Новости Нефтегазовая пром.
Выставки Наука и технология


Аммиак водный технический ГОСТ 9-92

аммиак водный технический. Технические условия ГОСТ 9-92


ГОСТ 9-92

Группа Л13

МЕЖГОСУДАРСТВЕННЫЙ СТАНДАРТ

аммиак ВОДНЫЙ ТЕХНИЧЕСКИЙ 

Технические условия

Aqueous ammonia for industrial use. 
Specifications



ОКП 21 3325

Дата введения 1993-01-01


ИНФОРМАЦИОННЫЕ ДАННЫЕ

1. РАЗРАБОТАН И ВНЕСЕН Государственным научно-исследовательским и проектным институтом азотной промышленности и продуктов органического синтеза

2. УТВЕРЖДЕН И ВВЕДЕН В ДЕЙСТВИЕ Постановлением Госстандарта от 30.03.92 N 332

3. ВЗАМЕН ГОСТ 9-77

4. ССЫЛОЧНЫЕ НОРМАТИВНО-ТЕХНИЧЕСКИЕ ДОКУМЕНТЫ

Обозначение НТД, на который дана ссылка

Номер пункта, подпункта

ГОСТ 12.1.005-88

1.3.2

ГОСТ 12.1.007-76

1.3.2

ГОСТ 12.1.011-78

1.3.2

ГОСТ 12.1.044-89

1.3.2

ГОСТ 12.4.013-85

1.3.4

ГОСТ 12.4.121-83

1.3.4

ГОСТ 450-77

3.4.3

ГОСТ 1625-89

3.5.2

ГОСТ 1770-74

3.4.2; 3.5.2

ГОСТ 3118-77

3.3.2; 3.5.2

ГОСТ 4108-72

3.5.2

ГОСТ 4204-77

3.3.2; 3.5.2

ГОСТ 4328-77

3.3.2; 3.5.2

ГОСТ 4919.1-77

3.3.2; 3.5.2

ГОСТ 6563-75

3.4.2

ГОСТ 6709-72-->ГОСТ 6709-72

3.3.2

ГОСТ 7328-82

3.3,2; 3.4.2; 3.5.2

ГОСТ 9147-80

3.4.2

ГОСТ 14192-96

1.5.1

ГОСТ 18300-87

3.3.2; 3.5.2

ГОСТ 18481-81

3.2.1

ГОСТ 19433-88

1.5.1; 2.1

ГОСТ 20010-93

1.3.4

ГОСТ 23932-90

3.2.1

ГОСТ 24104-88

3.3.2; 3.4.2; 3.5.2

ГОСТ 25336-82

3.3.2; 3.4.2; 3.5.2

ГОСТ 25794.1-83

3.3.2; 3.5.2

ГОСТ 27651-88

1.3.4

ГОСТ 27653-88

1.3.4

5. ПЕРЕИЗДАНИЕ. Сентябрь 2002 г.

Настоящий стандарт распространяется на раствор технического аммиака, применяемый в различных отраслях промышленности и сельском хозяйстве.

Формула: NH3·H2O

Молекулярная масса (по международным атомным массам 1985 г.) - 35,045.

Требования настоящего стандарта являются обязательными, кроме требований пунктов 1 и 4 таблицы, которые являются рекомендуемыми для марки Б.

1. ТЕХНИЧЕСКИЕ ТРЕБОВАНИЯ

1.1. Технический водный аммиак должен изготовляться в соответствии с требованиями настоящего стандарта по технологическому регламенту, утвержденному в установленном порядке.

1.2. Характеристики

1.2.1. В зависимости от назначения водный аммиак выпускают двух марок:

А - для различных отраслей промышленности;

Б - для сельского хозяйства в качестве азотного удобрения.

Для получения водного аммиака марки А должен применяться паровой конденсат или химически очищенная Вода.

1.2.2. По физико-химическим показателям водный аммиак должен соответствовать нормам, указанным в таблице.

Наименование показателя

Норма для марки

Метод анализа

А
ОКП 21 3325 0200

Б
ОКП 21 8133 0200

1. Внешний вид

Прозрачная бесцветная жидкость

Прозрачная бесцветная или желтоватая жидкость

По п.3.2

2. Массовая доля аммиака, %, не менее

25

25

По п.3.3

в пересчете на азот, %, не менее

Не нормируется

20,5

3. Массовая концентрация нелетучего остатка, г/дм3, не более

0,07

Не нормируется

По п.3.4

4. Массовая концентрация диоксида углерода, г/дм3, не более

Не нормируется

8

По п.3.5


Примечания:

1. При транспортировании водного аммиака в цистернах допускается незначительная опалесценция.

