСТ 17299-78

3.4.1

ГОСТ 18300-87

3.4.1

ГОСТ 18477-79

4.1

ГОСТ 18995.4-73

3.8

ГОСТ 19433-88

4.2

ГОСТ 21650-76

4.4

ГОСТ 25336-82

3.4.1; 3.6.1а; 3.7.1а

ТУ 6-09-3967-75

3.5.1

6. Ограничение срока действия снято по протоколу N 5-94 Межгосударственного Совета по стандартизации, метрологии и сертификации (ИУС 11-12-94)

7. ПЕРЕИЗДАНИЕ (август 1998 г.) с Изменениями N 1, 2, 3, 4, утвержденными в январе 1979 г., декабре 1982 г., марте 1985 г., июле 1990 г. (ИУС 3-79, 4-83, 6-85, 10-90)

Настоящий стандарт распространяется на технический дициандиамид, предназначенный для производства меламина, закрепителей красок, пластмасс и лаков, а также для получения фармацевтических препаратов.

Формулы: эмпирическая  C2H4N4

                           структурная 

Молекулярная масса (по международным атомным массам 1971 г.) - 84,03.

(Измененная редакция, Изм. N 4).

1. ТЕХНИЧЕСКИЕ ТРЕБОВАНИЯ

1.1а. Технический дициандиамид должен быть изготовлен в соответствии с требованиями настоящего стандарта по технологическому регламенту, утвержденному в установленном порядке. 

(Введен дополнительно, Изм. N 3).

1.1. По физико-химическим показателям технический дициандиамид должен соответствовать нормам, указанным в таблице.

Наименование показателя

Норма

1. Внешний вид

Мелкие кристаллы белого цвета

2. Массовая доля дициандиамида в пересчете на сухое вещество, %, не менее

93

3. Массовая доля нерастворимого в воде остатка, %, не более

0,3

4. Массовая доля воды, %, не более

0,7

5. Температура плавления, °С

201-203


(Измененная редакция, Изм. N 4).

2. ПРАВИЛА ПРИЕМКИ

2.1. Технический дициандиамид поставляют партиями. В партию включают продукт, однородный по своим качественным показателям массой не более 15 т, сопровождаемый одним документом о качестве.

Документ должен содержать:

наименование предприятия-изготовителя и его товарный знак;

наименование;

номер партии;

число мест в партии;

массу брутто и нетто;

дату изготовления;

результаты проведенных анализов или подтверждение о соответствии качества продукта требованиям настоящего стандарта;

обозначение настоящего стандарта.

(Измененная редакция, Изм. N 2, 4).

2.2. Для проверки качества технического дициандиамида пробы отбирают от 10% единиц продукции, но не менее чем от трех единиц продукции при партии 30 единиц продукции и менее, при упаковке в специальные контейнеры - от каждого контейнера.

2.3. При получении неудовлетворительных результатов анализа хотя бы по одному из показателей должны проводиться повторные анализы от удвоенного количества единиц продукции, отобранных от той же партии. Результаты повторных анализов являются окончательными и распространяются на всю партию.

3. МЕТОДЫ АНАЛИЗА

3.1а. Допускается применение других средств измерения с метрологическими характеристиками и оборудования с техническими характеристиками, а также реактивов по качеству, отличающихся от указанных в настоящем стандарте.

При разногласиях в оценке качества продукта анализ проводят со средствами измерения, оборудования и реактивами, указанными в настоящем стандарте.

(Введен дополнительно, Изм. N 4).

3.1. Точечную пробу технического дициандиамида отбирают металлическим щупом, погружая его на 3/4 глубины мешка.

Масса точечной пробы должна быть не менее 100 г.

3.2. Отобранные точечные пробы соединяют вместе, тщательно перемешивают и сокращают методом квартования до массы средней пробы 200 г.

