Бура ГОСТ 8429-77
бура. Технические условия (с Изменениями N 1, 2, 3, 4, 5) ГОСТ 8429-77
ГОСТ 8429-77
Группа Л14
МЕЖГОСУДАРСТВЕННЫЙ СТАНДАРТ
Технические условия
Borax. Specifications
ОКП 21 4641
Дата введения 1979-01-01
ИНФОРМАЦИОННЫЕ ДАННЫЕ
1. РАЗРАБОТАН И ВНЕСЕН Министерством по производству минеральных удобрений СССР
РАЗРАБОТЧИКИ
В.М.Борисов, А.Я.Сырченков, Б.Ф.Федюшкин, П.М.Зайцев, Г.Б.Иванова
2. УТВЕРЖДЕН И ВВЕДЕН В ДЕЙСТВИЕ Постановлением Государственного комитета стандартов Совета Министров СССР от 31 января 1977 г. N 236
Изменение N 5 принято Межгосударственным Советом по стандартизации, метрологии и сертификации (протокол N 7 от 26.04.95)
За принятие проголосовали:
|
Наименование государства |
Наименование национального органа |
|
Республика Беларусь |
Госстандарт Беларуси |
|
Республика Казахстан |
Госстандарт Республики Казахстан |
|
Российская Федерация |
Госстандарт России |
|
Украина |
Госстандарт Украины |
3. Стандарт соответствует международному стандарту ИСО 1916-72 в части определения бора
4. ВЗАМЕН ГОСТ 8429-69
5. ССЫЛОЧНЫЕ НОРМАТИВНО-ТЕХНИЧЕСКИЕ ДОКУМЕНТЫ
6. Ограничение срока действия снято по протоколу N 3-93 Межгосударственного Совета по стандартизации, метрологии и сертификации (ИУС 5-6-93)
7. ПЕРЕИЗДАНИЕ (октябрь 1998 г.) с Изменениями N 1, 2, 3, 4, 5, утвержденными в феврале 1981 г., декабре 1982 г., июле 1986 г., марте 1988 г., декабре 1995 г. (ИУС 5-81, 4-83, 10-86, 7-88, 2-96)
Настоящий стандарт распространяется на техническую буру (тетраборат натрия), изготовляемую для нужд народного хозяйства.
Формула: Na2B4O7·10H2O
Молекулярная масса (по международным атомным массам 1971 г.) - 381,360.
1.1а. (Исключен, Изм. N 4).
1. ТЕХНИЧЕСКИЕ ТРЕБОВАНИЯ
1.1. бура должна быть изготовлена в соответствии с требованиями настоящего стандарта по технологическому регламенту, утвержденному в установленном порядке.
(Измененная редакция, Изм. N 4).
1.2. В зависимости от назначения буру выпускают марок А и Б, рекомендуемые области применения которых приведены в приложении 1.
(Измененная редакция, Изм. N 4, 5).
1.3. По физико-химическим показателям бура должна соответствовать нормам, указанным в таблице.
Примечание. Показатели 6 и 7 определяют по требованию потребителя.
(Измененная редакция, Изм. N 4).
2. ПРАВИЛА ПРИЕМКИ
2.1. Буру принимают партиями. Партией считают продукт, однородный по показателям качества и сопровождаемый одним документом о качестве, содержащим:
наименование предприятия-изготовителя и его товарный знак;
наименование и марку продукта;
номер партии;
дату изготовления;
массу нетто;
количество мест в партии;
обозначение настоящего стандарта;
результаты проведенных анализов или подтверждение о соответствии качества продукта требованиям настоящего стандарта.
Допускается изготовителю результат анализа сменной выработки распространять на все формируемые из нее партии.
(Измененная редакция, Изм. N 4, 5).
2.2. Для проверки качества упакованного продукта отбирают методом систематической выборки 5% мешков, при упаковке в контейнеры - каждый контейнер; а для продукта, предназначенного для розничной торговли, - 3% ящиков, но не менее трех ящиков.
Для проверки качества буры, находящейся в движении, отбирают 0,2 кг от 3-5 т продукта.
(Измененная редакция, Изм. N 2).
2.3. При получении неудовлетворительных результатов анализа хотя бы по одному из показателей проводят повторный анализ на удвоенной выборке.
Результаты повторного анализа распространяются на всю партию.
3. МЕТОДЫ АНАЛИЗА
3.1. Отбор проб
3.1а. Общие требования
Числовые значения результата анализа каждого показателя округляют до наименьшего разряда, указанного для данного показателя в таблице.
Допускается применять любые методы анализа, имеющие точностные характеристики не ниже установленных настоящим стандартом.
При разногласиях в оценке показателя качества анализ проводят методами, указанными в настоящем стандарте.
Допускается применять средства измерения с точностными характеристиками и оборудование с техническими характеристиками не хуже, а также реактивы по качеству не ниже указанных в настоящем стандарте.
(Измененная редакция, Изм. N 5).
3.1.1. Точечные пробы продукта, находящегося в движении, отбирают через равные интервалы времени вручную или механическим пробоотборником любой конструкции, обеспечивающим получение массы точечной пробы не менее 100 г от 3-5 т продукта.