2. Допускается изготовлять продукт марки Б в летнее время (май-август, а для Средней Азии май-сентябрь) с массовой долей аммиака не менее 22% и в пересчете на азот не менее 18%.

3. Допускается по согласованию с потребителем использовать продукт марки Б в промышленности.

1.3. Требования безопасности

1.3.1. Водный аммиак - негорючая и невзрывоопасная жидкость. Однако при дегазации пары аммиака способны создать в помещении взрывоопасные концентрации.

1.3.2. Газообразный аммиак, выделяющийся из водного аммиака, при нормальных условиях - газ с резким запахом, взрывоопасен, токсичен и горюч.

По степени воздействия на организм человека аммиак относится к 4-му классу опасности по ГОСТ 12.1.007.

Предельно допустимая концентрация (ПДК) аммиака в воздухе рабочей зоны - 20 мг/м3 по ГОСТ 12.1.005.

Нижний и верхний концентрационные пределы распространения пламени - от 15 до 28 объемных долей аммиака по ГОСТ 12.1.044.

В соответствии с ГОСТ 12.1.011* аммиачно-воздушная смесь относится по взрывоопасности к категории ПА и группе Т1.
________________
* На территории Российской Федерации действуют ГОСТ Р 51330.11-99, ГОСТ Р 51330.2-99, ГОСТ Р 51330.5-99, ГОСТ Р 51330.19-99.

Температура самовоспламенения газообразного аммиака 650 °С.

1.3.3. аммиак обладает резко выраженным раздражающим действием. При малых концентрациях вызывает слезотечение и резкий удушливый кашель, при больших концентрациях вызывает острое раздражение глаз, ожоги слизистых оболочек, удушье, головокружение.

Работу с водным аммиаком следует проводить внутри хорошо вентилируемого вытяжного шкафа.

1.3.4. При работе с водным аммиаком необходимо соблюдать меры предосторожности и использовать индивидуальные средства защиты: фильтрующий промышленный противогаз марок КД и М по ГОСТ 12.4.121; специальную одежду по ГОСТ 12.4.121; специальную одежду по ГОСТ 27651 и ГОСТ 27653; резиновые перчатки по ГОСТ 20010; защитные очки по ГОСТ 12.4.013*.
________________
* На территории Российской Федерации действует ГОСТ Р 12.4.013-97.

1.4. Охрана природы

1.4.1. Защита окружающей среды при производстве водного аммиака должна быть обеспечена герметизацией технологического оборудования и транспортной тары, устройством вентиляционных отсосов в местах возможной утечки продукта.

1.4.2. Газовые выбросы на месте производства и налива в железнодорожные цистерны не должны превышать установленные нормы, т.е. концентрация аммиака после газоочистных установок не должна превышать 3,8 и 4,0 г/м3 соответственно.

1.4.3. При проливе водного аммиака удаление его должно проводиться через контрольно-накопительные емкости. Норматив сточных вод по аммиаку из контрольно-накопительных емкостей должен быть установлен на каждом предприятии, исходя из конкретных требований охраны водоемов.

1.4.4. Контроль за состоянием воздушной среды осуществляют ведомственные лаборатории совместно с санитарным надзором. 

1.5. Маркировка

1.5.1. Транспортная маркировка водного аммиака - по ГОСТ 14192. По классификации опасных грузов по ГОСТ 19433 водный аммиак отнесен к 8-му классу, подклассу 8.2 (черт.8), классификационный шифр 8213, серийный номер ООН 2672.

1.5.2. На железнодорожных цистернах и аммиаковозах должны быть нанесены знаки и трафареты в соответствии с правилами перевозки грузов, действующими на железнодорожном транспорте.

2. ПРИЕМКА

2.1. Водный аммиак принимают партиями.

Партией считают любое количество продукта, однородного по своим показателям и оформленное одним документом о качестве.

При отгрузке водного аммиака в цистернах за партию принимают каждую цистерну.

Документ о качестве должен содержать:

наименование предприятия-изготовителя и его товарный знак;

наименование и марку продукта;

номер партии, число мест в партии;

дату изготовления продукта, массу нетто;

классификационный шифр - 8213 по ГОСТ 19433;

результаты проведенных анализов или подтверждение соответствия качества продукта требованиям настоящего стандарта;

обозначение настоящего стандарта.

2.2. Для контроля качества водного аммиака при отгрузке в железнодорожных цистернах, аммиаковозах отбирают пробу от каждой цистерны или аммиаковоза.

