Новости Нефтегазовая пром.
Выставки Наука и технология


Ацетилацетон. Реактивы ГОСТ 10259-78

Ацетилацетон. Реактивы. Технические условия (с Изменением N 1) ГОСТ 10259-78

ГОСТ 10259-78

Группа Л52

     
     
МЕЖГОСУДАРСТВЕННЫЙ СТАНДАРТ

Реактивы

АЦЕТИЛАЦЕТОН 

Технические условия

Reagents. Acetylacetone. Specifications



ОКП 26 3321 0030 01

Дата введения 1979-07-01

     
     
ИНФОРМАЦИОННЫЕ ДАННЫЕ

1. РАЗРАБОТАН И ВНЕСЕН Министерством химической промышленности СССР 

РАЗРАБОТЧИКИ

А.Л.Лифиц, К.Г.Уланова, О.В.Нагорная, В.Е.Шевченко, Т.Л.Невеженко, Г.В.Грязнов, Т.Г.Манова, И.Л.Ротенберг, Н.П.Никонова, Л.В.Кидиярова, И.В.Жарова

2. УТВЕРЖДЕН И ВВЕДЕН В ДЕЙСТВИЕ Постановлением Государственного комитета СССР по стандартам от 01.11.78 N 2852

3. ВЗАМЕН ГОСТ 10259-73

4. ССЫЛОЧНЫЕ НОРМАТИВНО-ТЕХНИЧЕСКИЕ ДОКУМЕНТЫ

Обозначение НТД, на который дана ссылка

Номер пункта, подпункта

ГОСТ 427-75

4.2.1.1; 4.9.1

ГОСТ 1770-74

4.7.1; 4.8.1

ГОСТ 2603-79

4.2.1.1

ГОСТ 3022-80

4.2.1.1

ГОСТ 3885-73-->ГОСТ 3885-73

3.1; 4.1; 5.1

ГОСТ 4212-76

4.7.1

ГОСТ 4233-77

4.8.1

ГОСТ 4328-77

4.8.1

ГОСТ 4517-87

4.8.1

ГОСТ 4919.1-77

4.8.1

ГОСТ 6563-75

4.5

ГОСТ 6709-72-->ГОСТ 6709-72

4.7.1

ГОСТ 9293-74

4.2.1.1

ГОСТ 14192-96

5.1

ГОСТ 17433-80

4.2.1.1

ГОСТ 19433-88

5.1

ГОСТ 21533-76

4.2.1.2; 4.2.2; 4.9.2

ГОСТ 24104-88

4.1а

ГОСТ 25336-82

4.7.1; 4.8.1

ГОСТ 25706-83

4.2.1.1; 4.9.1

ГОСТ 25794.1-83

4.8.1

ГОСТ 27025-86

4.1а

ГОСТ 27026-86

4.5

5. Ограничение срока действия снято по протоколу N 3-93 Межгосударственного Совета по стандартизации, метрологии и сертификации (ИУС 5-6-93)

6. ПЕРЕИЗДАНИЕ (сентябрь 1998 г.) с Изменением N 1, утвержденным в сентябре 1988 г. (ИУС 12-88)


Настоящий стандарт распространяется на ацетилацетон (пентандион-2,4), который представляет собой бесцветную жидкость; мало растворим в воде, смешивается во всех соотношениях со спиртом, эфиром и хлороформом.

Формулы:

эмпирическая C5H8O2

структурная CH3COCH2COCH3

Молекулярная масса (по международным атомным массам 1971 г.) - 100,12.

(Измененная редакция, Изм. N 1).

1. ТЕХНИЧЕСКИЕ ТРЕБОВАНИЯ

1.1. Ацетилацетон должен быть изготовлен в соответствии с требованиями настоящего стандарта по технологическому регламенту, утвержденному в установленном порядке.

1.2. По физико-химическим показателям ацетилацетон должен соответствовать требованиям и нормам, указанным в табл.1.

Таблица 1

Наименование показателя

Норма

Чистый для анализа (ч.д.а.)
ОКП 26 3321 0032 10

Чистый (ч.)
ОКП 26 3321 0031 00

1. Массовая доля ацетилацетона (C5H8O2), %, не менее

99,5

99,0

2. Массовая доля нелетучего остатка, %, не более

0,005

0,010

3. Чувствительность к железу

1:1000000

Не нормируется

4. Массовая доля кислот в пересчете на уксусную кислоту (CH3COOH), %, не более

0,1

0,5

5. Массовая доля воды, %, не более

0,05

0,2


(Измененная редакция, Изм. N 1).

