Новости Нефтегазовая пром.
Выставки Наука и технология


Каучук синтетический цис-изопреновый. Изменение N 6 ГОСТ 14925-79

Каучук синтетический цис-изопреновый. Технические условия.  Изменение N 6 ГОСТ 14925-79


Группа Л61

     
ИЗМЕНЕНИЕ N 6* 
ГОСТ 14925-79 "Каучук синтетический цис-изопреновый. Технические условия"

________________
* Государство-разработчик Россия. Постановлением Госстандарта России от 22.04.97 N 146 введено в действие на территории РФ с 01.10.97 (ИУС N 7, 1997 год). 


Дата введения 1997-10-01



Принято Межгосударственным Советом по стандартизации, метрологии и сертификации (протокол N 10 от 04.10.96)

Зарегистрировано Техническим секретариатом МГС N 2262

За принятие изменения проголосовали:

Наименование государства

Наименование национального органа стандартизации

Азербайджанская Республика

Азгосстандарт

Республики Армения

Армгосстандарт

Республика Белоруссия

Белстандарт

Республика Казахстан

Госстандарт Республики Казахстан

Республика Молдова

Молдовастандарт

Российская Федерация

Госстандарт России

Республика Таджикистан

Таджикский государственный центр по стандартизации, метрологии и сертификации

Туркменистан

Туркменглавгосинспекция


Пункт 1.2. Показатель 13 для марки СКИ-3 изложить в новой редакции:

Наименование показателя

Нормы для марки

Метод испытания

СКИ-3

13. Массовая доля антиоксидантов, %:

дифенил-п-фенилендиамина (ДФФД) или

0,20-0,30

По п.4.10.2

диафена 13 или

0,30-0,50

По п.4.10.3

С-789 или

0,20-0,40

По п.4.10.3

ВТС-60 или

0,35-0,55

По п.4.10.4

АФА-1 не менее

0,8

По п.4.10.5


Раздел 4 дополнить пунктом - 4.10.5:

"4.10.5. Определение массовой доли антиоксиданта АФА-1

4.10.5.1. Аппаратура, посуда, реактивы

Спектрофотометр, позволяющий проводить измерение оптической плотности растворов в ультрафиолетовой области спектра;

весы лабораторные 2-го класса по ГОСТ 24104-88* с наибольшим пределом взвешивания 200 г;
________________
* На территории Российской Федерации действует ГОСТ Р 53228-2008. - Примечание изготовителя базы данных.
 
баня песчаная или водяная;

прибор для экстрагирования, состоящий из круглодонной колбы К-1-50-29/32 ТС по ГОСТ 25336-82 с пришлифованным обратным холодильником (длина трубки не менее 1000 мм, диаметр 10-14 мм);

стакан В-1-50 ТС по ГОСТ 25336-82;

колбы мерные 2-25-2, 2-100-2 по ГОСТ 1770-74;

пипетки градуированные 1-1-2-5 по ГОСТ 29227-91;

спирт этиловый ректификованный технический по ГОСТ 18300-87;

Толуол по ГОСТ 5789-78;

антиоксидант АФА-1 по нормативной документации;

4.10.5.2. Подготовка к испытанию

4.10.5.2.1. Приготовление спирто-толуольной смеси

Этиловый спирт и Толуол смешивают в соотношении 7:3 (по объему).

4.10.5.2.2. Приготовление стандартного раствора антиоксиданта

(0,0250±0,0002) г антиоксиданта взвешивают в стеклянном стаканчике, растворяют в спирто-толуольной смеси, переносят количественно в мерную колбу вместимостью 100 см3, доводят объем раствора в колбе до метки спирто-толуольной смесью и тщательно перемешивают. Полученный раствор содержит 0,00025 г антиоксиданта в 1 см3.

4.10.5.2.3. Построение градуировочного графика

В мерные колбы вместимостью 25 см3 наливают 1, 2, 3, 4, 5 см3 стандартного раствора антиоксиданта, доводят объем раствора в колбе до метки спирто-толуольной смесью, тщательно перемешивают и измеряют оптическую плотность раствора в кювете с толщиной поглощающего свет слоя 10 мм при длине волны 310 и 340 нм.

В кювету сравнения наливают спирто-толуольную смесь.

Строят градуировочный график зависимости разности оптических плотностей раствора при длине волны 310 и 340 нм концентрации антиоксиданта, откладывая по оси абсцисс количество антиоксиданта в объеме 25 см испытуемого раствора, выраженное в граммах, а по оси ординат - соответствующее значение разности оптических плоскостей.

4.10.5.2.4. Приготовление спирто-толуольного экстракта

(1,000±0,002) г мелко нарезанного каучука помещают в колбу с пришлифованным обратным холодильником и добавляют 30 см3 спирто-толуольной смеси. Колбу нагревают на песчаной или водяной бане и кипятят содержимое в течение 30 мин, считая от момента закипания. Затем охлаждают до температуры окружающей среды. Экстракт переводят в мерную колбу вместимостью 100 см3. Повторяют экстрагирование каучука еще дважды в тех же условиях. Полученные экстракты объединяют, доводят объем раствора в колбе до метки спирто-толуольной смесью и тщательно перемешивают. 

4.10.5.3. Проведение испытания

В мерную колбу вместимостью 25 см3 наливают 2-10 см3 спирто-толуольного экстракта, приготовленного по п.4.10.5.2.4, и доводят объем содержимого колбы до метки спирто-толуольной смесью.

Оптические плотности полученного раствора измеряют при длинах волн 310 и 340 нм в кювете с толщиной поглощающего свет слоя 10 мм.

В кювету сравнения наливают спирто-толуольную смесь.

По градуировочному графику, построенному по п.4.10.5.2.3, находят массу антиоксиданта, соответствующую разности оптических плотностей раствора при длине волны 310 и 340 нм (в граммах на 25 см3).

4.10.5.4. Обработка результатов

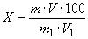
Массовую долю атиоксиданта (X) в процентах вычисляют по формуле где m - масса антиоксиданта, найденная по градуировочному графику, %;
m1 - масса навески каучука, г; 

V - объем экстракта каучука, см3

V1 - объем экстракта каучука, взятый для приготовления фотометрируемого раствора, см3.

За результат испытания принимают среднее арифметическое результатов двух параллельных определений, расхождение между которыми не превышает 10% от по отношению к найденному среднему значению с точностью до второго десятичного знака".




официальное издание
ИУС N 7, 1997