Ангидрид сернистый жидкий технический ГОСТ 2918-79
Ангидрид сернистый жидкий технический. Технические условия (с Изменениями N 1, 2) ГОСТ 2918-79
ГОСТ 2918-79
Группа Л12
МЕЖГОСУДАРСТВЕННЫЙ СТАНДАРТ
АНГИДРИД СЕРНИСТЫЙ ЖИДКИЙ ТЕХНИЧЕСКИЙ
Технические условия
Technical liguid sulphur dioxide.
Specifications
ОКП 21 2311 0100 04
Дата введения 1980-01-01
ИНФОРМАЦИОННЫЕ ДАННЫЕ
1. РАЗРАБОТАН И ВНЕСЕН Министерством химической промышленности СССР
2. УТВЕРЖДЕН И ВВЕДЕН В ДЕЙСТВИЕ Постановлением Государственного комитета СССР по стандартам от 19.02.79 N 621
3. ВЗАМЕН ГОСТ 2918-72
4. ССЫЛОЧНЫЕ НОРМАТИВНО-ТЕХНИЧЕСКИЕ ДОКУМЕНТЫ
|
Обозначение НТД, на который дана ссылка |
Номер пункта, подпункта |
|
ГОСТ 12.1.005-88 |
2.1 |
|
ГОСТ 949-73 |
4.1.2.1, 5.1, 5.6 |
|
4.3.1 |
|
|
ГОСТ 1050-88 |
4.1.2.1 |
|
ГОСТ 1770-74 |
4.2а |
|
ГОСТ 3956-76 |
4.2.1 |
|
4.2.1, 4.3.1 |
|
|
ГОСТ 4212-76 |
4.3.1 |
|
ГОСТ 4517-87 |
4.3.1 |
|
ГОСТ 5556-81 |
4.3.1 |
|
4.2а |
|
|
ГОСТ 7328-82 |
4.2а |
|
ГОСТ 8733-74 |
4.1.2.1 |
|
ГОСТ 8734-75 |
4.1.2.1 |
|
4.4.1 |
|
|
ГОСТ 9909-81 |
4.1.2.2 |
|
ГОСТ 13837-79 |
4.1.2.1 |
|
ГОСТ 14192-96 |
5.3 |
|
ГОСТ 14870-77 |
4.4.1 |
|
ГОСТ 19433-88 |
5.3 |
|
4.1.2.1, 4.3.1 |
|
|
ГОСТ 24104-88 |
4.2а |
|
ГОСТ 24597-81 |
5.5 |
|
ГОСТ 25336-82 |
4.2а |
5. Ограничение срока действия снято по протоколу N 4-93 Межгосударственного Совета по стандартизации, метрологии и сертификации (ИУС 4-94)
6. ИЗДАНИЕ с Изменениями N 1, 2, утвержденными в январе 1984 г., марте 1989 г. (ИУС 5-84, 7-89)
Настоящий стандарт распространяется на технический жидкий сернистый ангидрид, предназначенный для химической, целлюлозно-бумажной, пищевой и других отраслей промышленности.
Жидкий сернистый ангидрид - бесцветная или с желтоватым оттенком жидкость с резким раздражающим запахом, с температурой кипения при атмосферном давлении минус 10,1 °С.
Формула: SO2
Молекулярная масса (по международным атомным массам 1977 г.) - 64,06.
(Измененная редакция, Изм. N 1, 2).
1. ТЕХНИЧЕСКИЕ ТРЕБОВАНИЯ
1.1. Жидкий сернистый ангидрид изготовляют в соответствии с требованиями настоящего стандарта по технологическому регламенту, утвержденному в установленном порядке.
1.2. По физико-химическим показателям жидкий сернистый ангидрид должен соответствовать нормам, указанным в таблице.
(Измененная редакция, Изм. N 1).
2. ТРЕБОВАНИЯ БЕЗОПАСНОСТИ
2.1. Жидкий сернистый ангидрид взрыво- и пожаробезопасен, ядовит по степени воздействия на организм (относится к веществам 3-го класса опасности по ГОСТ 12.1.005). Предельно допустимая концентрация в воздухе рабочей зоны производственных помещений 10 мг/м3. Сернистый газ вызывает раздражение кожи, глаз и верхних дыхательных путей. При концентрации сернистого ангидрида в воздухе до 60 мг/м3 возможны острые отравления, сопровождающиеся отеком легких и расширением сердца. Более высокие концентрации жидкого сернистого ангидрида вызывают воспаление легких. Возможны ожоги кожи и глаз жидким сернистым ангидридом.
