Новости Нефтегазовая пром.
Выставки Наука и технология


Ангидрид хромовый технический ГОСТ 2548-77

ангидрид хромовый технический. Технические условия (с Изменениями N 1, 2, 3) ГОСТ 2548-77


ГОСТ 2548-77

Группа Л12

     

ГОСУДАРСТВЕННЫЙ СТАНДАРТ СОЮЗА ССР

ангидрид хромовый ТЕХНИЧЕСКИЙ

Технические условия 

Chromic anhydride for industrial use. Specifications



ОКП 21 2313

Дата введения 1978-01-01

     
     
ИНФОРМАЦИОННЫЕ ДАННЫЕ

1. РАЗРАБОТАН И ВНЕСЕН Министерством химической промышленности СССР

РАЗРАБОТЧИКИ

К.В.Ткачев, д-р техн. наук; Н.И.Баянова (руководитель темы); Н.И.Потехина

2. УТВЕРЖДЕН И ВВЕДЕН В ДЕЙСТВИЕ Постановлением Государственного комитета стандартов Совета Министров СССР от 19.04.77 N 961

3. Периодичность проверки - 5 лет, срок проверки - 1996 г.

4. ВЗАМЕН ГОСТ 2548-69, ГОСТ 5.1599-72

5. ССЫЛОЧНЫЕ НОРМАТИВНО-ТЕХНИЧЕСКИЕ ДОКУМЕНТЫ

Обозначение НТД, на который дана ссылка 

Номер пункта, подпункта, перечисления, приложения

ГОСТ 12.1.005-88

6.6

ГОСТ 12.1.007-76

6.1

ГОСТ 12.3.009-76

6.8

ГОСТ 12.4.013-85

6.6

ГОСТ 12.4.021-75

6.6

ГОСТ 12.4.034-85

6.6

ГОСТ 12.4.103-83

6.6

ГОСТ 1770-74

3.3.1; 3.4.1; 3.5.1; 3.6.1

ГОСТ 3118-77

3.5.1

ГОСТ 3776-78

3.5.1; 3.6.1

ГОСТ 4108-72

3.5.1

ГОСТ 4204-77

3.3.1; 3.5.1; 3.6.1

ГОСТ 4208-72

3.3.1

ГОСТ 4212-76

3.6.1

ГОСТ 4220-75

3.3.1

ГОСТ 4461-77

3.6.1

ГОСТ 5044-79

4.1

ГОСТ 6552-80

3.3.1

ГОСТ 6709-72-->ГОСТ 6709-72

3.3.1; 3.4.1; 3.5.1; 3.6.1

ГОСТ 7328-82

3.3.1; 3.4.1; 3.6.1

ГОСТ 14192-77

4.2

ГОСТ 15846-79

4.4

ГОСТ 19433-88

2.1; 4.2

ГОСТ 19668-74

4.1

ГОСТ 24104-88

3.3.1; 3.4.1; 3.5.1; 3.6.1

ГОСТ 25336-82

3.4.1

ГОСТ 25794.1-83

3.5.1

ГОСТ 25794.2-83

3.3.1

ГОСТ 26319-84

4.3

ГОСТ 26653-90

4.5

ГОСТ 27025-86

3.6а.4

6. Ограничение срока действия снято Постановлением Госстандарта от 18.03.92 N 221

7. ПЕРЕИЗДАНИЕ (апрель 1994 г.) с Изменениями N 1, 2, 3, утвержденными в январе 1982 г., апреле 1987 г., марте 1992 г. (ИУС 5-82, 8-87, 6-92)


Настоящий стандарт распространяется на технический хромовый ангидрид, предназначенный для машиностроительной, металлургической, химической, нефтехимической и других отраслей промышленности.

Настоящий стандарт устанавливает требования к техническому хромовому ангидриду, изготовляемому для нужд народного хозяйства и экспорта.

Формула: CrO3

Молекулярная масса (по международным атомным массам 1971 г.) - 99,99.

Требования п.2 таблицы, пп.3.1.1-3.6.4, разд.4, 6 настоящего стандарта являются обязательными, другие требования стандарта являются рекомендуемыми.

(Измененная редакция, Изм. N 3).

