2-аминобензойная кислота техническая ГОСТ 14310-78
2-аминобензойная кислота техническая. Технические условия (с Изменениями N 1, 2, 3) ГОСТ 14310-78
ГОСТ 14310-78
Группа Л21
ГОСУДАРСТВЕННЫЙ СТАНДАРТ СОЮЗА ССР
КИСЛОТА 2-АМИНОБЕНЗОЙНАЯ ТЕХНИЧЕСКАЯ
Технические условия
Acid. 2-aminobenzoic technical. Specifications*
ОКП 24 7761 0300**
________________
* Наименование стандарта. Измененная редакция, Изм. N 2.
** Введено дополнительно, Изм. N 1. Измененная редакция, Изм. N 3.
Срок действия с 01.01.1980
до 01.01.1985*
______________________________
* Ограничение срока действия снято
по протоколу N 4-93 Межгосударственного
Совета по стандартизации, метрологии и сертификации
(ИУС N 4, 1994 год). - Примечание изготовителя базы данных.
РАЗРАБОТАН Министерством химической промышленности
ИСПОЛНИТЕЛИ
Ю.З.Бригидер, В.Н.Хохлов, Л.Т.Кожушкова, З.Ф.Дзюбенко, Ю.Ф.Сизых, А.А.Черкасский, В.Е.Шанина, Е.Н.Авраменко, Ю.В.Лянде
ВНЕСЕН Министерством химической промышленности
Член коллегии В.Ф.Ростунов
УТВЕРЖДЕН И ВВЕДЕН В ДЕЙСТВИЕ Постановлением Государственного комитета СССР по стандартам от 30 августа 1978 г. N 2397
ВЗАМЕН ГОСТ 14310-69
ВНЕСЕНЫ: Изменение N 1, утвержденное и введенное в действие с 01.04.82 Постановлением Госстандарта СССР от 23.11.81 N 5059; Изменение N 2, утвержденное и введенное в действие с 01.11.84 Постановлением Госстандарта СССР от 29.06.84 N 2343, Изменение N 3, утвержденное и введенное в действие с 01.01.90 Постановлением Госстандарта СССР от 28.03.89 N 772
Изменения N 1, 2, 3 внесены изготовителем базы данных по тексту ИУС N 2, 1982 год, ИУС N 10, 1984 год, ИУС N 6, 1989 год
Настоящий стандарт распространяется на техническую 2-аминобензойную (антраниловую) кислоту, применяемую в производстве красителей, в парфюмерной промышленности.
Формулы:
эмпирическая C7H7O2N
структурная 
Молекулярная масса (по международным атомным массам 1971 г.) - 137,15.
(Измененная редакция, Изм. N 2, 3).
1. ТЕХНИЧЕСКИЕ ТРЕБОВАНИЯ
1.1. Техническая антраниловая кислота должна быть изготовлена в соответствии с требованиями настоящего стандарта по технологическому регламенту, утвержденному в установленном порядке.
1.2. По физико-химическим показателям техническая антраниловая кислота должна соответствовать требованиям и нормам, указанным в таблице.
Наименование показателя | Норма |
1. Внешний вид | Однородная паста от светло-серого до желтого цвета |
2. Массовая доля антраниловой кислоты, %, не менее | 72,0 |
3. Температура плавления высушенного продукта, °С, не ниже | 144 |
4. Массовая доля нерастворимых в растворе углекислого натрия примесей в пересчете на 100%-ный продукт, %, не более | 0,10 |
5. Массовая доля нерастворимых в соляной кислоте примесей в пересчете на 100%-ный продукт, %, не более | 0,50 |
(Измененная редакция, Изм. N 1).
2. ТРЕБОВАНИЯ БЕЗОПАСНОСТИ
2.1. Техническая антраниловая кислота, выпускаемая в виде пасты - трудногорючее вещество. Не допускается высыхание пасты. Сухая техническая антраниловая кислота - горючее вещество.
Температура воспламенения 100 °С. Температура самовоспламенения аэрозоля 455 °С.
Пылевоздушная смесь взрывоопасна. Нижний концентрационный предел воспламенения 44 г/м3. Минимально взрывоопасное содержание кислорода в пылевоздушной смеси 12%. Флегматизирующий газ - азот.
Показатели пожаровзрывоопасности определяют по ГОСТ 12.1.044-84*.
________________
* На территории Российской Федерации действует ГОСТ 12.1.044-89. - Примечание изготовителя базы данных.