Точечные пробы от упакованного продукта отбирают пробоотборником любой конструкции, погружая его не менее чем на 1/2 глубины мешка или контейнера. Масса точечной пробы при этом должна быть не менее 100 г.
Для контроля качества буры, предназначенной для розничной торговли, отбирают не менее двух пакетов от каждого ящика.
У изготовителя точечные пробы могут быть отобраны из мешков и контейнеров перед их зашиванием или завязыванием.
(Измененная редакция, Изм. N 4, 5).
3.1.2. Точечные пробы соединяют, перемешивают и сокращают квартованием или на механическом сократителе до получения средней пробы массой не менее 0,5 кг.
Среднюю пробу помещают в полиэтиленовый мешок или чистую сухую банку. Мешок завязывают, банку плотно закрывают.
На банку, мешок наносят (или в мешок вкладывают) обозначения с указанием наименования предприятия-изготовителя, наименования продукта (и назначения - для буры, предназначенной для розничной торговой сети), номера партии, даты отбора пробы.
(Измененная редакция, Изм. N 2, 4).
3.2. Внешний вид определяют визуально
3.3. Определение массовой доли буры
3.3.1. Средства измерений, реактивы и растворы
Бюретка вместимостью 50 см3.
Весы лабораторные по ГОСТ 24104* 2-го и 4-го классов точности с наибольшими пределами взвешивания 200 г и 1 кг.
_______________
* На территории Российской Федерации действует ГОСТ 24104-2001, здесь и далее по тексту. - Примечание изготовителя базы данных.
Баня водяная.
Колбы 1(2)-500-2 и 1(2)-50-2 ГОСТ 1770.
Колба Кн-1(2)-250 ГОСТ 25336.
Гири по ГОСТ 7328* 2-го класса точности.
_______________
* На территории Российской Федерации действует ГОСТ 7328-2001, здесь и далее по тексту. - Примечание изготовителя базы данных.
Пипетка вместимостью 50 см3.
Стакан Н-1-500 ГОСТ 25336.
Цилиндр по ГОСТ 1770.
Вода дистиллированная по ГОСТ 6709, не содержащая углекислоты; готовят по ГОСТ 4517.
глицерин по ГОСТ 6259, ч.д.а., раствор, разбавленный 1:1 и нейтрализованный по фенолфталеину раствором гидроокиси натрия концентрации c(NaOH)=0,1 моль/дм3.
Д (-) Маннит по НТД, ч.д.а.
Д (-) Сорбит.
Кислота серная по ГОСТ 4204, раствор с массовой долей 15%.
кислота соляная по ГОСТ 3118, раствор концентрации c(НСl)=0,5 моль/дм3.
Метиловый красный (индикатор), спиртовой раствор с массовой долей 0,1%; готовят по ГОСТ 4919.1.
Натрия гидроокись по ГОСТ 4328, растворы концентрации c(NaOH)=0,1 моль/дм3, c(NaOH)=0,5 моль/дм3 и раствор с массовой долей 12%; коэффициент поправки 0,5 моль/дм3 раствора устанавливают по ГОСТ 25794.1.
Сахар-рафинад по ГОСТ 22.
Сахар инвертированный, раствор; готовят следующим образом: (3,0±0,1) кг сахара-рафинада растворяют в 1 дм3 воды, осторожно нагревают до начала кипения. Затем быстро приливают 25 см3 раствора серной кислоты, перемешивают в течение 1 мин и прибавляют, перемешивая, 1,5 дм3 воды, к которой предварительно добавлено 25 см3 раствора гидроокиси натрия с массовой долей 12%. Охлажденный раствор должен быть бесцветным по фенолфталеину.
Фенолфталеин (индикатор), спиртовой раствор с массовой долей 1%; готовят по ГОСТ 4919.1.
Фильтр бумажный беззольный "белая лента".
3.3.2. Проведение анализа
(15,0000±0,1000) г буры помещают в стакан вместимостью 500 см3, растворяют в 200-250 см3 горячей воды. Раствор выдерживают на кипящей водяной бане в течение 30 мин и фильтруют через фильтр "белая лента".
Остаток на фильтре промывают горячей водой, собирая фильтрат и промывные воды в мерную колбу вместимостью 500 см3. Общий объем раствора не должен быть менее 400 см3. Содержимое колбы охлаждают, доливают водой до метки и перемешивают (раствор А). (Фильтр с осадком сохраняют для определения массовой доли остатка, не растворимого в воде, в соответствии с п.3.4).
50 см3 раствора А переносят в коническую колбу вместимостью 250 см3, добавляют 3 капли метилового красного и раствор соляной кислоты до изменения цвета раствора из желтого в розовый. Раствор нагревают до кипения и кипятят 2 мин, охлаждают и нейтрализуют избыток кислоты раствором гидроокиси натрия концентрации 0,1 моль/дм3 до желтого цвета. К нейтральному раствору прибавляют 5 капель фенолфталеина, 5-6 г маннита или сорбита и титруют раствором гидроокиси натрия концентрации 0,5 моль/дм3 до розовой окраски. Затем добавляют еще 3 г маннита или сорбита и, если розовая окраска исчезнет, продолжают титровать до устойчивой розовой окраски, не исчезающей при последующем добавлении маннита или сорбита.