1. ТЕХНИЧЕСКИЕ ТРЕБОВАНИЯ

1.1а. В зависимости от назначения хромовый ангидрид выпускают марок А, Б и В, рекомендуемые области применения которых приведены в приложении.

(Введен дополнительно, Изм. N 2).

(Измененная редакция, Изм. N 3).

1.1. хромовый ангидрид должен быть изготовлен в соответствии с требованиями настоящего стандарта по технологическому регламенту, утвержденному в установленном порядке.

1.2. По физико-химическим показателям хромовый ангидрид должен соответствовать нормам, указанным в таблице.

Наименование показателя

Норма для марки

А
ОКП 21 2313 0100

Б
ОКП 21 2313 0200

В 
ОКП 21 2313 0800

1. Внешний вид

Чешуйки или гранулы малиново-красного цвета; для марки В допускается оттенок черного цвета и включение комочков слипшихся гранул или чешуек

2. Массовая доля хромового ангидрида (CrO3), %, не менее

99,7

98,8

98,0

3. Массовая доля веществ, не растворимых в воде, %, не более

0,02

0,05

Не нормируется

4. Массовая доля сульфатов (SO42-), %, не более

0,06

0,18

Не нормируется

5. Массовая доля натрия (Na), %, не более

0,05

Не нормируется


Примечание. Качество продукции, предназначенной для экспорта, должно соответствовать условиям договора предприятия с внешнеэкономической организацией или контракта с иностранным покупателем.


(Измененная редакция, Изм. N 2, 3).

2. ПРАВИЛА ПРИЕМКИ

2.1. хромовый ангидрид принимают партиями. Партией считают продукт одной марки, однородный по своим показателям качества, изготовленный за ограниченный период времени, но не более чем за одну смену, и сопровождаемый одним документом о качестве.

Документ о качестве должен содержать:

наименование предприятия-изготовителя и его товарный знак;

наименование, марку продукта и классификационный шифр;

номер партии;

массу нетто;

количество упаковочных единиц, входящих в партию;

результаты проведенных анализов или подтверждение соответствия качества продукта требованиям настоящего стандарта;

подтверждение о нанесении на упаковку знака опасности по ГОСТ 19433-88;

дату изготовления;

обозначение настоящего стандарта.

2.2. Для контроля качества хромового ангидрида, упакованного в барабаны, отбирают 10% упаковочных единиц, но не менее двух при партии менее 20 единиц.

При упаковывании продукта в контейнеры для контроля качества отбирают каждую единицу продукции.

Для проверки качества хромового ангидрида у изготовителя в процессе производства допускается отбирать точечные пробы перед упаковыванием непрерывно или через равные интервалы времени массой не менее 0,5 кг от каждых 3-5 т продукта.

2.1, 2.2. (Измененная редакция, Изм. N 2, 3).

2.3. При получении неудовлетворительных результатов анализа хотя бы по одному показателю проводят по нему повторный анализ на удвоенной выборке той же партии.

Результаты повторного анализа распространяются на всю партию.

2.4. Допускается изготовителю массовую долю показателя 5 таблицы определять периодически в каждой двадцатой партии.

(Введен дополнительно, Изм. N 3).

3. МЕТОДЫ АНАЛИЗА

3.1. Отбор проб

3.1.1. Точечные пробы хромового ангидрида из барабанов (контейнеров) отбирают из любых точек массы щелевидным пробоотборником или другими средствами отбора, погружая их по вертикали на глубину не менее 20 см от поверхности.

Масса точечной пробы при ручном отборе должна быть не менее 0,1 кг.

Точечные пробы хромового ангидрида, поступающего на упаковывание, отбирают из потока продукта механическим или ручным пробоотборником любой конструкции, обеспечивающим отбор проб согласно п.2.2.

(Измененная редакция, Изм. N 2, 3).

3.1.2. Отобранные точечные пробы соединяют, быстро и тщательно перемешивают и методом квартования получают среднюю пробу массой не менее 0,5 кг.

3.1.3. Среднюю пробу хромового ангидрида помещают в чистую сухую стеклянную плотно закрываемую банку. На банку с пробой наносят: наименование предприятия-изготовителя, наименование продукта, номер партии, дату отбора пробы и надпись "Токсичен".