Среднюю пробу помещают в стеклянную банку с притертой пробкой. На банку наклеивают этикетку, на которой указывают: наименование предприятия-изготовителя, наименование продукта, номер партии, дату отбора пробы.

3.3. Внешний вид определяют визуально, поместив около 5 г продукта ровным слоем на белую глянцевую бумагу.

3.4. Определение массовой доли дициандиамида в пересчете на сухое вещество

3.4.1. Применяемые реактивы, растворы и приборы

Кислота серная по ГОСТ 4204, плотностью 1,830-1,835 г/см3 и раствор c(1/2H2SO4)=0,5 моль/дм3 (0,5 н.).
Натрия гидроокись по ГОСТ 4328, раствор с массовой долей 30% и раствор c(NaOH)=0,5 моль/дм3 (0,5 н.).

Стружки медные, промытые ацетоном и водой.

Метиловый красный (индикатор), спиртовой раствор с массовой долей 0,2%.

Спирт этиловый технический по ГОСТ 17299, раствор с массовой долей 90% или спирт этиловый ректификованный технический по ГОСТ 18300. 

Метиленовый голубой (индикатор), спиртовой раствор с массовой долей 0,1%.

Смешанный индикатор - метиловый красный с метиленовым голубым; готовят по ГОСТ 4919.1.

Колба Кьельдаля 1(2)-100-29/32 ТХС по ГОСТ 25336.

Колба Кн-2-750-50(40) ТХС по ГОСТ 25336.

Колба Кн-2-500-40(50) ТХС по ГОСТ 25336.

Холодильник ХШ-3-300 по ГОСТ 25336.

Плитка электрическая с закрытой спиралью по ГОСТ 14919.

Весы лабораторные общего назначения 1-го или 2-го класса с пределами взвешивания до 200 г.

(Измененная редакция, Изм. N 4).

3.4.2. Проведение анализа

Около 0,5 г анализируемого технического дициандиамида взвешивают (результат в граммах записывают с точностью до четвертого десятичного знака), переносят в колбу Кьельдаля, добавляют 1 г медных стружек и 25 см3 серной кислоты плотностью 1,830-1,835 г/см3, закрывают стеклянной грушевидной пробкой, ставят в наклонном положении и сжигают при слабом кипении в течение 1,5 ч. По окончании сжигания содержимое колбы охлаждают, осторожно разбавляют водой и переносят в отгонную колбу вместимостью 600-700 см3, объем раствора доводят водой приблизительно до 300 см3 (см. чертеж).

Черт.1. Проведение анализа

1 - электрическая плитка; 2 - отгонная колба; 3 - капельная воронка; 4 - брызгоуловитель; 5 -холодильник; 6 - приемник

В колбу вставляют пробку с капельной воронкой и соединяют колбу с холодильником, конец трубки которого должен быть опущен в коническую колбу, содержащую 50 см3 0,5 моль/дм3 раствора серной кислоты и 2 см3 смешанного индикатора. Конец трубки холодильника должен быть слегка погружен в жидкость.

Через капельную воронку приливают в колбу 150 см3 30%-ного раствора гидроокиси натрия, перемешивают и ведут отгонку аммиака до тех пор, пока объем раствора в конической колбе будет доведен приблизительно до 230 см3.

Полученный раствор титруют 0,5 моль/дм3 раствором гидроокиси натрия до перехода фиолетовой окраски в зеленую. Параллельно проводят контрольный опыт с тем же количеством реактивов, но без анализируемого продукта.

(Измененная редакция, Изм. N 1, 2, 3).