Допускается отбирать пробы на предприятиях-изготовителях из хранилища, в котором находится водный аммиак для наполнения железнодорожных цистерн и аммиаковозов.

2.3. Изготовители, использующие для очистки от оксида углерода отмывку жидким азотом, массовую концентрацию диоксида углерода могут определять один раз в месяц.

Допускается изготовителю определять массовую концентрацию нелетучего остатка в каждой 50-й партии.

2.4. При получении неудовлетворительных результатов анализа хотя бы по одному из показателей проводят повторный анализ на удвоенной выборке или удвоенном количестве проб той же партии.

Результаты повторного анализа распространяются на всю партию.

3. МЕТОДЫ АНАЛИЗА

3.1. Отбор проб

3.1.1. Отбор проб водного аммиака из цистерн и аммиаковозов проводят при помощи пробоотборника, показанного на чертеже, или пробоотборника другого типа (стеклянного или стального), закрепленного на металлической цепи. Пробоотборник опускают на всю глубину цистерны.

Пробоотборник


Пробы отбирают дважды: первым отбором ополаскивают пробоотборник и банку для пробы. Проба, отобранная вторично, берется на анализ, объем ее должен быть не менее 250 см3.

3.1.2. Отбор проб из хранилища, в котором находится водный аммиак для наполнения цистерн и аммиаковозов, проводится в пробоотборных точках. Масса точечной пробы должна быть не менее 200 см3.

Точечные пробы соединяют, тщательно перемешивают и отбирают среднюю пробу объемом не менее 250 см3.

3.1.3. Отобранные для анализа пробы помещают в чистую, сухую стеклянную или фторопластовую банку вместимостью до 0,5 дм3 с герметично закрывающейся крышкой. На банку наклеивают этикетку и прикрепляют бирку с обозначениями наименования продукта, номера партии и даты отбора пробы.

3.1.4. Для контроля качества водного аммиака допускается применять другие метрологические аттестованные методики при условии, что суммарная погрешность результатов измерений и допускаемое расхождение между результатами параллельных определений не будут превышать соответствующие параметры методик, указанных в настоящем стандарте.

Допускается применять другие средства измерения с метрологическими характеристиками и оборудование с техническими характеристиками не хуже, а также реактивы по качеству не ниже указанных в настоящем стандарте.

При разногласиях в оценке нормы анализ проводят по методикам, приведенным в настоящем стандарте. 

3.2. Определение внешнего вида 

3.2.1. Аппаратура, реактивы и растворы 

Пробирка из бесцветного стекла (П-50) по ГОСТ 23932.

Цилиндр типа Ш-265 по ГОСТ 18481. 

3.2.2. Проведение анализа

Внешний вид определяют визуально. В пробирку или цилиндр наливают до половины объема водный аммиак и просматривают его окраску в проходящем или отраженном свете.

3.3. Определение массовой доли аммиака

3.3.1. Метод анализа - титриметрический, основанный на связывании аммиака серной или соляной кислотой с последующим оттитровыванием избытка кислоты щелочью в присутствии индикатора метилового красного.

3.3.2. Аппаратура, реактивы и растворы.

Колба Кн-1-100-19/26 (29/32) ТХС по ГОСТ 25336.

Бюретки вместимостью 25 см с ценой деления 0,1 см3 и вместимостью 50 см3.

Пипетка градуированная вместимостью 2 см3.

Весы лабораторные общего назначения ВЛР-200 по ГОСТ 24104* или другого типа, не ниже 2-го класса точности с наибольшим пределом взвешивания 200 г.
________________
* С 1 июля 2002 г. введен в действие ГОСТ 24104-2001 (здесь и далее).

Набор гирь Г-2-210 по ГОСТ 7328*.
________________
* С 1 июля 2002 г. введен в действие ГОСТ 7328-2001 (здесь и далее).

Кислота серная по ГОСТ 4204, х.ч., раствор молярной концентрации c(1/2H2SO4)=1 моль/дм3 или кислота соляная по ГОСТ 3118, х.ч., раствор молярной концентрации c(НСl)=1 моль/дм3, готовят и устанавливают точную концентрацию по ГОСТ 25794.1.

Натрия гидроокись по ГОСТ 4328, ч.д.а., раствор молярной концентрации c(NaOH)=1 моль/дм3, готовят и устанавливают точную концентрацию по ГОСТ 25794.1.

Спирт этиловый ректификованный технический по ГОСТ 18300.

Метиловый красный (индикатор), спиртовой раствор с массовой долей 0,1%, готовят по ГОСТ 4919.1.

Вода дистиллированная по ГОСТ 6709.