2.2. Работа с жидким сернистым ангидридом должна проводиться в резиновых сапогах, суконной спецодежде, суконных рукавицах, на рабочем месте должен быть фильтрующий противогаз марки В или БКФ. В аварийных случаях (разлив жидкого сернистого ангидрида) необходимо дополнительно пользоваться кислородоизолирующим противогазом, резиновым костюмом и резиновыми перчатками.
Для дегазации жидкого сернистого ангидрида используют мел или известь с последующей заливкой водой, для дегазации газовой волны используют газообразный аммиак из баллонов.
2.1, 2.2. (Измененная редакция, Изм. N 2).
2.3. Необходимо следить за исправностью аппаратуры, трубопроводов и контрольно-измерительных приборов. В цехе необходимо проводить систематическую проверку наличия в воздухе рабочей зоны сернистого ангидрида.
2.4. При попадании жидкого сернистого ангидрида на открытые участки тела необходимо немедленно промыть пораженное место обильной струей воды. Во всех случаях отравлений необходимо вынести пострадавшего на свежий воздух, дать пить молоко, вызвать врача.
3. ПРАВИЛА ПРИЕМКИ
3.1. Жидкий сернистый ангидрид принимают партиями. Партией считают любое количество однородного по своим показателям качества продукта, направляемого в один адрес и оформленного одним документом о качестве, содержащим:
наименование предприятия-изготовителя и его товарный знак;
наименование продукта;
номер партии;
массу нетто;
дату изготовления;
результаты анализа или подтверждение о соответствии качества продукта требованиям настоящего стандарта;
штамп технического контроля;
обозначение настоящего стандарта.
(Измененная редакция, Изм. N 1).
3.2. Для контроля качества продукта отбирают 5% баллонов, но не менее двух; при транспортировании продукта в цистернах - от каждой цистерны.
Допускается отбирать пробы из хранилища, в котором находится жидкий сернистый ангидрид для наполнения железнодорожных цистерн.
3.3. При получении неудовлетворительных результатов анализа хотя бы по одному из показателей проводят повторный анализ на удвоенной выборке. Результаты повторного анализа распространяются на всю партию.
3.4. Массовая доля воды определяется по требованию потребителя.
4. МЕТОДЫ АНАЛИЗА
4.1. Отбор проб
4.1.1. Отбор проб из баллонов
4.1.1.1. Баллон укрепляют в перевернутом положении, навинчивают гайку с припаянной к ней металлической трубкой, согнутой под прямым углом (черт.1). Перед каждым отбором пробы гайку с трубкой тщательно высушивают при 100-110 °С.
Черт.1. Трубка для отбора проб из баллона
Трубка для отбора проб из баллона

Черт.1
Допускается отбор проб из баллонов, находящихся в горизонтальном положении.
(Измененная редакция, Изм. N 2).
4.1.1.2. Пробу сернистого ангидрида отбирают в количестве 0,5 дм3 в сосуд Дьюара вместимостью 1 дм3 или в коническую колбу вместимостью 1 дм3 с меткой на 400 см3. Колбу накрывают часовым стеклом, помещают в сосуд с охлаждающей смесью, которую готовят, смешивая 33 весовые части хлористого натрия со 100 весовыми частями снега или измельченного льда (максимально низкая температура, которую можно достичь в результате смешивания, - минус 21,2 °С). Можно использовать также сухой лед. Отобранную пробу немедленно используют для анализа.
4.1.2. Отбор проб из цистерн
4.1.2.1. Аппаратура
Баллоны стальные объемом 0,7 дм3 по ГОСТ 949.
Вентили баллонные.
Вентили запорные диафрагмовые внутренним диаметром 6 мм.
Вентили для манометра.
Вентили фланцевые по нормативной документации.
Динамометр по ГОСТ 13837.
Трубы по ГОСТ 8733 и ГОСТ 8734 соединительные из стали 06х21Н6М27 по ГОСТ 1050.
4.1.2.2. Подготовка к отбору пробы
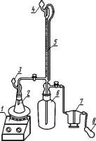
Цистерна с жидким сернистым ангидридом должна быть оборудована устройством для отбора пробы (черт.2).
Черт.2. Схема устройства для отбора проб из цистерны
Схема устройства для отбора проб из цистерны
1 - корзина подвески баллона к динамометру; 2 - баллон; 3 - насадка для баллона; 4 - трубка для подсоединения баллона к линии жидкого сернистого ангидрида и линии абгазов; 5 - накидные гайки; 6 - сифон; 7- динамометр; B1 и B4 - вентили для жидкого сернистого ангидрида; B2 и B5 - абгазные вентили; B3 - вентиль для эвакуации сернистого ангидрида из линии жидкого сернистого ангидрида
Черт.2
Устройство для отбора пробы из цистерны состоит из баллона 2 объемом 0,7 дм3 с вентилями B4, B5, корзины 1, динамометра 7 и вентилей B1, B2, B3.