Из-за гигроскопичности продукта пробы хромового ангидрида должны отбирать быстро.

(Измененная редакция, Изм. N 3).

3.2. Внешний вид продукта определяют визуально.

3.3. Определение массовой доли хромового ангидрида

3.3.1. Аппаратура, реактивы и растворы

Весы лабораторные общего назначения по ГОСТ 24104-88* 2-го класса точности с наибольшим пределом взвешивания 200 г.
_______________
* На территории Российской Федерации действует ГОСТ 24104-2001, здесь и далее по тексту.

Гири Г-2-210 по ГОСТ 7328-82*.
_______________
* На территории Российской Федерации действует ГОСТ 7328-2001, здесь и далее по тексту.

Бюретка вместимостью 50 см3.

Колба мерная 1-500-2 по ГОСТ 1770-74.

Пипетки градуированные вместимостью 25 и 50 см3.

Цилиндры 1 (3)-25-2 и 1 (3)-250-2 по ГОСТ 1770-74.

Вода дистиллированная по ГОСТ 6709-72-->ГОСТ 6709-72.

калий двухромовокислый по ГОСТ 4220-75 (перекристаллизованный и высушенный при 150 °С), раствор концентрации c(1/6K2Cr2O7)=0,15 моль/дм3; готовят по ГОСТ 25794.2-83.

Кислота ортофосфорная по ГОСТ 6552-80.

Кислота серная по ГОСТ 4204-77, разбавленная 1:4.

Кислота фенилантраниловая (индикатор), раствор с массовой долей 0,1%; готовят по ГОСТ 4919.1-77.

Соль закиси железа и аммония двойная серно-кислая (Соль Мора) по ГОСТ 4208-72, раствор концентрации c[(NH4)2SO4·FeSO4·6H2O]=0,2 моль/дм3; готовят по ГОСТ 25794.2-83. Коэффициент поправки устанавливают ежедневно следующим образом: в коническую колбу вместимостью 500 см3 помещают пипеткой 50 см3 двухромовокислого калия, 150 cм3 воды, 15 см3 серной кислоты, 5 см3 ортофосфорной кислоты, 1 см3 индикатора и титруют солью Мора до перехода вишневой окраски раствора в зеленую.

(Измененная редакция, Изм. N2, 3).

3.3.2. Проведение анализа

Около 5,0000 г хромового ангидрида взвешивают в бюксе и количественно переносят водой в мерную колбу вместимостью 500 см3, доводят объем раствора водой до метки и перемешивают. 25 см3 полученного раствора помещают в коническую колбу вместимостью 500 см3, разбавляют водой до 200 см3, прибавляют 15 см3 серной кислоты, 5 см3 ортофосфорной кислоты, 1 см3 индикатора и титруют раствором соли Мора до перехода фиолетово-вишневой окраски в зеленую.

(Измененная редакция, Изм. N 2). 

3.3.3. Обработка результатов

Массовую долю хромового ангидрида (X) в процентах вычисляют по формуле где V - объем раствора соли Мора концентрации точно 0,2 моль/дм3, израсходованный на титрование, см3;
0,006666 - масса хромового ангидрида, соответствующая 1 см3 раствора соли Мора концентрации точно 0,2 моль/дм3, г;

m - масса навески, г.

Результат вычисления записывают до первого десятичного знака, применяя правила округления.

За результат анализа принимают среднее арифметическое значение результатов двух параллельных определений, допускаемое расхождение между которыми не должно превышать 0,4% при доверительной вероятности P=0,95.

Абсолютная суммарная погрешность определения ±0,3% при доверительной вероятности P=0,95.

(Измененная редакция, Изм. N 2, 3).

3.4. Определение массовой доли не растворимых в воде веществ

3.4.1. Аппаратура, реактивы и растворы

Весы лабораторные общего назначения по ГОСТ 24104-88 2-го и 4-го классов точности с наибольшими пределами взвешивания 200 и 500 г соответственно.

Гири Г-2-210 по ГОСТ 7328-82.

Мензурка 250 по ГОСТ 1770-74.

Тигель фильтрующий стеклянный типа ТФ-ПОР 10 или ТФ-ПОР 16 по ГОСТ 25336-82.

Шкаф сушильный с терморегулятором, обеспечивающий температуру нагрева (105±5) °С.