Допускается проводить анализ с глицерином или раствором инвертированного сахара. В этом случае к анализируемому раствору добавляют 50 см3 раствора глицерина или 20 см3 раствора инвертированного сахара и титруют раствором гидроокиси натрия концентрации 0,5 моль/дм3 до появления розовой окраски. Затем добавляют еще 25 см3 раствора глицерина или 10 см3 раствора инвертированного сахара и далее проводят анализ, как указано выше.
3.3.1-3.3.2. (Измененная редакция, Изм. N 4, 5).
3.3.3. Обработка результатов
Массовую долю буры (X) в процентах вычисляют по формуле
где V - объем раствора гидроокиси натрия концентрации точно c(NaOH)=0,5 моль/дм3, израсходованный на титрование анализируемой пробы, см;
0,04768 - масса буры, соответствующая 1 см3 раствора гидроокиси натрия концентрации точно c(NaOH)=0,5 моль/дм3, г;
m - масса навески, г.
За результат анализа принимают среднее арифметическое значение результатов двух параллельных определений, абсолютное расхождение между которыми не превышает допускаемое, равное 0,15% при доверительной вероятности P=0,95.
(Измененная редакция, Изм. N 4,5).
3.3.4. Допускается определять массовую долю буры по ИСО 1916 (приложение 2).
Для пересчета установленного содержания окиси бора в продукте на основное вещество необходимо результат анализа умножить на коэффициент пересчета - 2,738.
(Введен дополнительно, Изм. N 5).
3.4. Определение массовой доли остатка, не растворимого в воде
(Измененная редакция, Изм. N 4).
3.4.1. Средства измерений, реактивы и растворы
Весы лабораторные по ГОСТ 24104 2-го класса точности с наибольшим пределом взвешивания 200 г.
Гири по ГОСТ 7328 2-го класса точности.
Печь электрическая муфельная, обеспечивающая температуру нагрева (700±20) °С.
Тигель фарфоровый по ГОСТ 9147.
кальций хлористый, предварительно прокаленный при 250-300 °С в течение 1-2 ч.
3.4.2. Проведение анализа
Фильтр с осадком, полученным, как указано в п.3.3, помещают в предварительно взвешенный с точностью до четвертого десятичного знака фарфоровый тигель, сушат в сушильном шкафу, озоляют и прокаливают в электропечи при температуре 700 °С в течение 15 мин, затем охлаждают в эксикаторе над хлористым кальцием и взвешивают с такой же точностью.
3.4.3. Обработка результатов
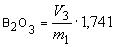
Массовую долю остатка, не растворимого в воде, (X1) в процентах вычисляют по формуле
где m1 - масса остатка после прокаливания, г;
m - масса навески, г.
За результат анализа принимают среднее арифметическое значение результатов двух параллельных определений, абсолютное расхождение между которыми не превышает допускаемое, равное 0,002% при доверительной вероятности P=0,95.
3.4.1-3.4.3. (Измененная редакция, Изм. N 4, 5).
3.5. Определение массовой доли карбонатов
3.5.1. Средства измерений, реактивы и растворы
Весы лабораторные по ГОСТ 24104 4-го класса точности с наибольшим пределом взвешивания 500 г.
Барометр.
Газоанализатор типа ГОУ-1 (см. черт.1а).
Спиртовка или электроплитка.
Термометр по ГОСТ 28498 с ценой деления 0,5 °С.
Вода дистиллированная по ГОСТ 6709.
Калия гидроокись по ГОСТ 24363, раствор с массовой долей 40%.
кислота соляная по ГОСТ 3118, разбавленная 1:1.
Метиловый красный (индикатор), спиртовой раствор с массовой долей 0,1%; готовят по ГОСТ 4919.1.
Натрий хлористый по ГОСТ 4233, насыщенный раствор.
Спирт этиловый технический по ГОСТ 17299.
(Измененная редакция, Изм. N 3, 4, 5).
3.5.2. Проведение анализа
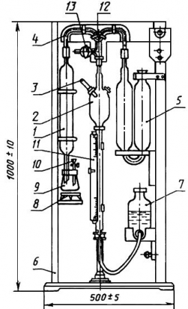
Для определения содержания карбонатов пользуются прибором (см. черт.1а).
1 - холодильник; 2 - газоизмерительная бюретка; 3 - термометр; 4 - соединительная гребенка;
5 - поглотительный сосуд: 6 - штатив; 7- уравнительная склянка; 8 - электроплитка или спиртовка;
9 - реакционная колба; 10 - воронка с пробкой; 11 - наружная шкала;
12 - трехходовой (центральный) кран; 13 - двухходовой (боковой) кран
Черт.1а
Поглотительный сосуд (5) заполняют 40%-ным раствором гидроокиси калия, газоизмерительную бюретку (2) и уравнительную склянку (7) - насыщенным раствором хлористого натрия, к которому добавлено несколько капель соляной кислоты и раствора индикатора метилового красного.
Перед выполнением анализа прибор проверяют на герметичность. Для этого газоизмерительную бюретку соединяют с атмосферой при помощи двухходового крана (13) и, поднимая уравнительную склянку, заполняют газоизмерительную бюретку раствором и двухходовой кран закрывают.