В баллон от вентиля B4 опущен сифон диаметром 8 мм.
Для отбора пробы жидкого сернистого ангидрида баллон 2 помещают в корзину 1, которую подвешивают к динамометру 7.
Затем вентили B4, B5 на баллоне соединяют с вентилями B1, B2, B3 трубками при помощи накидных гаек согласно схеме.
4.1.2.3. Проведение отбора пробы
Для создания разрежения в баллоне открывают последовательно вентили B2 и B5. Затем начинают заполнение баллона жидким сернистым ангидридом, открывая последовательно вентили B1 и B4, одновременно эвакуируя абгазы из системы через вакуумную линию (вентили B2 и B5 должны быть открытыми).
По показанию динамометра контролируют изменение массы баллона.
Закончив отбор пробы, последовательно перекрывают вентили B1, B4 и B5.
Для полной эвакуации остатков жидкого сернистого ангидрида из трубопроводов открывают вентиль B3 и вакуумируют трубопроводы, после чего перекрывают вентили B2, B3 и отсоединяют баллон от трубопроводов и динамометра.
Допускается отбор пробы жидкого сернистого ангидрида в сосуд Дьюара.
4.1.2-4.1.2.3. (Измененная редакция, Изм. N 2).
4.2а. Для проведения анализов и приготовления растворов применяют:
реактивы квалификации не ниже ч.д.а;
воду дистиллированную по ГОСТ 6709;
посуду и оборудование лабораторные стеклянные по ГОСТ 25336;
цилиндры, мензурки, колбы мерные (2 класса точности) по ГОСТ 1770;
бюретки, пипетки 2-го класса точности;
весы лабораторные общего назначения по ГОСТ 24104* 2-го класса точности с наибольшим пределом взвешивания 200 г и 4-го класса точности с наибольшим пределом взвешивания 500 г;
______________
* С 01.07.2002 г. введен в действие ГОСТ 24104-2001.
набор гирь по ГОСТ 7328.
Допускается применение аналогичной лабораторной посуды по классу точности не ниже указанной в стандарте.
(Введен дополнительно, Изм. N 2).
4.2. Определение массовой доли нелетучего остатка
Метод основан на испарении пробы жидкого сернистого ангидрида и взвешивании нелетучего остатка.
4.2.1. Аппаратура и реактивы
Термометр ТЛ-2, шкала 0-100.
Кислота серная по ГОСТ 4204 плотностью 1,830 г/см3.
силикагель технический по ГОСТ 3956.
Стекловолокно.
(Измененная редакция, Изм. N 1, 2).
4.2.2. Проведение анализа
В сухую коническую колбу вместимостью 250 см3 с меткой на 100 см3, предварительно взвешенную (результат взвешивания в граммах записывают с точностью до четвертого десятичного знака), наливают под тягой 100 см3 анализируемого сернистого ангидрида и дают ему испариться под тягой на водяной бане с температурой воды не выше 40 °С.
Затем продувают колбу сухим чистым воздухом со скоростью примерно 2 дм3/мин в течение 20 мин через трубку, погруженную почти до дна колбы, до постоянной массы и снова взвешивают (результат взвешивания в граммах записывают с точностью до четвертого десятичного знака). Для осушки и очистки воздух предварительно пропускают через склянку с концентрированной серной кислотой или колонку с силикагелем, а затем через тампон из стекловолокна.
(Измененная редакция, Изм. N 2).
4.2.3. Обработка результатов
Массовую долю нелетучего остатка (X) в процентах вычисляют по формуле
где m1 - масса пустой колбы, г;
m2 - масса колбы с нелетучим остатком, г;
p - плотность анализируемого сернистого ангидрида, равная при минус 10,1 °С 1,46 г/см3.
За результат анализа принимают среднеарифметическое значение двух параллельных определений, допускаемые расхождения между которыми не должны превышать 0,005% при доверительной вероятности P=0,95.
(Измененная редакция, Изм. N 1, 2).
4.3. Определение массовой доли мышьяка
Метод основан на восстановлении мышьяка до мышьяковистого водорода, который улавливают бумагой, пропитанной раствором бромида ртути.
(Измененная редакция, Изм. N 2).
4.3.1. Реактивы, растворы и аппаратура
Кислота серная по ГОСТ 4204, плотностью 1,830 г/см3.