Вода дистиллированная по ГОСТ 6709-72-->ГОСТ 6709-72.

3.4.2. Проведение анализа

Около 10,00 г хромового ангидрида помещают в стакан вместимостью 250 см3 и растворяют в 150 см3 воды. Стакан накрывают часовым стеклом, нагревают на водяной бане в течение 1 ч и фильтруют через фильтрующий тигель, предварительно высушенный до постоянной массы и взвешенный с точностью до четвертого десятичного знака.

Остаток на фильтре промывают горячей водой до получения бесцветных промывных вод, тигель с остатком сушат в сушильном шкафу при температуре (105±5) °С до постоянной массы и взвешивают с точностью до четвертого десятичного знака.

Фильтрат и промывные воды сохраняют до определения сульфатов по п.3.5.

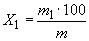
3.4.3. Обработка результатов

Массовую долю не растворимых в воде веществ (X1) в процентах вычисляют по формуле где m1 - масса высушенного остатка, г;
m - масса навески, г.

Результат вычисления записывают до третьего десятичного знака, применяя правила округления.

За результат анализа принимают среднее арифметическое значение результатов двух параллельных определений, допускаемое расхождение между которыми не должно превышать 0,010% при доверительной вероятности P=0,95.

Абсолютная суммарная погрешность определения ±0,006% при доверительной вероятности P=0,95.

3.4.1-3.4.3. (Измененная редакция, Изм. N 2, 3).

3.5. Определение массовой доли сульфатов

3.5.1. Аппаратура, реактивы и растворы

Весы лабораторные общего назначения по ГОСТ 24104-88 4-го класса точности с наибольшим пределом взвешивания 500 г.

Колориметр фотоэлектрический лабораторный, имеющий светофильтр с областью пропускания (590±10) нм и кюветы с толщиной поглощающего свет слоя 30 мм.

Секундомер механический.

Бюретка вместимостью 50 см3.
Мензурка 250 по ГОСТ 1770-74.

Колбы мерные 1-500-2 и 1-1000-2 по ГОСТ 1770-74.

Пипетки градуированные вместимостью 5, 10 и 50 см3.

Цилиндры 1 (3)-10-2 и 1 (3)-25-2 по ГОСТ 1770-74.

барий хлористый по ГОСТ 4108-72, раствор с массовой долей 30% в растворе соляной кислоты концентрации 0,1 моль/дм3; готовят следующим образом: 300 г хлористого бария помещают в мерную колбу вместимостью 1000 см3, растворяют в соляной кислоте концентрации 0,1 моль/дм3, доводят объем этой же кислотой до метки и перемешивают. Полученный раствор переносят в сухую коническую колбу, нагревают до кипения и оставляют в покое на сутки, затем два раза фильтруют через двойной фильтр "синяя лента". Раствор перед применением перемешивают.

Вода дистиллированная по ГОСТ 6709-72-->ГОСТ 6709-72.

Кислота серная по ГОСТ 4204-77, раствор концентрации c(1/2H2SO4)=1 моль/дм3; готовят по ГОСТ 25794.1-83 или стандарт-титр (фиксанал) в ампулах.

кислота соляная по ГОСТ 3118-77, растворы концентраций c(НСl)=0,1 моль/дм3, c(НСl)=1 моль/дм3 и c(НСl)=2,5 моль/дм3; готовят по ГОСТ 25794.1-83.

Раствор А, содержащий в 1 см3 0,48 мг SO42- готовят следующим образом; 10 см3 серной кислоты концентрации 1 моль/дм3 или стандарт-титр переносят в мерную колбу вместимостью 1000 см3, доводят объем до метки соляной кислотой концентрации 1 моль/дм3 и перемешивают. 50 см3 полученного раствора помещают в мерную колбу вместимостью 500 см3, доводят объем до метки соляной кислотой концентрации 1 моль/дм3 и перемешивают.

Хрома (VI) оксид по ГОСТ 3776-78, не содержащий сульфатов. Проверку реактива на отсутствие сульфатов проводят следующим образом: в стакан вместимостью 50 см3 помещают 15 см3 раствора оксида хрома (VI) с массовой долей 2% в растворе соляной кислоты концентрации 1 моль/дм3 и 5 см3 раствора хлористого бария. Раствор перемешивают и оставляют в покое на 2,5-3 ч; если после этого в растворе не появится осадок, реактив пригоден для

определения сульфатов.