3.4.3. Обработка результатов

Массовую долю дициандиамида в пересчете на сухое вещество (X) в процентах вычисляют по формуле где V1 - объем раствора гидроокиси натрия концентрации точно 0,5 моль/дм3, израсходованный на титрование контрольного раствора, см3;

V2 - объем раствора гидроокиси натрия концентрации точно 0,5 моль/дм3, израсходованный на титрование анализируемого раствора, см3;

0,007 - масса азота, соответствующая 1 см3 точно c(NaOH)=0,5 моль/дм3 (0,5 н.) раствора гидроокиси натрия, г;

m - масса навески дициандиамида, г;

X3 - массовая доля воды, определенная по п.3.7, %;

X1 - массовая доля меламина, определенная по п.3.5, %;

0,67 - коэффициент пересчета меламина на азот;

1,5 - коэффициент пересчета азота на дициандиамид.

За результат анализа принимают среднее арифметическое двух параллельных определений, допускаемые расхождения между которыми не должны превышать 1,4% при доверительной вероятности P=0,95.

(Измененная редакция, Изм. N 3).

3.5. Определение массовой доли меламина

3.5.1. Применяемые реактивы, растворы, приборы

кислота соляная по ГОСТ 3118, раствор с(HCl)=0,1  моль/дм3 (0,1 н.).

Вода дистиллированная по ГОСТ 6709.

Дициандиамид по ТУ 6-09-3967* или по настоящему стандарту, перекристаллизованный из воды до отрицательной реакции на Меламин; готовят следующим образом: 80 г дициандиамида помещают в стакан с 400 см3 нагретой до кипения воды и тщательно перемешивают в течение 5 мин. Горячую суспензию быстро фильтруют через фильтр "синяя лента". Фильтрат охлаждают до 30-40°С. Выпавшие кристаллы дициандиамида отфильтровывают и сушат в течение 1 ч при 100-120°С. Затем 2 г перекристаллизованного дициандиамида растворяют в 100 см3 воды, добавляют 100 см3 насыщенного при комнатной температуре раствора циануровой кислоты. В случае появления мути в растворе, что указывает на наличие меламина, перекристаллизацию необходимо повторить.

Меламин по ГОСТ 7579, перекристаллизованный из воды и высушенный до постоянной массы при 120-130°С.

Спектрофотометр типа СФ-16.

Весы лабораторные общего назначения 1-го или 2-го класса с пределами взвешивания до 200 г.

Пипетки вместимостью 5(10) см3.

(Измененная редакция, Изм. N 3, 4).

3.5.2. Проведение анализа

1 г анализируемого технического дициандиамида взвешивают (результат в граммах записывают с точностью до четвертого десятичного знака), переносят в мерную колбу вместимостью 1000 см3, растворяют в воде, доводят объем раствора водой до метки и перемешивают (раствор А).

5 см3 раствора А с помощью пипетки переносят в мерную колбу вместимостью 100 см3, доводят объем раствора соляной кислотой до метки и перемешивают (раствор В).

Раствор В фотометрируют при длине волны 236 нм в кювете с толщиной поглощающего свет слоя 1 см3, используя соляную кислоту в качестве раствора сравнения.

3.5.3. Определение коэффициента поглощения дициандиамида

Две пробы перекристаллизованного дициандиамида по 1 г взвешивают (результат в граммах записывают с точностью до четвертого десятичного знака), затем переносят в мерные колбы вместимостью 1000 см3, растворяют в воде, доводят объем обоих полученных растворов водой до метки и перемешивают. В отдельные три мерные колбы вместимостью 100 см3 каждая с помощью пипетки вносят по 10 см3 одного из полученных растворов, доводят объем растворов соляной кислотой до метки и перемешивают. Аналогично готовят в трех колбах серию растворов, приготовленных из раствора второй пробы дициандиамида. Измеряют оптическую плотность растворов каждой колбы при длине волны 236 нм в кюветах с толщиной поглощающего свет слоя 1 см3 по отношению к соляной кислоте.

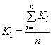
Коэффициент поглощения дициандиамида (K1) в дм/г·см3 вычисляют по формуле где n - число определений;

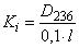
Ki - коэффициент поглощения дициандиамида, определяемый по формуле где D236 - оптическая плотность перекристаллизованного дициандиамида;
0,1 - концентрация дициандиамида в фотометрируемом растворе, г/дм3;

l - толщина поглощающего свет слоя, см3.