Затем с помощью трехходового крана (12) соединяют газоизмерительную бюретку с реакционной колбой (9) вместимостью 50 см3 и опускают уравнительную склянку. Если прибор герметичен, то уровень жидкости в газоизмерительной бюретке должен оставаться без изменения, а поглотительный сосуд - заполненным.
(10,00±0,10) г буры помещают в реакционную колбу. В воронку при закрытом кране наливают 30 см3 раствора соляной кислоты. Трехходовым краном соединяют газоизмерительную бюретку с реакционной колбой через холодильник (1). Уровень жидкости в газоизмерительной бюретке несколько понижается, но не должен установиться на одном уровне. Открывают кран воронки (10) и приливают в колбу примерно 25 см3 раствора соляной кислоты, закрывают кран воронки и нагревают жидкость в колбе сначала осторожно, а затем кипятят до прекращения выделения пузырьков газа. Выделившийся углекислый газ поступает в газоизмерительную бюретку и уровень жидкости понижается. После прекращения нагревания открывают кран воронки и выливают остатки кислоты в колбу. При этом уровень жидкости в газоизмерительной бюретке должен установиться на нулевом делении шкалы; если жидкость не опустится до нуля, то следует открыть двухходовой кран. Установив уровень жидкости на нулевом делении, двухходовой кран закрывают. Затем трехходовым краном соединяют газоизмерительную бюретку с поглотительным сосудом, поднимают уравнительную склянку вверх, вытесняя углекислый газ из газоизмерительной бюретки в поглотительный сосуд. Опускают уравнительную склянку. Операцию вытеснения газа повторяют два раза. После второго перекачивания газа поворотом трехходового крана разобщают газоизмерительную бюретку и поглотительный сосуд и устанавливают мениски на газоизмерительной бюретке и уравнительной склянке на одном уровне. По шкале (11) отмечают объем поглощенного углекислого газа.
3.5.3. Обработка результатов
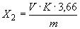
Массовую долю карбонатов (X2) в процентах вычисляют по формуле
где V - показание шкалы газоизмерительной бюретки после поглощения углекислого газа, %;
K - поправочный коэффициент на давление и температуру (определяется по таблице, прилагаемой к газоанализатору);
3,66 - коэффициент пересчета углерода на углекислый газ;
m - масса навески, г.
За результат анализа принимают среднее арифметическое значение результатов трех параллельных определений, абсолютное расхождение между которыми не превышает допускаемое, равное 0,02% при доверительной вероятности P=0,95.
3.5.2-3.5.3. (Измененная редакция, Изм. N 2, 4, 5).
3.6. Определение массовой доли сульфатов
Определение проводят по ГОСТ 10671.5.
При этом откалиброванной пипеткой вместимостью 2 см2 отбирают раствор А, полученный по п.3.3, в количестве:
2 см2 - для буры марки А;
1 см2 - для буры марки Б,
помещают в колориметрический стаканчик (В-1(2)-50(100) по ГОСТ 25336) или в колбу (Кн-1-50(100) по ГОСТ 25336), добавляют раствор соляной кислоты с массовой долей 10% до обесцвечивания раствора по фенолфталеину (спиртовой раствор с массовой долей 1%; готовят по ГОСТ 4919.2), разбавляют водой (ГОСТ 6709) до 25 см2 и далее анализ проводят визуально-нефелометрическим методом по способу 1 или фототурбидиметрическим методом.
При определении визуально-нефелометрическим методом буру считают соответствующей требованиям настоящего стандарта, если через 30 мин опалесценция анализируемого раствора при рассматривании на темном фоне не будет интенсивнее опалесценции образцового раствора, приготовленного одновременно и содержащего в том же объеме 0,06 мг сульфат-иона и те же количества реактивов.
Погрешность определения массовой доли сульфатов не должна превышать 10% относительно нормы, установленной для этого показателя, при доверительной вероятности P=0,95.
(Измененная редакция, Изм. N 4, 5).
3.7. Определение массовой доли тяжелых металлов
3.7.1. Средства измерений, реактивы и растворы
Колба Кн-1(2)-100 по ГОСТ 25336.
Цилиндр по ГОСТ 1770.
кислота соляная по ГОСТ 3118, раствор с массовой долей 10%.
Фенолфталеин (индикатор), раствор с массовой долей 1%; готовят по ГОСТ 4919.1.
(Измененная редакция, Изм. N 4, 5).
3.7.2. Проведение анализа
Определение проводят по ГОСТ 17319. При этом цилиндром отмеряют 33 см2 раствора А, полученного, как указано в п.3.3, помещают в коническую колбу вместимостью 100 см2 с притертой или резиновой пробкой, добавляют соляную кислоту до обесцвечивания раствора по фенолфталеину и далее анализ проводят сероводородным методом.
Буру считают соответствующей требованиям настоящего стандарта, если через 15 мин окраска анализируемого раствора на фоне молочного стекла в проходящем свете не будет интенсивнее окраски образцового раствора, приготовленного одновременно и содержащего в том же объеме при тех же количествах реактивов, свинца:
0,05 мг - для буры марки А;
0,1 мг - для буры марки Б.
Погрешность определения массовой доли тяжелых металлов не должна превышать 10% от нормы, установленной для этого показателя, при доверительной вероятности P=0,95.