3.3.3. Проведение анализа

В коническую колбу с притертой пробкой вместимостью 100 см3 наливают из бюретки 40 см3 раствора кислоты и взвешивают. Затем приливают пипеткой 2 см3 водного аммиака, следя за тем, чтобы раствор не попадал на стенки колбы, и снова взвешивают. К раствору добавляют 3 капли метилового красного и титруют избыток кислоты раствором гидроокиси натрия до перехода красной окраски раствора в желтую.

3.3.4. Обработка результатов

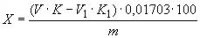
Массовую долю аммиака (X) в процентах вычисляют по формуле где V - объем раствора серной или соляной кислоты молярной концентрации 1 моль/дм3, см3;

V1 - объем раствора гидроокиси натрия молярной концентрации 1 моль/дм3, см3;

K и K1 - коэффициенты поправки для приведения молярных концентраций растворов кислоты и гидроокиси натрия к концентрации точно c(1/2H2SO4) или c(НСl) и c(NaOH)=1 моль/дм3;

0,01703 - масса аммиака, соответствующая 1 см3 раствора серной или соляной кислоты молярной концентрации точно 1 моль/дм3, г;

m - масса навески водного аммиака, г.

За результат анализа принимают среднеарифметическое результатов двух параллельных определений, абсолютное расхождение между которыми не превышает допускаемое расхождение, равное 0,2%.

Допускается относительная суммарная погрешность результата анализа ±0,9% при доверительной вероятности P=0,95.

3.3.5. Определение массовой доли азота

Массовую долю азота (X0) в процентах вычисляют по формуле где X - массовая доля аммиака, %;
0,82 - коэффициент пересчета аммиака на азот.

3.4. Определение массовой концентрации нелетучего остатка

3.4.1. Метод анализа - гравиметрический, основан на высушивании пробы водного аммиака до постоянной массы с последующим взвешиванием нелетучего остатка.

3.4.2. Аппаратура, реактивы и растворы

Весы лабораторные общего назначения ВЛР-200 по ГОСТ 24104 или другого типа не ниже 2-го класса точности с наибольшим пределом взвешивания 200 г.

Набор гирь Г-2-210 по ГОСТ 7328.

Цилиндр 1-25 (50) по ГОСТ 1770.

Баня водяная (паровая).

Эксикатор 2-250 по ГОСТ 25336.

Шкаф электрический сушильный, обеспечивающий температуру нагрева от (100±5) °С.

Электропечь муфельная с терморегулятором, обеспечивающая температуру нагрева 400-500 °С.

Чашка выпарительная 2 по ГОСТ 9147 или чашка ПЛ-118-3 по ГОСТ 6563.

3.4.3. Проведение анализа

Среднюю пробу водного аммиака взбалтывают в склянке с пробкой, отбирают цилиндром 25 см3 пробы, наливают в выпарительную чашку, предварительно прокаленную до постоянной массы при температуре (100±5) °С. Содержимое чашки выпаривают досуха на водяной бане, заполненной дистиллированной водой. Остаток сушат в сушильном шкафу при температуре (100±5) °С, затем чашку охлаждают в эксикаторе, заполненном осушителем (типа кальция хлористого обезвоженного по ГОСТ 450), и взвешивают. Эту процедуру повторяют до получения расхождения между результатами двух последовательных взвешиваний чашки не более 0,0002 г (результат измерения масс записывают с точностью до четвертого десятичного знака).

Новую выпарительную чашку предварительно прокаливают в муфельной печи при температуре (400±10) °С в течение 1 ч.

3.4.4. Обработка результатов

Массовую концентрацию нелетучего остатка (X1) в граммах на кубический дециметр вычисляют по формуле где m - масса чашки с сухим остатком, г;
m1 - масса пустой чашки, г;

25 - объем водного аммиака, взятый для анализа, см3.

За результат анализа принимают среднеарифметическое результатов двух параллельных определений, абсолютное расхождение между которыми не превышает допускаемое расхождение, равное 0,02 г/дм3.

Допускаемая абсолютная суммарная погрешность результата анализа ±0,03 г/дм3 при доверительной вероятности P=0,95.

3.5. Определение массовой концентрации диоксида углерода

3.5.1. Метод анализа - титриметрический, основан на взаимодействии диоксида углерода со щелочью в присутствии хлористого бария, связывании аммиака с формальдегидом с образованием гексаметилентетрамина с последующим оттитровыванием избытка щелочи кислотой.

3.5.2. Аппаратура, реактивы и растворы

Колба Кн-2-250-34 ТС по ГОСТ 25336.