За результат анализа принимают среднее арифметическое шести параллельных определений, допускаемые расхождения между крайними результатами которых не должны превышать 0,2 дм/г·см3 при доверительной вероятности P=0,95.

3.5.4. Определение коэффициента поглощения меламина

Две пробы перекристаллизованного меламина по 0,1 г взвешивают (результат в граммах записывают с точностью до четвертого десятичного знака), затем переносят в мерные колбы вместимостью 1000 см3 каждая, растворяют в воде, доводят объем обоих полученных растворов водой до метки и перемешивают. В отдельные три мерные колбы вместимостью 100 см3 каждая с помощью пипетки вносят по 10 см3 одного из полученных растворов, доводят объем растворов соляной кислотой до метки и перемешивают. Аналогично готовят в трех колбах серию растворов, приготовленных из раствора второй пробы меламина. Измеряют оптическую плотность растворов каждой колбы при длине волны 236 нм в кюветах с толщиной поглощающего свет слоя 1 см3 по отношению к соляной кислоте.

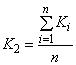
Коэффициент поглощения меламина (K2) в дм/г·см3 вычисляют по формуле где n - число определений;

Ki - коэффициент поглощения меламина, определяемый по формуле где D236 - оптическая плотность перекристаллизованного меламина;
0,01 - концентрация меламина в фотометрируемом растворе, г/дм3;

l - толщина поглощающего свет слоя, см3.

За результат анализа принимают среднее арифметическое шести параллельных определений, допускаемые расхождения между крайними результатами которых не должны превышать 2 дм/г·см при доверительной вероятности P=0,95.

3.5.5. Обработка результатов

Массовую долю меламина (X1) в процентах вычисляют по формуле где D236 - оптическая плотность анализируемого раствора;
K1 - коэффициент поглощения дициандиамида, дм/г·см3;

K2 - коэффициент поглощения меламина, дм/г·см3;

C1 - концентрация анализируемого дициандиамида, г/дм3;

5 - объем аликвотной части анализируемого раствора, см3;

Cд - концентрация дициандиамида, г/дм3, определяемая по формуле где 0,05 - концентрация дициандиамида с учетом разбавления, г/дм3.

За результат анализа принимают среднее арифметическое двух параллельных определений, допускаемые расхождения между которыми не должны превышать 0,14% при доверительной вероятности P=0,95.

3.5.2-3.5.5. (Измененная редакция, Изм. N 3).

3.6. Определение массовой доли нерастворимого в воде остатка

3.6.1а. Аппаратура, посуда, реактивы

Цилиндр 1(3)-100 по ГОСТ 1770 с погрешностью 1,0 см3.
Тигель фильтрующий ТФ-32-ПОР 40 ХС по ГОСТ 25336.

Весы лабораторные общего назначения типа АДВ-200.

Шкаф сушильный электрический с диапазоном регулирования температуры от 40 до 200°С.

Вода дистиллированная по ГОСТ 6709.

3.6.1б. Проведение анализа

Около 20 г дициандиамида взвешивают (результат в граммах записывают с точностью до четвертого десятичного знака) и растворяют в 100 см3 дистиллированной воды, нагретой до 70-80°С, после этого раствор фильтруют через высушенный до постоянной массы при 100-105°С фильтр. Остаток на фильтре промывают 5-6 раз горячей дистиллированной водой и фильтр с остатком сушат при 100-150°С до постоянной массы.

(Измененная редакция, Изм. N 3, 4).

3.6.1а, 3.6.1б. (Введены дополнительно, Изм. N 4).

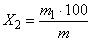
3.6.1. Обработка результатов

Массовую долю нерастворимых в воде веществ (X2) в процентах вычисляют по формуле где m - масса навески дициандиамида, г;

m1 - масса сухого остатка, г.