2. ТРЕБОВАНИЯ БЕЗОПАСНОСТИ

2.1. Ацетилацетон представляет собой легковоспламеняющуюся жидкость, с сильными окислителями возгорается, с водой не взаимодействует. Температура вспышки (в закрытом тигле) 34 °С. Температура вспышки (в открытом тигле) 41 °С. Температура самовоспламенения 340 °С.

Пары ацетилацетона образуют с воздухом взрывоопасные смеси. Нижний предел воспламенения в смеси с воздухом 1,7% (объемных).

(Измененная редакция, Изм. N 1).

2.2. Работы с ацетилацетоном следует проводить вдали от огня, в хорошо вентилируемом помещении. В случае загорания для тушения применяют химическую пену и порошковые составы.

2.3. Ацетилацетон обладает наркотическим действием. При работе с ним следует применять индивидуальные средства защиты (фильтрующие промышленные противогазы марки А, резиновые перчатки, защитные очки), не допуская попадания препарата на кожные покровы и слизистые оболочки, а также соблюдать правила личной гигиены.

2.4. Помещения, в которых проводятся работы с ацетилацетоном, должны быть оборудованы приточно-вытяжной вентиляцией. Анализ препарата следует проводить в вытяжном шкафу лаборатории.

(Измененная редакция, Изм. N 1).

3. ПРАВИЛА ПРИЕМКИ

3.1. Правила приемки - по ГОСТ 3885.

3.2. Массовую долю нелетучего остатка и чувствительность к железу изготовитель определяет периодически в каждой 10-й партии.

(Введен дополнительно, Изм. N 1).

4. МЕТОДЫ АНАЛИЗА

4.1а. Общие указания по проведению анализа - по ГОСТ 27025.

При взвешивании применяют лабораторные весы 2-го или 4-го класса точности по ГОСТ 24104* с наибольшим пределом взвешивания 200 г.
_________________
* На территории Российской Федерации действует ГОСТ 24104-2001. - Примечание изготовителя базы данных.

Допускается применение импортной лабораторной посуды и аппаратуры по классу точности и реактивов по качеству не ниже отечественных.

(Введен дополнительно, Изм. N 1).

4.1. Пробы отбирают по ГОСТ 3885. Масса средней пробы должна быть не менее 250 г. Объем ацетилацетона, необходимый для анализа, отбирают пипеткой вместимостью 50 см3 с резиновой грушей.

4.2. Массовую долю ацетилацетона определяют газохроматографическим методом, вычитая из 100% сумму массовых долей органических примесей, массовую долю кислот в пересчете на уксусную кислоту и массовую долю воды в процентах.

4.2.1. Определение массовых долей органических примесей

4.2.1.1. Приборы и реактивы

Хроматограф газовый аналитический с пламенно-ионизационным детектором.

Колонка хроматографическая длиной 3 м и внутренним диаметром 3 мм. Допускается применять колонки внутренним диаметром 4-6 мм; в этом случае рабочие условия анализа подбирают экспериментально.

Интегратор электронный или измерительная лупа по ГОСТ 25706 и линейка металлическая по ГОСТ 427.

Микрошприц вместимостью 10 мм3.

Шкаф сушильный.

Азот газообразный технический (газ-носитель) по ГОСТ 9293, высший сорт.

Водород технический по ГОСТ 3022 или полученный на системе газоснабжения СГС-2.

Воздух класса 1 по ГОСТ 17433 или воздух для питания контрольно-измерительных приборов из линии.

Фаза жидкая неподвижная 1, 2, 3-трис(бета-циан-этокси) пропан (ТРИС) для хроматографии, ч.д.а.

Носитель твердый-динохром П - с зернами размером 0,25-0,315 мм. Допускается использовать хромосорб W (0,25-0,35 мм) и хроматон N (0,20-0,25 мм).

Ацетон по ГОСТ 2603.

2-Бутанон (метилэтилкетон) для хроматографии.

Бутиловый эфир уксусной кислоты (бутилацетат) для хроматографии.

Метилацетат для хроматографии.

Мезитила окись.

4.2.1.2. Подготовка к анализу

1,2,3-Трис (бета-циан-этокси) пропан в количестве 15% от массы твердого носителя растворяют в ацетоне, в раствор при постоянном помешивании насыпают носитель, избыток ацетона удаляют при нагревании на водяной бане, а затем в сушильном шкафу при 120 °С.