(Введен дополнительно, Изм. N 4).
3.8. Определение массовой доли мышьяка
3.8.1. Средства измерений, реактивы и растворы
Весы лабораторные по ГОСТ 24104 2-го класса точности с наибольшим пределом взвешивания 200 г.
Гири по ГОСТ 7328 2-го класса точности.
Колба Кн-1(2)-100 по ГОСТ 25336.
Цилиндр по ГОСТ 1770.
Бумага бромнортутная или хлорнортутная; готовят следующим образом: полоски бумаги "полуватман" погружают на 1 ч в раствор бромной или хлорной ртути, сушат на воздухе и нарезают на квадраты размером 15х15 мм. Бумагу хранят в темной стеклянной банке с притертой пробкой (годна к применению в течение месяца).
Вода дистиллированная по ГОСТ 6709.
Кислота серная по ГОСТ 4204, концентрированная и раствор с массовой долей 15%.
Метиловый красный (индикатор), раствор с массовой долей 0,1%; готовят по ГОСТ 4919.1.
Олово двухлористое, раствор с массовой долей 10%; готовят по ГОСТ 4517.
парафин для лабораторных целей.
Раствор, содержащий 0,001 мг мышьяка в 1 см2 (раствор Б); готовят по ГОСТ 4212 (раствор годен в течение всего дня приготовления).
Ртуть бромная, спиртовой раствор с массовой долей 5%.
Ртуть хлорная, спиртовой раствор с массовой долей 5%.
Свинец уксуснокислый по ГОСТ 1027, раствор с массовой долей 5%.
Спирт этиловый ректификованный технический по ГОСТ 18300.
Цинк гранулированный, "без мышьяка".
(Измененная редакция, Изм. N 4, 5).
3.8.2. Проведение анализа
Для определения содержания мышьяка пользуются прибором (см. черт.1 и 2).
1 - колба вместимостью 100 см3; 2 - тампон из ваты: 3 - трубка; 4 - квадрат бромнортутной бумаги;
5 - отрезанная часть трубки; 6 - стеклянные крючки
Черт.1
Черт.2
В нижнюю часть трубки помещают тампон из ваты, смоченный раствором уксуснокислого свинца и отжатый почти досуха, поверх него кладется еще небольшой кусочек сухой ваты. На верхний срез трубки помещают квадрат бромнортутной или хлорнортутной бумаги и прижимают ее отрезанной частью с помощью резинок, надеваемых на стеклянные крючки. Края трубок должны быть плоскими и плотно пригнанными друг к другу.
(1,00±0,10) г буры помещают в колбу прибора, на которую предварительно наносят метку на уровне 60 см3, и растворяют в 40 см3 кипящей воды. После охлаждения раствора прибавляют каплю метилового красного и нейтрализуют 15%-ной серной кислотой, прибавляют вначале 1,5 см3 кислоты, а затем по каплям до изменения окраски индикатора. Приливают 10 см3 концентрированной серной кислоты, 1 см3 раствора двухлористого олова, доливают водой до метки и перемешивают. Затем в колбу опускают 5 г гранулированного цинка и быстро закрывают пробкой, в которую вставлена подготовленная трубка прибора. Содержимое склянки осторожно перемешивают вращательными движениями.
Через 1,5 ч снимают квадрат бромнортутной или хлорнортутной бумаги и погружают его в расплавленный парафин.
Буру считают соответствующей требованиям настоящего стандарта, если окраска бумаги от анализируемого раствора не будет интенсивнее окраски от образцового раствора, содержащего в том же объеме 10 см3 раствора Б и те же количества реактивов.
Погрешность определения массовой доли мышьяка не должна превышать 10% относительно нормы, установленной для этого показателя, при доверительной вероятности P=0,95.
(Измененная редакция, Изм. N 2, 4, 5).
4. УПАКОВКА, МАРКИРОВКА, ТРАНСПОРТИРОВАНИЕ И ХРАНЕНИЕ
4.1. Буру упаковывают в четырехслойные бумажные мешки марок ВМ, ПМ, БМП или ВМП по ГОСТ 2226, а также пленочные мешки-вкладыши, которые должны вкладываться в мешки следующих видов: льно-джуто-кенафные по ГОСТ 30090, или в четырехслойные бумажные мешки по ГОСТ 2226, или в мешки, дублированные резино-битумной смесью.
Допускается упаковывать буру в специализированные мягкие контейнеры по существующей нормативно-технической документации.
Буру, транспортируемую из районов Крайнего Севера и приравненных к ним районов, упаковывают в специализированные мягкие контейнеры типов МКР-1, ОС, МК-1, ОЛ или в два вложенных один в другой мешка: внутренние - четырехслойные бумажные мешки по ГОСТ 2226 или полиэтиленовые мешки по ГОСТ 17811; наружные - льно-джуто-кенафные мешки по ГОСТ 30090 или четырехслойные бумажные мешки по ГОСТ 2226 или бумажные мешки, дублированные резино-битумной смесью. Допускается при транспортировании железнодорожным транспортом упаковывать буру в специализированные мягкие контейнеры типа МКР-1, ОМ без перевалок в пути следования с погрузкой и выгрузкой на подъездных путях предприятий.