За результат анализа принимают среднее арифметическое двух параллельных определений, допускаемые расхождения между которыми не должны превышать 0,05% при доверительной вероятности P=0,95.

(Измененная редакция, Изм. N 3).

3.7. Определение массовой доли воды

3.7.1а. Аппаратура, посуда

Шкаф сушильный электрический с диапазоном регулирования температуры от 40 до 200°С.

Эксикатор 2-190(250) по ГОСТ 25336.

Стаканчик СН-60/14 по ГОСТ 25336.

Весы лабораторные общего назначения типа АДВ-200.

(Введен дополнительно, Изм. N 4).

3.7.1б. Проведение анализа

Около 3 г тонкорастертого дициандиамида взвешивают (результат в граммах записывают с точностью до четвертого десятичного знака) в бюксе, предварительно высушенной в течение 3 ч и взвешенной (результат в граммах записывают с точностью до четвертого десятичного знака). Приоткрыв бюксу, помещают ее в термостат и сушат при 100-105°С до постоянной массы.

Для охлаждения закрытую бюксу помещают в эксикатор с прокаленным хлористым кальцием и выдерживают перед взвешиванием не менее 30 мин.

(Измененная редакция, Изм. N 2, 3, 4).

3.7.1. Обработка результатов

Массовую долю воды (X3) в процентах вычисляют по формуле где m - масса навески дициандиамида, г;

m1 - масса высушенного продукта, г.

За результат анализа принимают среднее арифметическое двух параллельных определений, допускаемые расхождения между которыми не должны превышать 0,05% при доверительной вероятности P=0,95.

(Измененная редакция, Изм. N 3).

3.8. Температуру плавления определяют по ГОСТ 18995.4. Определение проводят на продукте, оставшемся после определения воды по п.3.7 в капилляре, изготовленном по п.2.2 ГОСТ 18995.4. Термометр с капилляром помещают в пробирку при температуре жидкости 185°С, скорость повышения температуры - 4°С в минуту.

(Измененная редакция, Изм. N 2).

3.9. Числовые значения результатов анализа каждого показателя округляют до последней значащей цифры нормы, указанной для данного показателя в таблице технических требований.

(Измененная редакция, Изм. N 4).

4. УПАКОВКА, МАРКИРОВКА, ТРАНСПОРТИРОВАНИЕ И ХРАНЕНИЕ

4.1. Технический дициандиамид упаковывают в четырехслойные открытые бумажные битумированные мешки (ГОСТ 2226) с непропитанным внутренним слоем бумаги или трех-четырехслойные открытые бумажные мешки (ГОСТ 2226) с вкладышем из полиэтиленовой пленки (ГОСТ 10354) толщиной 80-120 мкм, или четырех-пятислойные ламинированные мешки (ламинирован внутренний слой), или пятислойные бумажные комбинированные мешки по НТД, утвержденной в установленном порядке, с двумя слоями из мешочной битумированной бумаги.

Горловину полиэтиленового вкладыша заваривают или прошивают машинным способом совместно с горловинами открытых мешков. Бумажные мешки без вкладыша зашивают машинным способом.

При транспортировании мелкими партиями упакованный дициандиамид отгружают в универсальных контейнерах по ГОСТ 18477.

Масса нетто 25-35 кг.

Допускается упаковывать технический дициандиамид в специализированные мягкие контейнеры для сыпучих продуктов типа МК или типа МКР по нормативно-технической документации.

(Измененная редакция, Изм. N 2, 3, 4).

4.2. Транспортная маркировка - по ГОСТ 14192 с нанесением следующих дополнительных данных:

наименования продукта и классификационного шифра группы 9153 по ГОСТ 19433;

номера партии;

даты изготовления;

обозначения настоящего стандарта.

(Измененная редакция, Изм. N 3, 4).