При пожаре образуются окислы углерода и азота. Для защиты людей следует использовать кислородный изолирующий противогаз КИП-8.
Средство пожаротушения - распыленная Вода.
2.2. Техническая антраниловая кислота - умеренно опасное вещество (3-й класс опасности по ГОСТ 12.1.007-76). Техническая антраниловая кислота оказывает раздражающее действие на слизистые оболочки и кожу. При работе с продуктом необходимо наличие приточно-вытяжной вентиляции.
Ежесменно необходимо проводить влажную уборку помещения.
2.3. Все работы с технической антраниловой кислотой следует проводить с применением средств индивидуальной защиты, а также соблюдать правила личной гигиены. С кожи и слизистых оболочек продукт удаляют водой.
2.1-2.3. (Измененная редакция, Изм. N 2, 3).
3. ПРАВИЛА ПРИЕМКИ
3.1. Правила приемки - по ГОСТ 6732-76*.
________________
* На территории Российской Федерации действуют ГОСТ 6732.1-89, ГОСТ 6732.2-89, ГОСТ 6732.3-89, ГОСТ 6732.4-89 и ГОСТ 6732.5-89, здесь и далее по тексту. - Примечание изготовителя базы данных.
4. МЕТОДЫ АНАЛИЗА
4.1. Методы отбора проб - по ГОСТ 6732-76.
Масса средней пробы должна быть не менее 500 г.
(Измененная редакция, Изм. N 1, 2).
4.2. Внешний вид продукта оценивают визуально.
4.3. Определение массовой доли антраниловой кислоты
(Измененная редакция, Изм. N 3).
4.3.1. Реактивы, растворы, посуда и приборы
Натрий азотистокислый раствор концентрации c(NaNO2=0,5 моль/дм3 (0,5 н.), готовят по ГОСТ 16923-83.
Натрий углекислый по ГОСТ 83-79, х.ч., раствор с массовой долей 10%.
кислота соляная по ГОСТ 3118-77, х.ч.
Вода дистиллированная по ГОСТ 6709-72-->ГОСТ 6709-72.
Бумага йодкрахмальная, готовят по ГОСТ 4517-87.
Бумага конго; готовят по ГОСТ 4919.1-77.
Стаканчик СВ-14/8(19/9) по ГОСТ 25336-82.
Стакан Н-1(2)-600(800) ТХС по ГОСТ 25336-82.
Цилиндры 1(3)-50(100) и 1(3)-500(1000) по ГОСТ 1770-74.
Бюретка 1(3)-2-50-0,1 по ГОСТ 20292-74*.
________________
* На территории Российской Федерации действуют ГОСТ 29169-91, ГОСТ 29227-91-ГОСТ 29229-91, ГОСТ 29251-91-ГОСТ 29253-91. - Примечание изготовителя базы данных.
Термометр технический прямого исполнения N 4 или 5.
Секундомер механический по ГОСТ 5072-79.
Весы лабораторные общего назначения 2-го класса точности по ГОСТ 24104-88* с наибольшим пределом взвешивания 200 г".
________________
* На территории Российской Федерации действует ГОСТ Р 53228-2008, здесь и далее по тексту. - Примечание изготовителя базы данных.
(Измененная редакция, Изм. N 1, 2, 3).
4.3.2. Проведение анализа
Около 4 г антраниловой кислоты взвешивают в стаканчике для взвешивания (результат взвешивания в граммах записывают с точностью до четвертого десятичного знака), переносят в стакан и растворяют в 40 см3 раствора углекислого натрия. После растворения прибавляют 300 см3 воды и подкисляют соляной кислотой до кислой реакции "по бумаге конго". Затем приливают еще 20 см3 соляной кислоты и титруют при 10-15 °С раствором азотистокислого натрия до появления слабо-синего пятна при нанесении пробы раствора на йодкрахмальную бумагу, сохраняющегося при повторном нанесении пробы раствора через 5 мин.
(Измененная редакция, Изм. N 1, 3).
4.3.3. Обработка результатов
Массовую долю антраниловой кислоты (X) в процентах вычисляют по формуле
где V - объем раствора азотистокислого натрия концентрации точно 0,5 моль/дм3, израсходованный на титрование анализируемого раствора, см3;
0,06857 - масса антраниловой кислоты, соответствующая 1 см3 раствора азотистокислого натрия концентрации точно 0,5 моль/дм3, г;
m - масса навески антраниловой кислоты, г.