Бумажные, льно-джуто-кенафные мешки и полиэтиленовые вместе с бумажными мешками зашивают машинным способом.
Масса нетто мешков не более 40 кг.
Буру, предназначенную для экспорта, упаковывают, маркируют и транспортируют в соответствии с требованиями договора между предприятием и внешнеэкономическими организациями.
При мелких отправках мешки с продуктом дополнительно упаковывают в дощатые плотные ящики по ГОСТ 18573 или деревянные сухотарные бочки вместимостью от 25 до 250 дм по ГОСТ 8777.
(Измененная редакция, Изм. N 4, 5).
4.2. Буру для розничной торговой сети упаковывают в двойные пакеты из полиэтиленовой пленки по ГОСТ 10354, массой нетто (0,1±0,001) кг.
В качестве транспортной тары применяют мешки бумажные по ГОСТ 2226 или полиэтиленовые по ГОСТ 17811, а также ящики из гофрированного картона по ГОСТ 13841 или деревянные по ГОСТ 18573.
Полиэтиленовые пакеты и мешки заваривают или зашивают, бумажные мешки зашивают машинным способом.
Деревянные ящики внутри выкладывают оберточной бумагой по ГОСТ 8273.
Масса брутто транспортной тары - 15 кг.
(Измененная редакция, Изм. N 5).
4.3. Транспортная маркировка - по ГОСТ 14192 с нанесением на мешки манипуляционного знака "Беречь от влаги".
Кроме того, на транспортную тару с продуктом наносится маркировка, содержащая следующие данные, характеризующие продукцию:
наименование и марку продукта;
номер партии;
дату изготовления;
обозначение настоящего стандарта.
(Измененная редакция, Изм. N 2, 3, 4, 5).
4.4. На пакеты с бурой, предназначенной для розничной торговой сети, на ярлык наносят следующие маркировочные данные:
а) наименование продукта и его назначение;
б) массу нетто;
в) дату изготовления;
г) наименование предприятия-изготовителя и его товарный знак;
д) обозначение настоящего стандарта;
е) способ применения и меры предосторожности при применении;
ж) срок годности продукта.
Ярлык должен быть многоцветным и красочно оформленным.
Допускается наносить маркировку окраской по трафарету или методом штамповки.
(Измененная редакция, Изм. N 2).
4.5. (Исключен, Изм. N 2).
4.6. Буpy транспортируют железнодорожным и автомобильным транспортом в соответствии с правилами перевозки грузов, действующими на данном виде транспорта.
По железной дороге буру перевозят повагонными и мелкими отправками в пакетированном виде.
Буру, упакованную в мешки, транспортируют в крытых транспортных средствах, в универсальных контейнерах, а упакованную в специализированные мягкие контейнеры, транспортируют на открытом подвижном составе согласно техническим условиям погрузки и крепления грузов, утвержденным Министерством путей сообщения, а также открытым автомобильным транспортом.
При повагонных отправках вагоны следует загружать продуктом одной марки.
Транспортирование продукта пакетами - в соответствии с ГОСТ 26663, выбор средств скрепления пакетов - по ГОСТ 21650. Габаритные размеры и масса брутто пакетов должны соответствовать ГОСТ 24597. Допускается по согласованию с потребителем отгрузка продукта в непакетированном виде.
(Измененная редакция, Изм. N 4, 5).
4.7. Буру хранят в упакованном виде в закрытых складских помещениях.
Продукт, упакованный в контейнеры, допускается хранить на незагрязненных открытых площадках, имеющих твердое покрытие со стоком вод при условиях, обеспечивающих работу грузовых механизмов.
(Измененная редакция, Изм. N 3).
5. ГАРАНТИИ ИЗГОТОВИТЕЛЯ
5.1. Изготовитель должен гарантировать соответствие буры требованиям настоящего стандарта при соблюдении условий транспортирования и хранения.
(Измененная редакция, Изм. N 3).
5.2. Гарантийный срок хранения буры - шесть месяцев со дня изготовления, а для розничной торговой сети - шесть месяцев со дня продажи через розничную торговую сеть.
(Измененная редакция, Изм. N 2).
6. ТРЕБОВАНИЯ БЕЗОПАСНОСТИ
6.1. бура пожаро- и взрывобезопасна. Токсичность продукта, получаемого при нейтрализации борной кислоты карбонатом натрия, обусловлена основным исходном компонентом - борной кислотой.
По степени воздействия на организм борная кислота является веществом умеренно опасным, 3-й класс опасности по ГОСТ 12.1.005.
6.2. бура попадает в организм при вдыхании в виде пыли или аэрозоли, оказывая раздражающее действие на слизистые оболочки. При поступлении в организм в значительных количествах бура может вызвать отравление.
6.3. Предельно допустимая концентрация борной кислоты в воздухе рабочей зоны по ГОСТ 12.1.005 установлена 10 мг/м3.
Концентрацию продукта в воздухе рабочей зоны определяют по методике, соответствующей требованиям ГОСТ 12.1.016 и утвержденной в установленном порядке.
6.4. В воздушной среде и сточных водах в присутствии других веществ или факторов бура токсичных веществ не образует.