3.5.2. Построение градуировочного графика

Для построения градуировочного графика готовят градуировочные растворы. Для этого в мерные колбы вместимостью 500 см3 отмеривают из бюретки 10,0; 15,0; 20,0; 30,0; 40,0; 50,0 см3 раствора А, что соответствует 4,8; 7,2; 9,6; 14,4; 19,2; 24,0 мг SO4 и добавляют 10,00 г оксида хрома (VI), не содержащего сульфатов. Объемы растворов доводят до метки раствором соляной кислоты концентрации 1 моль/дм3 и перемешивают.

При работе на приборе типа КФК-2 устанавливают светофильтр с длиной волны 590 нм, чувствительность 3 по красной шкале. В световой пучок помещают кювету с градуировочным раствором, налитым точно до риски, закрывают крышку кюветного отделения и ручками "чувствительность" и "установка 100" ("грубо" и "точно") устанавливают отсчет 100 по шкале колориметра, открывают крышку кюветного отделения и в центр кюветы приливают из пипетки, положение которой строго фиксировано, 5 см3 раствора хлористого бария. При определении массовой доли сульфатов и фотометрировании градуировочных растворов необходимо пользоваться одной и той же пипеткой. С момента начала приливания хлористого бария включают секундомер. Затем, периодически закрывая крышку кюветного отделения, наблюдают за положением стрелки микроамперметра. При достижении плотности D=0,1 секундомер выключают и отмечают время в секундах.

При работе на приборе типа ФЭК-56М в правый световой пучок прибора помещают кювету с градуировочным раствором, налитым точно до риски, в левый - кювету с водой, включают фотоэлемент и устанавливают оптическое равновесие при оптической плотности на правом барабане D=0,1 (желтый светофильтр, длина волны 582 нм). Затем выключают фотоэлемент, на правом барабане устанавливают оптическую плотность D=0. После этого в центр правой кюветы приливают из пипетки, положение которой строго фиксировано, 5 см3 раствора хлористого бария. С момента начала приливания хлористого бария включают секундомер, далее, периодически включая фотоэлемент, наблюдают за положением стрелки гальванометра. При достижении стрелкой нулевого положения секундомер выключают и отмечают время в секундах.

По полученным значениям времени строят градуировочный график, откладывая по оси абсцисс lg C, где C - содержание SO42- в 500 см3 раствора в миллиграммах, а по оси ординат - lg t, где t - время в секундах.

3.5.3. Проведение анализа

Фильтрат и промывные воды, полученные, как указано в п.3.4.2, переводят в коническую колбу вместимостью 500 см3, кипятят в течение 10 мин, охлаждают и переводят в мерную колбу вместимостью 500 см3, смывая стенки колбы 200 см3 раствора соляной кислоты концентрации 2,5 моль/дм3. Объем раствора доводят до метки водой и перемешивают. При проведении анализа на приборе типа КФК-2 полученный раствор наливают в кювету точно до риски, помещают кювету в световой пучок и закрывают крышку кюветного отделения. При работе на приборе типа ФЭК-56М в правый световой пучок прибора помещают кювету с полученным раствором, налитым точно до риски, в левый помещают кювету с дистиллированной водой. Затем измеряют время (t) достижения заданной оптической плотности с момента начала приливания раствора хлористого бария так, как и при построении градуировочного графика (см. п.3.5.2).

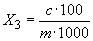
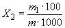
3.5.4. Обработка результатов

Массовую долю сульфатов (X2) в процентах вычисляют по формуле где m1 - масса SO4 в 500 см раствора, найденная по градуировочному графику, мг;

m - масса навески, г.

Результат вычисления записывают до второго десятичного знака, применяя правила округления.

За результат анализа принимают среднее арифметическое значение результатов трех параллельных определений, допускаемое расхождение между которыми не должно превышать 0,03% при доверительной вероятности P=0,95. 

Абсолютная суммарная погрешность определения ±0,04% при доверительной вероятности P=0,95.

3.5.1-3.5.4. (Измененная редакция, Изм. N 2, 3).