За результат анализа принимают среднее арифметическое результатов двух параллельных определений, абсолютное расхождение между которыми не превышает допускаемое расхождение, равное 0,2%.
Допускаемая абсолютная суммарная погрешность результата анализа ±0,4% при доверительной вероятности P=0,95.
(Измененная редакция, Изм. N 1, 2, 3).
4.4. Определение температуры плавления
Определение проводят по ГОСТ 18995.4-73 в приборе с жидким теплоносителем, в качестве которого применяют кремнийорганическую жидкость ПФМС-4 по ГОСТ 15866-70 (силиконовое масло). Перед определением небольшое количество антраниловой кислоты высушивают в термостате при (80±2) °С до постоянной массы и тщательно растирают. Капилляр с анализируемым продуктом вносят в прибор после того, как температура жидкости достигнет 110 °С.
За результат анализа принимают среднее арифметическое двух параллельных определений, допускаемые расхождения между которыми не должны превышать 0,2 °С.
(Измененная редакция Изм. N 2, 3).
4.5. Определение массовой доли нерастворимых в растворе углекислого натрия примесей в пересчете на 100%-ный продукт
4.5.1. Реактивы, растворы, посуда и приборы
Натрий углекислый по ГОСТ 83-79, х.ч., раствор с массовой долей 10%.
Вода дистиллированная по ГОСТ 6709-72-->ГОСТ 6709-72.
Бумага бриллиантовая желтая.
Фильтр обеззоленный "белая лента".
Стаканчики СВ-19/9(24/10) и СН-45/13(60/14) по ГОСТ 25336-82.
Стакан В(Н)-1(2)-400(600) по ГОСТ 25336-82.
Цилиндр 1(3)-100(250) по ГОСТ 1770-74.
Воронка Бюхнера 2(3) по ГОСТ 9147-80.
Эксикатор по ГОСТ 25336-82.
Термометр технический прямого исполнения N 4 или 5.
Термостат, обеспечивающий температуру 95-100 °С.
Весы лабораторные общего назначения 2-го класса точности по ГОСТ 24104-88 с наибольшими пределами взвешивания 200 и 500 г.
(Измененная редакция, Изм. N 1, 3).
4.5.2. Проведение анализа
Около 10 г антраниловой кислоты взвешивают в стаканчике для взвешивания (результат взвешивания в граммах записывают с точностью до второго десятичного знака), переносят в стакан и растворяют в 200 см3 раствора углекислого натрия при (40±2) °С. Полученный раствор, не охлаждая, фильтруют на воронке Бюхнера через обеззоленный фильтр, который предварительно промывают 100 см3 нагретой до 40 °С воды, затем помещают в стаканчик для взвешивания и высушивают при 95-100 °С до постоянной массы. Диаметр фильтра должен быть на 3-4 см больше диаметра воронки, фильтр вкладывают в воронку в виде "корзиночки", под этот фильтр подкладывают другой, который не сушат и не взвешивают. Осадок на фильтре промывают водой до исчезновения щелочной реакции по бриллиантовой желтой бумаге.
Фильтр с осадком помещают в тот же стаканчик для взвешивания и сушат при 95-100 °С до постоянной массы. Результаты взвешивания в граммах записывают с точностью до четвертого десятичного знака.
(Измененная редакция Изм. N 1, 3).
4.5.3. Обработка результатов
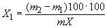
Массовую долю нерастворимых примесей в пересчете на 100%-ный продукт (X1) в процентах вычисляют по формуле
где m1 - масса стаканчика для взвешивания и фильтра, г;
m2 - масса стаканчика для взвешивания и фильтра с высушенным осадком, г;
X - массовая доля антраниловой кислоты, определенная по п.4.3, %;
m - масса навески антраниловой кислоты, г.
За результат анализа принимают среднее арифметическое результатов двух параллельных определений, абсолютное расхождение между которыми не превышает допускаемое расхождение, равное 0,02%.
Допускаемая абсолютная суммарная погрешность результата анализа ±0,03% при доверительной вероятности P=0,95.
(Измененная редакция, Изм. N 2, 3).
4.6. Определение массовой доли нерастворимых в соляной кислоте примесей в пересчете на 100%-ный продукт
4.6.1. Реактивы, растворы, посуда и приборы
кислота соляная по ГОСТ 3118-77, х.ч.
Вода дистиллированная по ГОСТ 6709-72-->ГОСТ 6709-72.
Бумага конго; готовят по ГОСТ 4919.1-77.