Заполнение хроматографической колонки проводят по ГОСТ 21533.

Включение и пуск хроматографа осуществляют в соответствии с прилагаемой к нему инструкцией.

4.2.1.3. Массовые доли органических примесей определяют при следующих условиях:

температура колонки

110-115 °С

температура испарителя

(165±10) °С

расход азота (газа-носителя)

(35±5) см3/мин

расход водорода

(30±5) см3/мин

расход воздуха

(300±50) см3/мин

пределы измерения

10·10-10 мА

шкала потенциометра

10 мВ

скорость движения диаграммной ленты

240 мм/ч

объем анализируемой пробы

(1±0,1) мм3

продолжительность анализа

30 мин


При установившемся режиме в испаритель хроматографа микрошприцем вводят соответствующий объем анализируемой пробы.

Массовые доли органических примесей определяют методом "внутреннего эталона". В качестве "внутреннего эталона" используют 2-бутанон, который добавляют в анализируемый препарат в количестве от 0,1 до 0,3% от массы пробы.

Последовательность выхода компонентов из колонки и относительное время удерживания приведены в табл.2а.

Таблица 2а*

________________
* Табл.2. (Исключена, Изм. N 1).

Наименование компонента

Относительное время удерживания

1. Метилацетат

0,7

2. Ацетон

0,8

3. 2-Бутанон ("внутренний эталон")

1,00

4. бутилацетат

1,2

5. Окись мезитила

2,0

6. Неидентифицированная примесь

2,2

7. Ацетилацетон

3,8

4.2.2. Обработка результатов

Площади пиков определяют с помощью электронного интегратора либо вычисляют как произведение высоты пика на его ширину, измеренную на середине высоты. Измерения проводят с помощью металлической линейки и измерительной лупы.

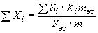
Массовую долю органических примесей () в процентах вычисляют по формуле где Si - площадь пика -того компонента, мм;

Ki - градуировочный коэффициент i-того компонента;

mэт - масса введенного в анализируемую пробу "внутреннего эталона", г;

Sэт - площадь пика "внутреннего эталона", мм2;

m - масса анализируемой пробы, г.

Градуировочные коэффициенты определяют по ГОСТ 21533.

Для неидентифицированной примеси градуировочный коэффициент принимают равным 1,0.

За результат анализа принимают среднее арифметическое результатов двух параллельных определений, относительное расхождение между которыми не превышает допускаемое расхождение, равное 25%.

Допускаемая относительная суммарная погрешность результата анализа ±20% при доверительной вероятности P=0,95.

4.1-4.2.2. (Измененная редакция, Изм. N 1).

4.2.2а. Массовую долю ацетилацетона (X) в процентах вычисляют по формуле где  - сумма массовых долей органических примесей, определяемая по п.4.2.2, %;

X1 - массовая доля кислот в пересчете на уксусную кислоту, определяемая по п.4.8, %;

X2 - массовая доля воды, определяемая по п.4.9, %.

(Введен дополнительно, Изм. N 1).

4.3, 4.4. (Исключены, Изм. N 1).

4.5. Определение массовой доли нелетучего остатка

Определение проводят по ГОСТ 27026 в платиновой чашке 115-3 (118-3) (по ГОСТ 6563) из навески 40 г (41 см3).

(Измененная редакция, Изм. N 1).

4.6. (Исключен, Изм. N 1).

4.7. Определение чувствительности к железу

4.7.1. Реактивы, растворы и посуда

Вода дистиллированная по ГОСТ 6709.

Раствор, содержащий Fe; готовят по ГОСТ 4212, соответствующим разбавлением готовят раствор, содержащий 0,01 мг/см3 Fe.

Раствор препарата; готовят растворением 0,5 см3 препарата в 100 см3 воды.

Пробирка П2(1)-16(14)-150(120) по ГОСТ 25336.

Пипетки вместимостью 1(2) и 5 см3.

Цилиндр 1(3)-100 по ГОСТ 1770.

4.7.2. Проведение анализа

В три пробирки вместимостью 15-20 см3 каждая помещают: в первую - 0,005 мг Fe, во вторую - 0,015 мг Fe, третью пробирку оставляют для контрольного раствора. Во все три пробирки прибавляют по 1 см3 раствора препарата, доводят пипеткой вместимостью 5 см3 объемы растворов водой до 5 см3 и перемешивают.