6.5. Воздух, выбрасываемый в атмосферу, очищают до установленных предельно допустимых норм. Сточные воды, образующиеся в результате смывов, влажной уборки, возвращают в технологический процесс или обезвреживают с последующим направлением в промышленную канализацию.
Сброс сточных вод в общую систему очистки осуществляют в соответствии с инструкцией по приему стоков в городскую канализацию.
6.6. В целях защиты персонала предусматривают герметизацию оборудования и коммуникаций.
Производственные и лабораторные помещения, в которых проводят работу с бурой, оснащают приточно-вытяжной вентиляцией по ГОСТ 12.4.021, обеспечивающей состояние воздуха рабочей зоны в соответствии с требованиями ГОСТ 12.1.005. Места, где проводят операции по обработке проб, снабжают местной вытяжной вентиляцией.
Работающие с бурой применяют для защиты органов дыхания средства индивидуальной защиты по ГОСТ 12.4.034, для защиты лица и глаз - очки защитные по ГОСТ 12.4.013*, а также пользуются специальной одеждой, обувью и средствами защиты рук по ГОСТ 12.4.103.
_______________
* На территории Российской Федерации действует ГОСТ Р 12.4.013-97**.
** На территории Российской Федерации с 01.07.2008 г. действует ГОСТ Р 12.4.230.1-2007;
На территории Российской Федерации действует ГОСТ 12.4.034-2001. - Примечание изготовителя базы данных.
6.7. Анализ буры проводят с соблюдением основных правил безопасной работы в химических лабораториях*, утвержденных в установленном порядке.
________________
* На территории Российской Федерации документ не действует. Действует ПНД Ф 12.13.1-03. - Примечание изготовителя базы данных.
6.8. При погрузке и разгрузке буры соблюдают требования безопасности по ГОСТ 12.3.009.
6.9. Буру, не выдержавшую испытании, утилизируют в технологическом цикле производства продукта.
6.10. Пакеты с бурой, предназначенные для розничной торговли, хранят в сухом прохладном месте, недоступном для детей и животных.
При применении буры в составе приманок для борьбы с бытовыми насекомыми соблюдают следующие меры предосторожности:
приготовление приманки проводят в стеклянной посуде, избегая попадания буры на кожу;
при проведении работ соблюдают правила личной гигиены;
приманку раскладывают и хранят отдельно от пищевых продуктов в местах, недоступных для детей и животных.
Раздел 6. (Измененная редакция, Изм. N 5).
ПРИЛОЖЕНИЕ 1 (рекомендуемое). Области применения буры
ПРИЛОЖЕНИЕ 1
(Рекомендуемое)
|
Обозначение марки |
Область применения |
|
А |
Производство цветных металлов, фарфорофаянсовой посуды, фритт, поставка на экспорт, для специальных и других целей |
|
Б |
Производство эмалей и глазурей, применяемых при изготовлении технического оборудования, сантехнических изделий, в процессе волочения проволоки, в составе сварочных флюсов, припоев и др. |
ПРИЛОЖЕНИЕ 2 (рекомендуемое). ИСО 1916-72 ДИНАТРИЙТЕТРАБОРАТ ТЕХНИЧЕСКИЙ. Метод определения массовой доли окиси натрия и окиси бора и потерь при прокаливании
ПРИЛОЖЕНИЕ 2
(Рекомендуемое)
ДИНАТРИЙТЕТРАБОРАТ ТЕХНИЧЕСКИЙ
Метод определения массовой доли окиси натрия и окиси бора
и потерь при прокаливании
1. Назначение и область применения
Настоящий международный стандарт устанавливает метод определения массовой доли окиси натрия и окиси бора и потерь при прокаливании в техническом динатрийтетраборате в различных состояниях гидратации.
2. Сущность метода
Определение массовой доли окиси натрия добавлением избытка раствора соляной кислоты и обратное титрование титрованным раствором гидроокиси натрия в присутствии метилового красного в качестве индикатора.
Последующее титрование окиси бора титрованным раствором гидроокиси натрия в присутствии маннита или сорбита с использованием фенолфталеина в качестве индикатора.
Определение потери при прокаливании при 900 °С, выражаемой обычно как массовая доля воды.
3. Реактивы
В процессе испытания следует применять дистиллированную воду или воду эквивалентной чистоты, очищенную от углекислого газа.
3.1. Нейтральный маннит или нейтральный сорбит, соответствующий следующему требованию: для нейтрализации 5,0 г продукта, растворенного в 50 см3 воды, не содержащей углекислого газа, требуется не более 0,3 см3 0,02 моль/дм3 раствора гидроокиси натрия с использованием раствора фенолфталеина в качестве индикатора.
3.2. кислота соляная, 0,5 моль/дм3 титрованный раствор.
3.3. Гидроокись натрия, 0,5 моль/дм3 титрованный раствор, не содержащий карбоната.
3.4. Раствор индикатора метилового красного, приготовленный следующим образом:
0,01 г метилового красного и 0,01 г бромкрезолового зеленого растворяют в 95%-ном (по объему) этиловом спирте и разбавляют до 100 см3 тем же спиртом.