Фильтр обеззоленный "белая лента" или воронка ВФ-1-40-ПОР 10(16) по ГОСТ 25336-82.
Стаканчики СВ-19/9(24/10) и СН-45/13(60/14) по ГОСТ 25336-82.
Стакан Н-1(2)-250(400) по ГОСТ 25336-82.
Воронка Бюхнера 2(3) по ГОСТ 9147-80.
Термометр технический прямого исполнения N 4 или 5.
Термостат, обеспечивающий температуру 95-100 °С.
Эксикатор по ГОСТ 25336-82.
Весы лабораторные общего назначения 2-го класса точности по ГОСТ 24104-88 с наибольшими пределами взвешивания 200 и 500 г.
(Измененная редакция, Изм. N 3).
4.6.2. Проведение анализа
Около 10 г анраниловой кислоты взвешивают в стаканчике для взвешивания (результат взвешивания в граммах записывают с точностью до второго десятичного знака), переносят в стакан и растворяют в 100 см3 воды и 10 см3 соляной кислоты, подогревая смесь до 35 °С. Раствор перемешивают в течение 30 мин без нагревания и фильтруют на воронке Бюхнера через промытый водой и высушенный в стаканчике для взвешивания при 95-100 °С до постоянной массы обеззоленный фильтр или через фильтрующую воронку. Диаметр фильтра должен быть на 3-4 см больше диаметра воронки, фильтр вкладывают в воронку в виде "корзиночки", под этот фильтр подкладывают другой, который не сушат и не взвешивают. Осадок на фильтре промывают водой до исчезновения кислой реакции по бумаге конго и сушат при 95-100 °С до постоянной массы. Результаты взвешивания в граммах записывают с точностью до четвертого десятичного знака.
(Измененная редакция, Изм. N 3).
4.6.3. Обработка результатов
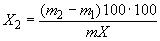
Массовую долю нерастворимых в соляной кислоте примесей в пересчете на 100%-ный продукт (X2) в процентах вычисляют по формуле
где m1 - масса стаканчика для взвешивания и фильтра или воронки, г;
m2 - масса стаканчика для взвешивания и фильтра с осадком или воронки с осадком, г;
X - массовая доля антраниловой кислоты, определенная по п.4.3, %;
m - масса навески антраниловой кислоты, г.
За результат анализа принимают среднее арифметическое результатов двух параллельных определений, абсолютное расхождение между которыми не превышает допускаемое расхождение, равное 0,02%.
Допускаемая абсолютная суммарная погрешность результата анализа ±0,03% при доверительной вероятности P=0,95.
(Измененная редакция, Изм. N 2, 3).
5. УПАКОВКА, МАРКИРОВКА, ТРАНСПОРТИРОВАНИЕ И ХРАНЕНИЕ
5.1. Техническую антраниловую кислоту упаковывают по ГОСТ 6732-76 в деревянные сухотарные бочки (ГОСТ 8777-80) вместимостью не более 150 л с пленочными мешками-вкладышами или в картонные навивные барабаны вместимостью 36-50 л (ГОСТ 17065-77*) с полиэтиленовым вкладышем.
________________
* На территории Российской Федерации действует ГОСТ 17065-94. - Примечание изготовителя базы данных.
(Измененная редакция, Изм. N 1).
5.2. Маркировка - по ГОСТ 6732-76* с нанесением знака опасности по ГОСТ 19433-88 (класс 9, подкласс 9.1, классификационный шифр 9163).
(Измененная редакция, Изм. N 3).
5.3. Транспортирование - по ГОСТ 6732-76* в крытых транспортных средствах.
________________
* На территории Российской Федерации действуют ГОСТ 6732.1-89, ГОСТ 6732.2-89, ГОСТ 6732.3-89, ГОСТ 6732.4-89 и ГОСТ 6732.5-89. - Примечание изготовителя базы данных
(Измененная редакция, Изм. N 2, 3).
5.4. Техническую антраниловую кислоту хранят в упаковке изготовителя в крытых складских помещениях.
6. ГАРАНТИИ ИЗГОТОВИТЕЛЯ
6.1. Изготовитель гарантирует соответствие технической антраниловой кислоты требованиям настоящего стандарта при соблюдении условий хранения и транспортирования.
6.2. Гарантийный срок хранения технической антраниловой кислоты - один год со дня изготовления.
6.1, 6.2. (Измененная редакция, Изм. N 1).
официальное издание
М.: Издательство стандартов, 1978