Препарат считают соответствующим требованиям настоящего стандарта, если через 5 мин в проходящем свете на фоне молочного стекла желтовато-розовая окраска раствора в первой пробирке будет отличаться от окраски контрольного раствора и во всех пробирках разница в интенсивности окрасок будет отчетливо видна.

4.8. Определение массовой доли кислот в пересчете на уксусную кислоту (CH3COOH)

4.8.1. Реактивы, растворы и посуда

Вода дистиллированная, не содержащая углекислоты; готовят по ГОСТ 4517.

Бромкрезоловый пурпуровый (индикатор), раствор с массовой долей 0,1%; готовят по ГОСТ 4919.1.

Натрия гидроокись по ГОСТ 4328, раствор концентрации c(NaOH)=0,1 моль/дм3 (0,1 н.); готовят по ГОСТ 25794.1.

Натрий хлористый по ГОСТ 4233, насыщенный раствор, нейтрализованный по бромкрезоловому пурпуровому и охлажденный до 0 °С.

Бюретка вместимостью 10 см3 с ценой деления 0,05 см3.

Воронка ВД-1-100 ХС по ГОСТ 25336.

Колба Кн-2-100-22 ТХС по ГОСТ 25336.

Пипетки вместимостью 1 и 10 см3.

Цилиндр 1(3)-25(50) по ГОСТ 1770.

4.8.2. Проведение анализа

20 см3 раствора хлористого натрия помещают в делительную воронку, прибавляют пипеткой 10 см3 препарата и встряхивают в течение 3 мин. После расслаивания водный слой фильтруют через обеззоленный фильтр "белая лента" (или фильтровальную бумагу) в коническую колбу, к фильтрату прибавляют 0,1 см3 раствора бромкрезолового пурпурного и титруют из бюретки раствором гидроокиси натрия до перехода окраски раствора от желтой к фиолетовой.

4.8.3. Обработка результатов

Массовую долю кислот в пересчете на уксусную кислоту (CH3COOH) (X1) в процентах вычисляют по формуле где V - объем раствора гидроокиси натрия концентрации 0,1 моль/дм3, израсходованный на титрование, см3;
K - коэффициент поправки раствора гидроокиси натрия концентрации точно 0,1 моль/дм3;

V1 - объем анализируемого препарата, взятый для анализа, см3;

p - плотность препарата, равная 0,97 г/см3;

0,006005 - масса уксусной кислоты, соответствующая 1 см3 раствора гидроокиси натрия концентрации точно 0,1 моль/дм3, г.

За результат анализа принимают среднее арифметическое результатов двух параллельных определений, абсолютное расхождение между которыми не превышает допускаемое расхождение, равное 0,01%.

Допускаемая абсолютная суммарная погрешность результата анализа ±0,007% при доверительной вероятности P=0,95.

4.9. Определение массовой доли воды

Определение проводят методом газовой хроматографии.

4.7.1-4.9. (Измененная редакция, Изм. N 1).

4.9.1. Приборы и реактивы

Хроматограф газовый аналитический с детектором по теплопроводности.

Колонка хроматографическая из нержавеющей стали длиной 2 м и внутренним диаметром 3 мм.

Интегратор электронный или измерительная лупа по ГОСТ 25706 и линейка металлическая по ГОСТ 427.

Микрошприц МШ-10 с ценой деления 0,2 мм3.

Секундомер.

Гелий газообразный очищенный марки Б (газ-носитель).

Полисорб-1, адсорбент для хроматографии с размером частиц 0,25-0,50 мм.

Ацетилацетон по настоящему стандарту.

4.9.2. Подготовка к анализу

Заполнение хроматографической колонки полисорбом проводят по ГОСТ 21533. Затем колонки устанавливают в термостат хроматографа, не присоединяя к детектору, и продувают гелием 6-8 ч при температуре 150-160 °С.

Включение и пуск хроматографа осуществляют в соответствии с прилагаемой инструкцией.

Анализ проводят при следующих условиях:

температура испарителя

(150±10) °С

температура термостата

(100±5) °С

расход гелия (газа-носителя)

(45±10) см3/мин

ток моста детектора

100-140 мА

скорость движения диаграммной ленты

240 мм/ч

множитель шкалы

1

объем вводимой пробы

5 мм3


Пробу ацетилацетона без предварительной подготовки вводят в испаритель хроматографа.

