Новости Нефтегазовая пром.
Выставки Наука и технология


Циклоплатам

Циклоплатам

Циклоплатам
Циклоплатам
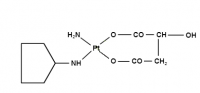
Брутто-формула C9H18N2O5Pt
CAS
PubChem

Циклоплатам (S-малатоамин(циклопентиламин)платина II)— противоопухолевый препарат платины второго поколения. Был разработан и синтезирован П. А. Чельцовым-Бебутовым в Институте общей и неорганической химии им. Н. С. Курнакова АН СССР в 1982 году. Препарат представляет собой S(-)-малатоаммин(циклопентиламин)платину(II) и является смесью двух геометрических изомеров (отличаются положением двух неэквивалентных карбоксильных групп малат-иона относительно аммиака и циклопентиламина, находящихся в цисположении) и продуктов их акватации.

В эксперименте на животных препарат показал превосходящую цисплатин и карбоплатин активность на опухолях мышей: лейкозе L1210, плазмоцитоме МОРС-406, саркоме 37 и гепатоме 22а. На штаммах лейкозов и некоторых других штаммах опухолей, резистентных к цисплатину и ряду других противоопухолевых агентов (сарколизин, нитрозомочевина, винкристин, BCNU), для циклоплатама не наблюдалось перекрестной резистентности. Клиническое изучение циклоплатама было начато в 1990 году. Вторая фаза клинического изучения циклоплатама проводилась в 4-х лечебных учреждениях и показала его эффективность при раке яичников, раке предстательной железы, мезотелиоме плевры, множественной миеломе. Препарат был разрешен Фармакологическим комитетом РФ для медицинского применения при этих заболеваниях.

См. также

  • цисплатин
  • карбоплатин
  • оксалиплатин