Олово двухлористое, готовят по ГОСТ 4517.
Раствор, содержащий 1 мг As в 1 см3 (раствор А), готовят по ГОСТ 4212. 5 см3 раствора А переносят в мерную колбу вместимостью 1 дм3, доливают водой до метки и перемешивают. Полученный раствор в 1 см3 содержит 0,005 мг As (раствор Б).
Свинец уксуснокислый по ГОСТ 1027, 5%-ный раствор.
Парафины нефтяные по ГОСТ 23683 или парафины для лабораторных целей.
Цинк гранулированный.
Бумага бромнортутная, готовят по ГОСТ 4517.
Вата медицинская гигроскопическая по ГОСТ 5556.
Прибор для определения мышьяка (черт.3), состоящий из конической колбы вместимостью 250 см3, в которую на резиновой пробке вставлена стеклянная трубка длиной 180 мм и внутренним диаметром 14 мм; нижний конец трубки оттянут до диаметра 4-5 мм. В нижнюю часть широкой трубки помещают тампон из ваты, предварительно смоченный раствором уксуснокислого свинца и отжатый почти досуха. На верхний срез трубки помещают квадрат бромнортутной бумаги и прижимают его отрезанной частью трубки с помощью резинок, надеваемых на стеклянные крючки. Края трубок должны быть отшлифованы.
Черт.3. Прибор для определения мышьяка
Прибор для определения мышьяка
1 - стеклянные крючки; 2, 4 - стеклянные трубки; 3 - бромнортутная бумага; 5 - вата, смоченная раствором ацетата свинца; 6 - резиновая пробка; 7- коническая колба
Черт.3
(Измененная редакция, Изм. N 1, 2).
4.3.2. Проведение анализа
Внутренние стенки колбы после определения нелетучего остатка (по п.4.2) смывают 50 см3 воды, приливают 5 см3 серной кислоты, 1 см3 раствора двухлористого олова, доводят водой до метки 60 см3 и опускают в колбу 5-6 г гранулированного цинка. Колбу быстро закрывают пробкой, в которую вставлена верхняя часть прибора с помещенной в нее ватой, смоченной раствором уксуснокислого свинца и зажатой бромнортутной бумагой.
Через 2 ч снимают окрашенную бумагу и погружают ее в расплавленный парафин.
Жидкий сернистый ангидрид считают соответствующим требованиям настоящего стандарта, если окраска бромнортутной бумаги от анализируемого раствора не будет интенсивнее окраски бромнортутной бумаги от образцового раствора, приготовленного в тех же условиях и содержащего в 60 см3 раствора 5 см3 серной кислоты, 1 см3 раствора двухлористого олова, 6 г цинка и 1,2 см3 раствора Б, что соответствует содержанию мышьяка (As) в жидком сернистом ангидриде 0,000004%.
4.4. Определение массовой доли воды
Метод основан на взаимодействии воды, находящейся в среде метанола, в присутствии оснований (пиридина или уксуснокислого натрия) с сернистым ангидридом и металлическим йодом с образованием солей йодистоводородной и серной кислот. Эквивалентную точку определяют визуально по появлению окраски непрореагировавшего йода.
4.3.2; 4.4. (Измененная редакция, Изм. N 2).
4.4.1. Реактивы, растворы и аппаратура
Спирт этиловый абсолютированный. Допускается применение спирта метилового абсолютированного или диоксана.
силикагель-индикатор по ГОСТ 8984.
Образцовый раствор воды в спирте готовят следующим образом: в мерной колбу* вместимостью 100 см3 взвешивают 0,3-0,4 г дистиллированной воды (результат взвешивания в граммах записывают с точностью до четвертого десятичного знака). Доводят до метки абсолютированным спиртом и сильно взбалтывают.
___________________
* Текст соответствует оригиналу.
Реактив Фишера; титр реактива Фишера определяют по ГОСТ 14870, способ А или Б.
(Измененная редакция, Изм. N 1, 2).
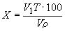
4.4.2. Проведение анализа
Пробу, полученную по п.4.1.1.2 или п.4.1.2.3, наливают под тягой в коническую колбу вместимостью 300-500 см3 до метки, нанесенной на уровне 150 см3. Жидкий сернистый ангидрид быстро титруют реактивом Фишера до красно-бурой окраски, предварительно соединив колбу с наконечником бюретки прибора.
Определение проводят на приборе для титрования (черт.4). При помощи резиновой груши в склянке с реактивом Фишера создают давление. Открывают кран и заполняют бюретку реактивом. После ее заполнения следует убедиться в полноте стекания реактива.