Последовательность выхода компонентов из колонки и относительное время удерживания: воздуха - 1; воды - 5; ацетилацетона - 260.

Массовую долю воды вычисляют методом абсолютной калибровки.

Серию измерений проводят до начала выхода ацетилацетона. Затем колонку кондиционируют при тех же условиях, при которых выполнялся анализ, в течение времени, достаточном для выхода из колонки пика ацетилацетона от последней пробы.

Для сокращения времени кондиционирования допускается на этот период повышать температуру колонки до 150-170 °С.

4.9.3. Построение градуировочного графика

Для построения градуировочного графика готовят образцы на основе ацетилацетона с малым содержанием влаги (не более 0,03%), 4-6 растворов с точно известными массовыми долями воды от 0,05 до 0,2%. Для этого взвешивают ацетилацетон в пенициллиновом флаконе с плотно закрытой пробкой. Результат взвешивания записывают с точностью до четвертого десятичного знака.

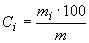
Массовую долю воды (Ci) в процентах, прибавленную в каждый флакон, вычисляют по формуле где m1 - масса воды, г;
m - масса исходного ацетилацетона вместе с добавленной массой воды, г.

Растворы тщательно перемешивают и хроматографируют в порядке возрастания массовой доли воды, начиная с минимальных массовых долей. Хроматографирование проводят при условиях, указанных в п.4.9.2.

Каждый раствор хроматографируют не менее трех раз и вычисляют среднее арифметическое значение площади пиков воды.

Массовую долю воды в исходном ацетилацетоне (Xисх) в процентах для каждого раствора сравнения вычисляют по формуле где Ci - массовая доля воды, прибавленной в каждый из растворов сравнения, %;
Sисх - средняя площадь пика воды в исходном продукте, мм2;

Si - средняя площадь пика воды в растворе сравнения, мм2.

За массовую долю воды в исходном продукте принимают среднее арифметическое из полученных результатов. Далее для каждого раствора сравнения вычисляют истинную массовую долю воды (X) в процентах по формуле По полученным данным строят график зависимости Xi от Si.
Градуировочный график проверяют при изменении параметров разделения, но не реже 1 раза в квартал.

4.9.4. Обработка результатов

Площади пиков воды (мм2) определяют как произведение высоты пика на его ширину, измеренную на середине высоты. Параметры пика измеряют с помощью металлической линейки и лупы либо считывают с ленты интегрирующего устройства. Допускается хроматограммы рассчитывать по высоте пика.

Массовую долю воды (X2) в процентах в анализируемом препарате находят по графику.

За результат анализа принимают среднее арифметическое результатов двух параллельных определений, относительное расхождение между которыми не превышает допускаемое расхождение, равное 20%.

Допускаемая относительная суммарная погрешность результата анализа ±15% при доверительной вероятности P=0,95.

4.9.1-4.9.4. (Введены дополнительно, Изм. N 1).

5. УПАКОВКА, МАРКИРОВКА, ТРАНСПОРТИРОВАНИЕ И ХРАНЕНИЕ

5.1. Препарат упаковывают и маркируют в соответствии с ГОСТ 3885.

Вид и тип тары: 1т-1, 3т-1, 3т-6, 3т-5 с полиэтиленовой прокладкой или полиэтиленовой пробкой с уплотняющими кольцами.

На тару наносят манипуляционные знаки: "Хрупкое. Осторожно", "Верх", "Беречь от влаги" в соответствии с ГОСТ 14192 и знаки опасности по ГОСТ 19433 (классификационный шифр 3313, черт. 3, класс 3, подкласс 3.3); серийный номер ООН 1993.

Группа фасовки: III, IV, V.

(Измененная редакция, Изм. N 1).

5.2. Препарат транспортируют всеми видами транспорта в соответствии с правилами перевозки грузов, действующими на данном виде транспорта.

5.3. Препарат хранят в упаковке изготовителя в сухом прохладном помещении для огнеопасных веществ, не допуская воздействия прямых солнечных лучей.

6. ГАРАНТИИ ИЗГОТОВИТЕЛЯ

6.1. Изготовитель гарантирует соответствие ацетилацетона требованиям настоящего стандарта при соблюдении условий транспортирования и хранения.

6.2. Гарантийный срок хранения препарата - 2 года со дня изготовления.

6.1, 6.2. (Измененная редакция, Изм. 1).




официальное издание
М.: ИПК Издательство стандартов, 1999