3.6. Определение массовой доли натрия

3.6.1. Аппаратура, реактивы и растворы

Весы лабораторные общего назначения по ГОСТ 24104-88 2-го и 4-го классов точности с наибольшими пределами взвешивания 200 и 500 г соответственно.

Гири Т-2-210 по ГОСТ 7328-82.

Фотометр пламенный, имеющий светофильтр с областью пропускания (590±10) нм.

Шкаф сушильный с терморегулятором, обеспечивающий температуру нагрева (100±5) °С.

Бюретка вместимостью 25 см3 с ценой деления 0,1 см3.

Колбы мерные 1-100-2 по ГОСТ 1770-74.

Мензурка 250 по ГОСТ 1770-74.

Вода дистиллированная по ГОСТ 6709-72-->ГОСТ 6709-72.

Кислота азотная по ГОСТ 4461-77 плотностью 1,42 г/см3.

Кислота серная по ГОСТ 4204-77 плотностью 1,84 г/см3.

Раствор А, содержащий в 1 см3 1 мг натрия (Na); готовят по ГОСТ 4212-76.

Раствор Б, содержащий в 1 см3 0,1 мг натрия (Na); готовят соответствующим разбавлением раствора А.

Хрома (VI) оксид по ГОСТ 3776-78, перекристаллизованный; готовят следующим образом: 100 г препарата растворяют в небольшом количестве воды, нагревают на водяной бане до 80-90 °С и при помешивании добавляют 150 см3 серной кислоты. Выпадающие кристаллы растворяют в минимальном количестве воды, раствор упаривают до образования толстой пленки кристаллов. После медленного охлаждения кристаллы оксида хрома (VI) отделяют на воронке со стеклянным пористым дном и, не перемешивая, переносят в банку с притертой пробкой, где заливают азотной кислотой, полностью покрывая кристаллы. Время от времени смесь взбалтывают. Через 10-12 ч кислоту сливают, заливают кристаллы новой порцией кислоты и повторяют промывку, как описано выше: всего проводят три промывки. Затем кристаллы снова отделяют на воронке со стеклянным пористым дном, промывают три раза азотной кислотой и высушивают в чашке на песочной бане, при 60-100 °С в вытяжном шкафу. При сушке требуется частое перемешивание, особенно в конце операции. Когда выделение белых паров азотной кислоты прекратится и масса станет на вид сухой и сыпучей, сушку продолжают в сушильном шкафу при температуре (100±5) °С в течение двух часов, после этого препарат охлаждают в эксикаторе. Полученный оксид хрома (VI) свободен от щелочных металлов.

(Измененная редакция, Изм. N 1, 2, 3).

3.6.2. Подготовка к анализу

3.6.2.1. Построение градуировочного графика

Для построения градуировочного графика готовят градуировочные растворы. Для этого в мерные колбы вместимостью 100 см3 вносят по 1,000 г перекристаллизованной окиси хрома (VI), растворяют в воде, отмеривают из бюретки 2, 5, 8 и 10 см3 раствора Б, что соответствует 0,2; 0,5; 0,8 и 1 мг натрия, доводят объемы водой до метки, перемешивают и переводят в полиэтиленовую посуду.

Гальванометр устанавливают на нуль по фоновому раствору, приготовленному по п.3.6.2.2, и фотометрируют градуировочные растворы. Для исключения влияния колебаний давления газа измерение проводят в прямом и обратном порядке и берут среднее значение результатов двух отсчетов.

По полученным данным строят градуировочный график, откладывая по оси абсцисс массы натрия в миллиграммах, а по оси ординат - соответствующие им показания гальванометра в делениях шкалы.

3.6.2.2. Приготовление фонового раствора

Точно 1,000 г перекристаллизованного оксида хрома (VI) растворяют в мерной колбе вместимостью 100 см3, доводят объем водой до метки и перемешивают. Полученный раствор хранят в полиэтиленовой посуде.

3.6.3. Проведение анализа

Точно 1,000 г продукта растворяют в воде, переносят в мерную колбу вместимостью 100 см3, объем раствора доводят водой до метки и перемешивают. При необходимости раствор фильтруют через сухой фильтр "синяя лента" в сухой стаканчик, отбрасывая первые порции фильтрата.