4.3. (Исключен, Изм. N 2).

4.4. Технический дициандиамид, упакованный в мешки, транспортируют железнодорожным, автомобильным и речным транспортом в крытых транспортных средствах в соответствии с правилами перевозки опасных грузов, действующими на транспорте данного вида.

Специализированные мягкие контейнеры с дициандиамидом, а также пакеты, скрепленные термоусадочной пленкой, транспортируют в крытом и открытом подвижном составе и автотранспортом в соответствии с правилами перевозки опасных грузов, действующими на транспорте данного вида.

Допускается транспортировать дициандиамид открытым автотранспортом с укрытием продукта пологом.

По согласованию с потребителем допускается транспортировать дициандиамид в пакетированном виде с использованием в качестве средств крепления груза термоусадочной пленки (с поддонами или без поддонов), тканевых лент, сеток и других материалов по ГОСТ 21650, обеспечивающих целостность пакета при транспортировании.

(Измененная редакция, Изм. N 2, 4).

4.5. Технический дициандиамид должен храниться в закрытых складских помещениях. 

(Измененная редакция, Изм. N 3).

5. ГАРАНТИИ ИЗГОТОВИТЕЛЯ

5.1. Изготовитель гарантирует соответствие технического дициандиамида требованиям настоящего стандарта при соблюдении условий транспортирования и хранения.

(Измененная редакция, Изм. N 2).

5.2. Гарантийный срок хранения - один год со дня изготовления.

(Измененная редакция, Изм. N 3).

6. ТРЕБОВАНИЯ БЕЗОПАСНОСТИ

6.1. Дициандиамид - малотоксичен. По степени воздействия на организм относится к 3-му классу опасности согласно ГОСТ 12.1.007.

6.2. Опасность острого отравления при попадании в желудок и при ингаляции незначительна. 

При постоянном контакте с дициандиамидом наблюдается сухость, шелушение и изъязвление кожи, особенно в складках, зуд, сухость в горле и хриплый голос. При попадании в глаза - боль и резь.

6.3. Предельно допустимая концентрация дициандиамида в воздухе рабочей зоны - 0,5 мг/м, что соответствует предельно допустимой концентрации свободного цианамида - наиболее токсичного вещества этого класса соединений. Концентрацию дициандиамида в воздухе рабочей зоны устанавливают пропусканием измеренного объема анализируемого воздуха через специальные фильтры с последующим определением массовой доли пыли в пробе по привесу фильтра.

6.4. Дициандиамид - трудногорючее вещество. Температура плавления 209°С. При нагревании выше температуры плавления дициандиамид разлагается с выделением аммиака.

Взвешенная в воздухе пыль с влажностью 0,1%, зольностью 0,3%, фракцией 850 мкм, содержащей 1% частиц размером 74 мкм, имеет нижний предел взрываемости 176 г/м3, температура самовоспламенения 845°С. Осевшая пыль пожароопасна.

При возникновении пожара тушение следует производить распыленной водой со "смачивателем", пеной. При объемном тушении нельзя использовать компактные водяные струи, так как струи могут вызвать образование взрывоопасной концентрации пыли.

Необходимо применять газовые огнегасительные составы и высокократную пену.

6.5. При попадании дициандиамида на кожу его следует смыть водой, а при попадании в глаза - промыть водой и обратиться к врачу.

При работах, связанных с пылью дициандиамида, необходимо применять фильтрующий респиратор, спецодежду (костюм хлопчатобумажный, сапоги, перчатки) и защитные очки. Кроме того, нужно проводить профилактическое смазывание кожи рук защитной пастой или мазью.

Все производственные помещения, в которых проводятся работы с дициандиамидом, должны быть оборудованы приточно-вытяжной вентиляцией, места наибольшего пыления - местной вытяжной вентиляцией.

(Измененная редакция, Изм. N 1).


официальное издание
М.: ИПК Издательство стандартов, 1998