3.5. Фенолфталеин, раствор в этиловом спирте, концентрации 10 г/дм3, приготовленный следующим образом: 1 г фенолфталеина растворяют в 95%-ном (по объему) этиловом спирте, разбавляют до 100 см3 тем же спиртом и прибавляют 0,02 моль/дм3 раствора гидроокиси натрия до появления розовой окраски.
4. Аппаратура
Обычная лабораторная аппаратура, а также приведенные ниже приборы.
4.1. Платиновый тигель диаметром 35 мм и глубиной 40 мм с крышкой.
4.2. Электрическая печь, обеспечивающая температуру (900±50) °С.
5. Отбор проб
Отбор проб производят в соответствии с требованиями международного стандарта ИСО 8213-86.
6. Методика испытания
6.1. Проба для анализа
Масса пробы для анализа и точность взвешивания должны соответствовать указанным в таблице.
|
Определение окиси натрия и окиси бора |
Определение потери при прокаливании |
|||
|
Предполагаемое состояние гидратации (молекулы воды) |
Масса пробы |
Точность взвешивания, г |
Масса пробы |
Точность взвешивания, г |
|
0 (безводный) |
0,5 |
±0,0005 |
2,0 |
±0,0002 |
|
5 |
1,0 |
±0,0005 |
1,0 |
±0,0005 |
|
10 |
1,0 |
±0,0005 |
1,0 |
±0,0005 |
6.2. Определение массовой доли окиси натрия
Пробу для анализа растворяют в 70 см3 воды при нагревании. Полученный раствор охлаждают до комнатной температуры, прибавляют 0,4 см3 раствора индикатора метилового красного и 0,5 см3 раствора соляной кислоты, затем титруют раствором гидроокиси натрия до появления желтой окраски. Полученный раствор оставляют для определения массовой доли окиси бора.
Одновременно определяют эквивалентность двух растворов (пп.3.2 и 3.3), для чего смешивают 25,0 см3 раствора соляной кислоты и приблизительно 500 см3 воды, затем прибавляют раствор индикатора метилового красного и титруют раствором гидроокиси натрия до появления желтой окраски.
6.3. Определение массовой доли окиси бора
К раствору, оставшемуся после определения содержания окиси натрия, прибавляют приблизительно 15 г маннита или сорбита и 0,4 см3 раствора фенолфталеина, затем титруют раствором гидроокиси натрия до появления розовой окраски.
Примечание. При прибавлении маннита или сорбита раствор становится красным; при титровании раствором гидроокиси натрия раствор приобретает желтую окраску, а в конце титрования - розовую окраску фенолфталеина.
Чтобы убедиться в том, что титрование закончилось, можно приготовить цветной контрольный раствор для сравнения с титруемым раствором. Контрольный раствор приготовляют, смешивая:
50 см3 раствора декагидрата динатрийтетрабората (Na2B4O7·10H2O), приготовленного из расчета 3,81 г/дм3;
100 см3 воды;
1,0 см3 титрованного раствора соляной кислоты;
0,4 см3 раствора индикатора метилового красного;
0,4 см3 раствора фенолфталеина.
Равные объемы контрольного и титруемого растворов следует сравнивать в одинаковых химических стаканах.
6.4. Определение потери при прокаливании
6.4.1. Безводная соль
Пробу для анализа (см. таблицу) взвешивают в тарированном платиновом тигле с крышкой. Тигель помешают в электрическую печь с регулируемой температурой (900±50) °С на 15 мин, затем вынимают его из печи, охлаждают в эксикаторе и снова взвешивают.
6.4.2. Гидратированная соль
Пробу для анализа взвешивают (см. таблицу) в тарированном платиновом тигле с крышкой. Пламя горелки Бунзена регулируют так, чтобы его высота была 50 мм. Горелку закрепляют почти в горизонтальном положении так, чтобы пламя слегка отклонялось вниз. Тигель закрывают и устанавливают так, чтобы пламя горелки Бунзена обогревало крышку; нагревание продолжают в течение 20 мин. Затем нагревают тигель с помощью горелки обычным способом снизу в течение 10 мин. Закрытый тигель переносят в электрическую печь и выдерживают 15 мин при температуре (900±50) °С, вынимают его из печи, охлаждают в эксикаторе и снова взвешивают вместе с крышкой.
7. Обработка результатов
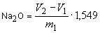
7.1. Массовую долю окиси натрия (Na2O) в процентах по массе определяют по формуле
где V2 - объем раствора гидроокиси натрия, израсходованный при титровании 25 см3 раствора соляной кислоты, см3;
V1 - объем раствора гидроокиси натрия, израсходованный при титровании избытка раствора соляной кислоты, см3;
m1 - масса пробы для анализа, г.
7.2. Массовую долю окиси бора (B2O3) в процентах по массе определяют по формуле
где V3 - объем раствора гидроокиси натрия, израсходованный при титровании после прибавления маннита или сорбита, см3;
m1 - масса пробы для анализа, г.
7.3. Потерю при прокаливании (обычно выражаемую как массовую долю воды)
в процентах по массе определяют по формуле
где m2 - масса пробы для анализа, г;
m3 - масса пробы для анализа после прокаливания, г.
ПРИЛОЖЕНИЯ 1, 2. (Введены дополнительно, Изм. N 5).
официальное издание
М.: ИПК Издательство стандартов, 1998