Черт.4. Прибор для титрования реактивом Фишера
Прибор для титрования реактивом Фишера
1 - магнитная мешалка; 2 - колба Фишера; 3, 4 - хлоркальциевые трубки, заполненные силикагелем-индикатором; 5 - бюретка с автоматической установкой нуля; 6 - склянка из темного стекла; 7 - склянка Тишенко, заполненная силикагелем; 8 - нагнетательная груша
Черт.4
(Измененная редакция, Изм. N 2).
4.4.3. Обработка результатов
Массовую долю воды (X1) в процентах вычисляют по формуле
где V - объем пробы сернистого ангидрида, отобранный для определения воды, см3;
V1 - объем реактива Фишера, израсходованный на титрование, см3;
T - титр реактива Фишера по воде, г/см3;
p - плотность сернистого ангидрида, равная при минус 10,1 °С 1,46 г/см3.
За результат анализа принимают среднеарифметическое значение двух параллельных определений, допускаемые расхождения между которыми не должны превышать 0,003% при доверительной вероятности P=0,95.
5. УПАКОВКА, МАРКИРОВКА, ТРАНСПОРТИРОВАНИЕ И ХРАНЕНИЕ
5.1. Жидкий сернистый ангидрид заливают в стальные баллоны по ГОСТ 949 объемом от 20 до 50 дм3 под давлением 0,6 МПа (6 кгс/см2) или в специальные контейнеры-бочки вместимостью 800-1000 дм3 для жидкого хлора, или в специальные железнодорожные цистерны, принадлежащие предприятию-изготовителю, рассчитанные на давление не менее 1,5 МПа (15 кгс/см2).
(Измененная редакция, Изм. N 2).
5.2. Содержание и обслуживание цистерн, баллонов и емкости для хранения, их маркировка, освидетельствование, хранение и транспортирование должны соответствовать действующим "Правилам устройства и безопасной эксплуатации сосудов, работающих под давлением", утвержденным Госгортехнадзором СССР.
(Измененная редакция, Изм. N 1).
5.3. На контейнеры-бочки наносится транспортная маркировка по ГОСТ 14192, а также знак опасности по ГОСТ 19433 (класс 2, подкласс 2.2, классификационный шифр 2213), серийный номер ООН 1079 и транспортное наименование груза.
К баллону прикрепляется ярлык, на который наносится маркировка, содержащая следующие данные:
наименование продукта;
наименование предприятия-изготовителя;
номер партии;
дата изготовления;
номер баллона;
обозначение настоящего стандарта;
масса баллона нетто и брутто;
знак опасности по ГОСТ 19433 (класс 2, подкласс 2.2, классификационный шифр 2213) и серийный номер ООН 1079.
(Измененная редакция, Изм. N 2).
5.4. (Исключен, Изм. N 1).
5.5. Жидкий сернистый ангидрид транспортируют железнодорожным транспортом в специальных железнодорожных цистернах, принадлежащих предприятию-изготовителю, и в стальных баллонах в крытых железнодорожных вагонах, а также автомобильным транспортом в специальных контейнерах для жидкого хлора и в стальных баллонах в соответствии с правилами перевозки грузов, действующими на транспорте данного вида.
Транспортирование продукта в баллонах в пакетированном виде - в соответствии с ГОСТ 24597 по согласованию между потребителем и изготовителем.
(Измененная редакция, Изм. N 1, 2).
5.6. Жидкий сернистый ангидрид хранят в стальных баллонах по ГОСТ 949 под давлением 0,6 МПа (6 кгс/см2) или в специальных стальных емкостях, рассчитанных на давление не менее 1,5 МПа (15 кгс/см2) при рабочем давлении не более 0,8 МПа (8 кгс/см2). Допускается хранение сернистого ангидрида в специальных стальных термоизолированных емкостях, испытываемых под давлением не менее 1,1 МПа (11 кгс/см2) при рабочем давлении не более 0,6 МПа (6 кгс/см2).
(Введен дополнительно, Изм. N 1).
6. ГАРАНТИИ ИЗГОТОВИТЕЛЯ
6.1. Изготовитель должен гарантировать соответствие жидкого сернистого ангидрида требованиям настоящего стандарта при соблюдении условий транспортирования и хранения.
(Измененная редакция, Изм. N 1).
6.2. Гарантийный срок хранения жидкого сернистого ангидрида - три месяца со дня изготовления.
(Измененная редакция, Изм. N 1).
официальное издание
Государственный контроль
качества винодельческой
продукции: Сб. ГОСТов. -
М.: ИПК Издательство стандартов, 2003