Растворы анализируемого хромового ангидрида фотометрируют так же, как при построении градуировочного графика.

3.6.4. Обработка результатов

Массовую долю натрия (X3) в процентах вычисляют по формуле где c - масса натрия, найденная по градуировочному графику, мг;
m - масса навески, г.

Результат вычисления записывают до третьего десятичного знака, применяя правила округления.

За результат анализа принимают среднее арифметическое значение результатов двух параллельных определений, допускаемое расхождение между которыми не должно превышать 0,005% при доверительной вероятности P=0,95.

3.6.2.1-3.6.4. (Измененная редакция, Изм. N 2, 3).

3.6а. Общие требования

3.6а.1. Числовые значения результата анализа каждого показателя округляют до последней значащей цифры, указанной для данного показателя в таблице.

3.6а.2. При проведении испытаний и для приготовления растворов используют реактивы квалификации "химически чистый" и "чистый для анализа". Допускается применять импортные реактивы по качеству не хуже отечественных.

3.6а.3. Допускается применять любые методы анализа и средства измерений, имеющие точность и чувствительность не ниже установленных настоящим стандартом.

3.6а.4. При проведении испытаний рекомендуется соблюдать требования ГОСТ 27025-86.

3.6а-3.6а.4. (Введены дополнительно, Изм. N 3).

4. УПАКОВКА, МАРКИРОВКА, ТРАНСПОРТИРОВАНИЕ И ХРАНЕНИЕ

4.1. Технический хромовый ангидрид упаковывают в специализированные контейнеры для сыпучих продуктов типа СК-1-5 (7) по ГОСТ 19668-74 и стальные барабаны для химических продуктов типа БТIIБ1-50 (100) по ГОСТ 5044-79.

Предельное отклонение от номинальной массы технического хромового ангидрида в барабанах и контейнерах при фасовании не должно превышать ±1%. Масса нетто барабанов одной партии на экспорт должна быть одинаковой.

Барабаны для продукта на экспорт с наружной стороны должны иметь защитное лакокрасочное покрытие.

4.2. Транспортная маркировка - по ГОСТ 14192-77* с нанесением манипуляционного знака "Беречь от влаги" и знаков опасности по ГОСТ 19433-88 (класс 5, подкласс 5.1 с дополнительной опасностью класса 8, черт.5 и 8, классификационный шифр 5152), серийного номера ООН 1463.
_________________
* На территории Российской Федерации действует ГОСТ 14192-96, здесь и далее по тексту.

Кроме того, на транспортную тару наносят следующие данные:

наименование, марку продукта;

номер партии;

дату изготовления;

обозначение настоящего стандарта.

При упаковывании хромового ангидрида в контейнеры ярлык с указанными обозначениями прикрепляют на боковой люк контейнера.

Допускается наносить маркировку по трафарету несмываемой краской на боковую поверхность контейнера в соответствии с ГОСТ 14192-77.

4.3. Упаковка и транспортная маркировка груза, предназначенного для экспорта, проводится в соответствии с условиями договора предприятия с внешнеэкономической организацией или контракта с иностранным покупателем. Требования к таре - в соответствии с ГОСТ 26319-84.

4.1-4.3. (Измененная редакция, Изм. N 2, 3).

4.4. хромовый ангидрид, отгружаемый в районы Крайнего Севера и труднодоступные районы, упаковывают и транспортируют в соответствии с ГОСТ 15846-79*.
_______________
* На территории Российской Федерации действует ГОСТ 15846-2002, здесь и далее по тексту.

(Измененная редакция, Изм. N 2).

4.5. хромовый ангидрид транспортируют всеми видами транспорта (кроме авиации) в крытых транспортных средствах в соответствии с правилами перевозки опасных грузов, действующими на соответствующих видах транспорта.

По железной дороге упакованную продукцию транспортируют повагонными и мелкими отправками.

Специализированные контейнеры транспортируют открытым подвижным составом. Размещение и крепление контейнеров производят в соответствии с правилами погрузки и крепления грузов, утвержденными Министерством путей сообщения, и в соответствии с ГОСТ 26653-90.

(Измененная редакция, Изм. N 2, 3).