Колба 2-1000-2 по ГОСТ 1770.

Бюретки вместимостью 25 см3 с ценой деления 0,1 см3 и вместимостью 1 см3 с ценой деления 0,01 см3.

Пипетка градуированная вместимостью 5 см3.

Цилиндр 1-25 по ГОСТ 1770.

Весы лабораторные общего назначения ВЛР-200 по ГОСТ 24104 или другого типа не ниже 2-го класса точности с наибольшим пределом взвешивания 200 г.

Набор гирь Г-2-210 по ГОСТ 7328.

Секундомер механический.

Натрия гидроокись по ГОСТ 4328, х.ч., раствор молярной концентрации c(NaOH)=0,5 моль/дм3, готовят и устанавливают точную концентрацию по ГОСТ 25794.1.

кислота соляная по ГОСТ 3118, х.ч., или кислота серная по ГОСТ 4204, х.ч., раствор молярной концентрации c(НСl)=0,5 моль/дм3 или c(1/2H2SO4)=0,5 моль/дм3, готовят и устанавливают точную концентрацию раствора по ГОСТ 25794.1.

барий хлористый по ГОСТ 4108, х.ч., раствор с массовой долей 5%.

формалин технический по ГОСТ 1625, раствор с массовой долей 20%, нейтральный по тимолфталеину или фенолфталеину.

Спирт этиловый ректификованный по ГОСТ 18300.

Тимолфталеин или фенолфталеин, спиртовой раствор с массовой долей 0,1%; готовят по ГОСТ 4919.1.

3.5.3. Проведение анализа

В коническую колбу вместимостью 250 см3 помещают 20 см3 раствора хлористого бария, добавляют из бюретки 25 см3 раствора гидроокиси натрия и 5 см3 анализируемого водного аммиака. К раствору добавляют 5 капель индикатора, 20 см3 раствора формалина и тщательно перемешивают. Содержимое колбы быстро титруют раствором кислоты до обесцвечивания раствора. Затем из микробюретки вновь титруют раствором гидроокиси натрия до появления относительно устойчивой слабо-синей окраски титруемого раствора (при титровании с тимолфталеином) и до розовой окраски (при титровании с фенолфталеином). Колбу закрывают пробкой и выдерживают 5 мин, после чего окончательно оттитровывают раствором гидроокиси натрия в присутствии тимолфталеина до слабо-синей или розовой окраски в присутствии фенолфталеина.

3.5.4. Обработка результатов

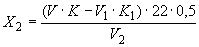
Массовую концентрацию диоксида углерода (X2) в граммах на кубический дециметр вычисляют по формуле где V - суммарный объем расхода гидроокиси натрия, см3;
V1 - объем раствора кислоты, израсходованный на титрование, см3;

K и K1 - коэффициенты поправки для приведения молярных концентраций растворов серной или соляной кислоты и гидроокиси натрия к концентрации точно c(1/2H2SO4) или c(НСl) и c(NaOH)=0,5 моль/дм3;

22 - молярная масса эквивалента оксида углерода (IV), г/моль;

0,5 - номинальная молярная концентрация раствора гидроокиси натрия, моль/дм3;

V2 - объем водного раствора аммиака, взятый для анализа, см3.

За результат анализа принимают среднеарифметическое результатов двух параллельных определений, расхождение между которыми не превышает допускаемое расхождение, равное 0,4 г/дм3.

Допускаемая абсолютная суммарная погрешность результата анализа ±0,3 г/дм3 при доверительной вероятности P=0,95.

4. ТРАНСПОРТИРОВАНИЕ И ХРАНЕНИЕ

4.1. Водный аммиак транспортируют железнодорожным, автомобильным и водным транспортом в герметичных транспортных средствах в соответствии с правилами перевозки грузов, действующими на данном виде транспорта.

Продукт марки А транспортируют в железнодорожных цистернах и аммиаковозах.

Продукт марки Б транспортируют в цистернах с нижним сливом и аммиаковозах.

Цистерны заполняют не более чем на 95% (по объему).

Люки цистерн должны быть опломбированы.

4.2. Водный аммиак хранят в герметичной таре в крытых помещениях или в специально предназначенных для хранения емкостях.

5. ГАРАНТИИ ИЗГОТОВИТЕЛЯ

5.1. Изготовитель гарантирует соответствие водного аммиака требованиям настоящего стандарта при соблюдении условий транспортирования и хранения.

5.2. Гарантийный срок хранения - три месяца со дня изготовления.



официальное издание
М.: ИПК Издательство стандартов, 2002