4.6. хромовый ангидрид хранят в закрытых складских помещениях в неповрежденной упаковке. Контейнеры хранят на контейнерных площадках.

Хранение продукта вместе с горючими веществами не допускается.

(Измененная редакция, Изм. N 2).

5. ГАРАНТИИ ИЗГОТОВИТЕЛЯ

5.1. Изготовитель гарантирует соответствие хромового ангидрида требованиям настоящего стандарта при соблюдении условий транспортирования и хранения.

5.2. Гарантийный срок хранения продукта - год со дня изготовления.

Разд.5. (Измененная редакция, Изм. N. 2).

6. ТРЕБОВАНИЯ БЕЗОПАСНОСТИ

6.1. Технический хромовый ангидрид является сильным окислителем. При соприкосновении с горючими веществами вызывает загорание или взрыв. хромовый ангидрид токсичен, по степени воздействия на организм человека относится к вредным веществам 1-го класса опасности в соответствии с ГОСТ 12.1.007-76.

6.2. Технический хромовый ангидрид при поступлении в организм в значительных количествах вызывает тяжелые отравления.

6.3. Предельно допустимая концентрация шестивалентного хрома в воздухе рабочей зоны в пересчете на СrO3 - 0,01 мг/м3.

Содержание шестивалентного хрома в воздухе рабочей зоны определяют в соответствии с правилами фотометрического определения хромового ангидрида и солей хромовой кислоты в воздухе рабочей зоны.

6.4. В воздушной среде и сточных водах в присутствии других веществ или факторов технический хромовый ангидрид других токсичных веществ не образует.

6.1-6.4. (Измененная редакция, Изм. N 2).

6.5. Воздух, содержащий пыль или пары хромового ангидрида, перед выбросом в атмосферу должен подвергаться сухой или мокрой очистке до установленных предельно допустимых концентраций для атмосферного воздуха населенных мест - 0,0015 мг/м3.

Сточные воды, образующиеся в результате смывов, влажной уборки и очистки воздуха, подлежат обезвреживанию и далее направляются в промышленную канализацию.

Сброс сточных вод в общую систему очистки должен осуществляться в соответствии с инструкцией по приему стоков в городскую канализацию.

6.6. В целях защиты персонала должна быть предусмотрена герметизация оборудования и коммуникаций.

Производственные и лабораторные помещения, в которых проводится работа с хромовым ангидридом, должны быть оснащены приточно-вытяжной вентиляцией по ГОСТ 12.4.021-75, местной вытяжной вентиляцией, обеспечивающей состояние воздуха рабочей зоны в соответствии с требованиями ГОСТ 12.1.005-88.

Обязательно должна проводиться вакуумная или мокрая уборка пыли в производственных помещениях.

Работающие с хромовым ангидридом должны быть обеспечены специальной одеждой, средствами индивидуальной защиты ног и рук в соответствии с ГОСТ 12.4.103-83, средствами индивидуальной защиты органов дыхания по ГОСТ 12.4.034-85*, лица и глаз - по ГОСТ 12.4.013-85.
_______________
* На территории Российской Федерации действует ГОСТ 12.4.034-2001.

6.5, 6.6. (Измененная редакция, Изм. N 2, 3).

6.7. Анализ хромового ангидрида должен выполняться с соблюдением основных правил безопасной работы в химических лабораториях*, утвержденных в установленном порядке.
________________
* На территории Российской Федерации документ не действует. Действует ПНД Ф 12.13.1-03. - Примечание изготовителя базы данных.

6.8. При погрузке и разгрузке хромового ангидрида должны соблюдаться требования безопасности по ГОСТ 12.3.009-76.

6.7, 6.8. (Измененная редакция, Изм. N 2).

ПРИЛОЖЕНИЕ (рекомендуемое). Области применения хромового ангидрида

ПРИЛОЖЕНИЕ
Рекомендуемое

Обозначение марки

Область применения

А

Производство металлического хрома высокой чистоты, сверхтвердых материалов, некоторых катализаторов, для процессов хромирования, хроматирования и пассивирования

Б

Производство электролитического хрома, производство катализаторов

В

Производство литья в составе формовочных и стержневых смесей, для процессов травления и других целей



(Введено дополнительно, Изм. N 3).




официальное издание
М.: Издательство стандартов, 1994